1. 서 론
2. 1g 진동대 실험(1g shaking table test)
2.1 실험 구성 및 장비
2.2 지반시료 및 조건
2.3 입력지진파 및 계측항목
3. 유한요소 수치해석
3.1 해석 모델 및 조건
3.2 상사법칙 적용
3.3 실험과의 비교 검증
4. 동적안전율 산정기법
4.1 가상활동면에 대한 응력 추출
4.2 시간 이력 기반 FS 계산
5. 결과 및 분석
5.1 유사정적해석 결과
5.2 유한요소해석을 통한 안전율 결과
6. 결 론
1. 서 론
우리나라는 전체 국토의 약 70%가 산지로 구성되어 있으며, 도시화와 기반시설 확충으로 인해 경사지 및 사면 인근에 구조물이 지속적으로 개발되고 있다. 이에 따라 사면의 안정성은 인접 구조물의 안전성과 직결되며, 특히 지진하중과 같은 동적 외력에 의한 사면의 안정성 확보는 사회적·경제적 측면에서 매우 중요한 과제가 되고 있다.
사면 안정성 해석의 체계적인 연구는 20세기 초부터 본격화되었으며, 가장 초기의 방법으로는 Fellenius(1936)가 제안한 단순 절편법(method of slices)이 있다. 이후 Bishop (1955), Janbu(1957), Morgenstern and Price(1965), Spencer (1967) 등이 다양한 한계평형해석(Limit Equilibrium Method, LEM)을 발전시키며 정적 조건에서의 안정성 평가 기법을 정립하였다(GeoStudio, 2012).
그러나 초기 한계평형해석법은 주로 정적 하중 조건에서만 적용되며, 지진과 같은 외력의 동적 영향을 직접적으로 고려하지 못하는 한계가 있었다. 이러한 한계를 보완하기 위해 Terzaghi(1950)는 유사정적해석(pseudo-static analysis)의 개념을 체계적으로 정리하고, 사면 붕괴 메커니즘과 외력의 영향을 분석함으로써 지진하중을 고려한 사면 안정성 해석의 이론적 기반을 마련하였다.
유사정적해석은 지진하중을 단순히 등가 정적 수평하중으로 환산하여 적용하므로, 시간-가속도 변화라는 지진하중의 동적 특성을 반영하지 못하고, 누적 변위나 잔류 변위와 같은 실제 거동을 예측할 수 없다는 한계가 존재한다. 이러한 한계를 극복하기 위해 Newmark(1965)는 지진 시 사면의 거동을 실질적으로 평가하기 위해 슬라이딩 블록(sliding block) 모델을 제안하였다. 본 모델은 사면을 강체로 간주하고, 입력 지진파에서 사면이 한계 평형 상태를 초과하는 임계가속도(critical acceleration)를 산정한 후, 이를 초과하는 구간에서의 속도를 적분하여 잔류 변위(residual displacement)를 계산하는 방식이다. 이러한 변위 기반(displacement-based) 접근법은 단순히 안전율만 산정하는 기존 한계평형법이나 유사정적해석과 달리, 지진 시 사면의 실질적 안정성을 정량적으로 예측할 수 있는 장점을 갖는다.
1990년대 이후에는 컴퓨터의 발전과 함께 유한요소해석(Finite Element Analysis), 유한차분법(Finite Difference Method) 등의 연속체 기반 해석기법이 도입되었고, 최근에는 강도감소법(Strength Reduction Method), 확률론적 해석, 동적해석 등으로 확장되어 복잡한 지반 조건과 지진하중 등을 정밀하게 고려할 수 있게 되었다. Griffiths and Lane(1999)는 한계평형해석의 인위적인 파괴면 가정과 절편에 작용하는 힘의 방향, 별도의 가정을 필요로 하는 한계를 지적하고 유한요소법을 이용한 강도감소법(strength reduction method)을 적용하여 사면 안정성을 평가하는 방법을 제안하였으며, 기존 한계평형법에서 요구되는 파괴면 가정 없이 안정성 평가가 가능함을 입증하였다.
국내 비탈면 내진설계기준에서는 사면의 지진 안정성 평가를 위해 유사정적해석, Newmark 변위법, 그리고 동적해석의 수행을 권장하고 있다. 특히 동적해석의 경우, 유한요소해석(Finite Element Analysis, FEA) 또는 유한차분해석(Finite Difference Method, FDM) 프로그램을 활용하여 지반의 동적 거동을 보다 정밀하게 모사할 것을 명시하고 있다.
이러한 연속체 기반의 수치해석 기법은 지반 내 응력-변형률 거동, 변위, 간극수압 변화, 파괴 진행 등을 시간에 따라 동적으로 분석할 수 있는 장점이 있다. 그러나 동적 유한요소해석이나 유한차분해석에서는 안전율(Factor of Safety)을 직접적으로 산정하기 어려워 실무 적용에 한계가 있으며, 실험적 검증 사례도 여전히 부족한 실정이다. 지진하중과 같은 시간에 따라 변화하는 외력 하에서는 전통적인 정적 안전율로는 실제 사면 거동을 정확히 평가하기 어렵기 때문에, 시간 이력에 기반한 동적 안전율의 산정은 현실적이고 신뢰성 있는 안정성 평가를 가능하게 한다. Lee et al.(2021)는 유한요소해석을 기반으로 사면의 동적 안전계수를 산정하는 기법을 제안하였다. 해당 연구는 수치해석 중심으로 수행되었으며, 해석기법의 신뢰성을 확보하기 위해 실내 모형실험을 수행하여 검증하고자 하였다.
이에 본 연구에서는 1g 진동대 실험을 수행하여 사면의 지진 응답특성을 분석하고, 동일 조건하에 ABAQUS 기반의 유한요소해석을 수행함으로써 시간-이력 기반의 동적 안전율 산정기법을 적용하였다. 사전에 정의된 활동면 상의 전단응력 및 전단강도를 시간별로 추출하여, 지진하중 작용 중의 최소안전율을 도출하였다. 또한 실험 결과와 수치해석 결과를 비교·검증함으로써 제안한 해석기법의 적용 가능성과 신뢰성을 평가하고자 한다.
2. 1g 진동대 실험(1g shaking table test)
2.1 실험 구성 및 장비
본 연구에서는 사면의 지진 응답특성을 분석하기 위해 1g 진동대 실험을 수행하였다. 실험은 다양한 경사 조건을 고려하여 사면의 동적 거동을 정량적으로 파악하고, 유한요소해석과의 비교를 통해 해석 기법의 유효성을 검증하는 데 목적이 있다. 실험은 연성토조를 활용하여 자유장 조건에 가까운 경계조건을 구현하고, 실험 결과의 신뢰성을 확보하고자 하였다.
Fig. 1은 실험에 사용된 1g 진동대로 최대 가속도 1.0g, 유효 가진면적 2000×600mm, 최대 허용 하중 1.8톤의 사양을 가지며, 유압 서보 시스템을 기반으로 동적 하중을 정밀하게 제어할 수 있도록 구성되어 있다. 가진은 1축 방향으로 수행되며, Processor Controller를 통해 목표 입력 파형에 대한 재현성을 확보하였다. 연성토조는 총 12개 층으로 구성되어 있으며, 각 층은 두께 45mm, 층간 간격 5mm로 조립되어 있다. 토조는 각 층의 수평 변위를 허용하고, 층간 마찰을 최소화하기 위해 볼베어링 구조를 채택함으로써 반무한 지반 조건에 가까운 거동을 유도하였다. 이러한 구성은 전단파의 반사를 억제하고, 자연스러운 전단변형을 가능하게 한다. 계측은 가속도계(Accelerometer)를 활용하여 사면 상부, 사면부, 수평지반부 등 다양한 위치에서 진동 응답을 측정하였으며, 계측 데이터는 데이터로거를 통해 시간 이력 데이터로 저장되었다.
2.2 지반시료 및 조건
본 실험에 사용된 지반시료는 울산광역시 울주군 일대의 절토사면 공사현장에서 채취된 풍화토 시료를 사용하였으며, 실험실 내에서 비중실험(KS F 2308), 입도분석실험(KS F 2303), 표준다짐실험(KS F 2312) 등을 수행하였다. 시료의 분류는 미국통일분류법(Unified Soil Classification System)에 따라 SW-SM(Silty Sand with gravel)으로 분류되었으며, 세립분 함량은 10.8%로 확인되었다. 주요 결과는 Table 1과 같다. 실험 사면은 모형 내에서 사면 기울기 1:2.0, 1:1.8, 1:1.3의 세 가지 조건으로 구성하였으며, 실내에서 측정된 , 값을 바탕으로 상대밀도 65%에 해당하는 건조단위중량을 산정한 후 조성하였다. 층별 부피에 해당하는 흙의 목표 건조중량을 계산하여 5cm 두께로 구분 계량하고, 층마다 균일하게 투입 및 다짐을 반복하였다.
Table 1.
Materials properties of soils used in this study
| Parameter | Value | Parameter | Value |
| No.200 Passing | 10.8% | 1.123 | |
| 2.69 | 0.443 | ||
| NP | 18.27kN/m³ | ||
| 12.5% | 12.43kN/m³ | ||
| SW-SM |
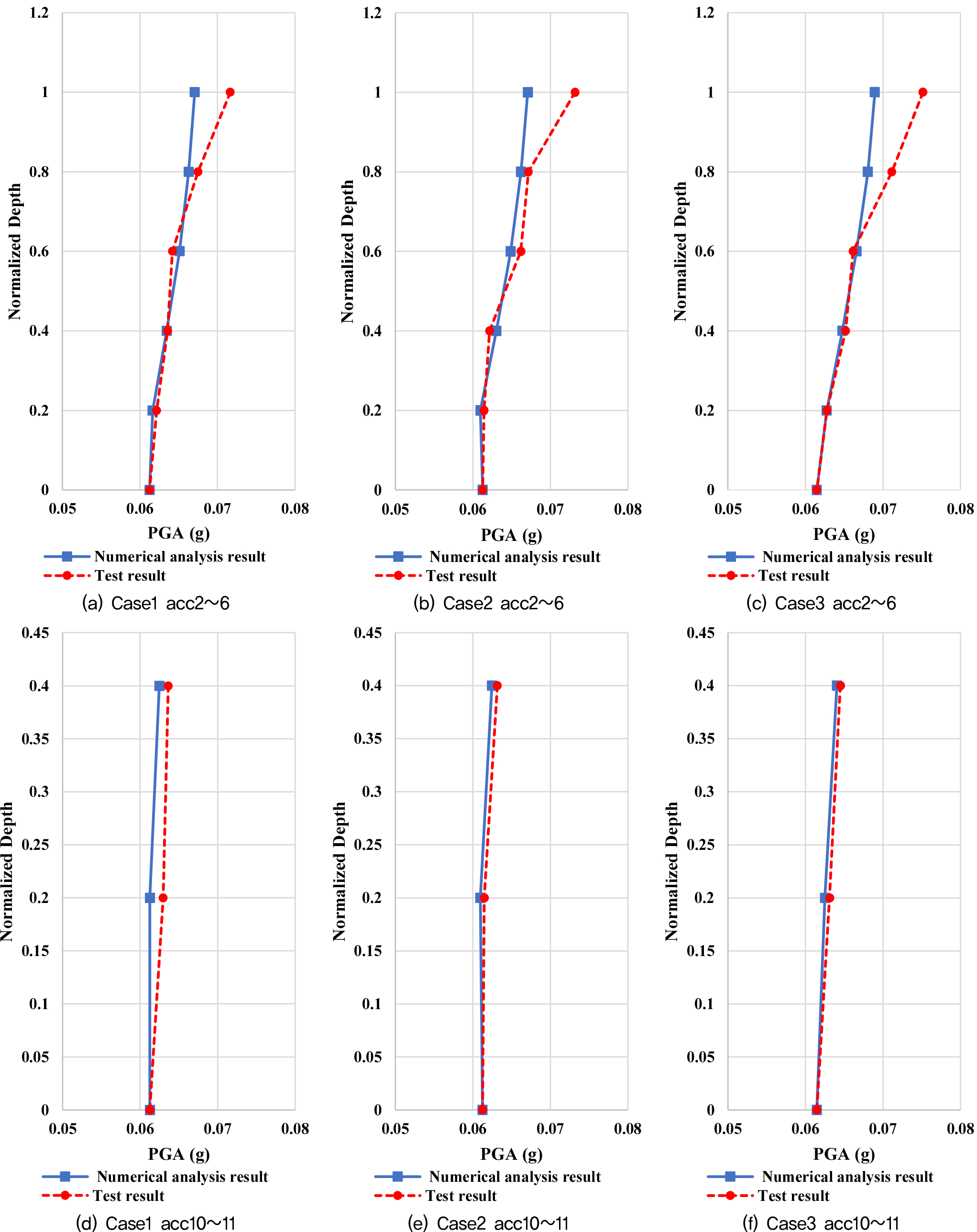
조성한 모형지반의 단면과 가속도계 위치는 Fig. 2에 나타내었다. acc2∼6, acc10∼11은 모형지반 내부의 다양한 깊이 및 위치에서 지진하중에 대한 지반 응답 특성을 정밀하게 측정하기 위해 매설하였으며 acc7∼9는 지진하중 작용 시 사면 경계부의 주기별 응답 특성을 분석하기 위해 설치하였다.
Fig. 3은 전단파 속도를 측정하기 위한 충격실험을 모식도를 나타낸 것이다. 토조 하단에 충격을 가해 전단파를 발생시키고, 지반 내부에 설치된 센서의 충격파 도달시간을 측정하였다. 이를 통해 실험지반의 평균 전단파 속도를 파악하고, 수치해석 시 모형의 재료 특성을 정의하는 기준값으로 활용하였다.
2.3 입력지진파 및 계측항목
실험에 사용된 지진파는 Fig. 4에 나타내었으며, 실제 경주에서 발생한 지진파를 활용하였다. 해당 지진파는 국내에서 발생한 대표적인 지진 사례로, 본 연구에서는 진동대 실험 및 수치해석의 입력지진파로 사용하였다. 실제 경주지진파는 명계리 관측소에서 0.285g, 울산 관측소에서 0.404g의 최대지반가속도(Peak Ground Acceleration)가 관측되었으며, 본 연구에서는 실내 실험 조건에 맞추어 약 0.07g로 스케일링된 입력가속도를 적용하였다. 상사법칙에 따라 가속도의 차원은 유지하면서, 초기 실험 단계에서는 안정적이고 명확한 응답을 확보하는 것을 우선으로 하였다. 또한 장비 특성과 모형의 조건을 고려하여 경계효과 및 불필요한 파괴 발생을 최소화하고자 하였다. 계측은 가속도계를 활용하여 사면 상단, 사면부, 수평지반부에 걸쳐 총 11개의 위치에서 수행되었으며, 토조 외부에 가속도계를 설치하여 입력가속도의 정확성을 확인하였다. 계측된 가속도 이력은 후처리를 통해 스펙트럼 가속도(Spectral Acceleration), 주기별 증폭비, 응답 계형 등을 산출하였으며, 수치해석 결과와의 비교를 통해 해석 모델의 신뢰성을 평가하였다. 실험 결과는 동적 응답 계수 분석 및 동적 안전율 산정을 위한 기초자료로 활용되었다.
3. 유한요소 수치해석
3.1 해석 모델 및 조건
본 연구에서는 1g 진동대 실험과 동일한 조건을 반영한 유한요소해석을 수행하기 위하여 ABAQUS/Explicit 모듈을 활용하였다. 해석 모델은 실험에 사용된 연성토조의 형상 및 사면 기하조건을 기준으로 구성되었으며, 사면 기울기 1:2.0, 1:1.8, 1:1.3의 총 3개 조건에 대하여 각각 모델링하였다. 실내실험은 소형모형으로 수행되었으나, 실질적인 안전율 평가를 위해 상사비(𝜆=20)를 적용하여 원지반 규모의 수치해석 모델을 구축하고 분석을 수행하였다.
해석 모델은 폭 40m, 높이 12m 설정하였으며, CPE4R 요소(4절점 평면응력 요소)를 사용하여 2차원 모델을 구성하였다. 메쉬 크기는 고주파 성분의 반응을 포착하고 수렴성을 확보하기 위해 Kuhlemeyer and Lysmer(1973)가 제안한 식 (1)에 따라 설정하였다.
여기서 : 요소의 길이(m)
: 매질의 전단파 속도(m/s)
: 전달가능한 주파수(Hz=1/s)
Fig. 5는 수치해석에 적용된 사면 모델을 나타낸 것이다. 실험에서 사용된 연성토조(flexible container)의 특성을 반영하기 위해, 수치해석 모델에서도 인위적인 파동 반사를 억제하고 자유장 조건에 가까운 응답을 구현할 수 있도록 모델링하였다. 모델의 하부는 Y축방향 고정(fixed) 조건을 부여하였으며, 경계면에서 발생하는 반사파의 영향을 최소화하기 위해 좌우 양측에는 여분의 길이를 추가하였다.
재료 모델은 Mohr-Coulomb 탄소성 모델을 적용하였으며, 실험 시료의 물성값을 바탕으로 탄성계수, 점착력, 내부마찰각 등의 파라미터를 설정하였다. 주요 해석 조건은 Table 2와 같다.
Table 2.
Soil input parameters used in numerical analysis
| Parameter | Value | Parameter | Value |
| Mass density (kN/m3) | 17.65 | Young’s modulus (MPa) | 80 |
| Poisson’s ratio | 0.3 | Cohesion yield stress (kPa) | 10 |
| Internal friction angle(°) | 27.7 | Dilatancy angle (°) | 22 |
3.2 상사법칙 적용
1g 진동대 실험의 해석 모델링 시, 실험 모형과 해석 모델 간의 동적 응답 유사성을 확보하기 위해 적절한 상사법칙(Similitude Law)의 적용이 필수적이다. 본 연구에서는 Iai(1989)가 제안한 상사법칙 제2형태(Type 2)를 채택하였으며, 이는 전단탄성계수가 구속압의 제곱근에 비례한다는 가정을 기반으로 한다. 상사법칙 제2형태에 따라 본 연구의 수치해석에 적용한 상사법칙에 따른 파라미터는 Table 3에 나타내었다. 이러한 스케일링을 통해 실험에서 관측된 응답을 실규모 지반에 대응시킬 수 있으며, 수치해석 모델에서도 동일한 조건을 반영하고자 하였다. 상사법칙의 적용과 경계조건 설정을 통해, 실험 모형과 수치해석 모델 간의 동적 응답 유사성을 확보하였으며, 분석 결과의 상호 비교 및 검증이 가능하도록 구성하였다.
Table 3.
Similarity relationships and scaling factors for 1g shaking table test (Scaling Ratio: 1:20)
3.3 실험과의 비교 검증
수치해석 모델의 신뢰성을 확보하기 위하여, 동일 조건에서 수행된 1g 진동대 실험 결과와 유한요소해석 결과 간의 동적 응답 특성을 비교·검증하였다. 비교 항목으로는 사면 상단 및 수평지반부의 최대지반가속도(PGA)와 스펙트럼 가속도(SA)를 주요 지표로 선정하였다.
3.3.1 최대지반가속도(PGA) 비교
Fig. 6은 각 사면 조건별로 실험과 수치해석에서 측정된 사면 상단 및 평지 지반부의 가속도 이력을 나타내었다. 실험모형과 수치해석 모델은 절대적인 높이는 다르지만, 사면의 동일한 상대 위치에서 데이터를 추출하여 비교하였다. 실험모형과 수치해석모델의 전반적인 응답 계형은 유사한 추세를 나타내었으며, 최대지반가속도 값은 평균적으로 오차율 8.3% 이내로 제한되었으며, 이는 실험에서 발생하는 토조 벽면과의 미세한 마찰 또는 센서 설치 오차에 기인한 것으로 판단된다. Jin et al.(2021), Jin et al.(2023), Jin(2023)은 1g 진동대 실험과 수치해석(Abaqus, Deepsoil)의 비교에서 전반적으로 양호한 일치를 보였으며, 약 10% 내외의 차이를 보였다. 따라서 본 연구에서 8.3%의 오차율은 전반적으로 해석 결과가 실험 결과를 합리적으로 재현하고 있음을 나타낸다. 모든 case에서 공통적으로, 가속도 계측 위치 acc1에서 acc6으로 갈수록 수치해석 결과와 실험 결과 간의 차이가 점차 증가하는 경향을 보였다. 이는 사면 상부가 지진파의 반사 및 간섭 현상이 중첩되기 쉬운 위치이며, 동시에 경사면에 따른 지반 증폭 효과가 상대적으로 크게 나타나는 지점이기 때문으로 판단된다. 이러한 복합적인 효과는 실제 실험 환경에서 민감하게 반영된 반면, 수치모델에서는 경계조건이나 감쇠모델 등의 제한으로 인해 해당 현상이 상대적으로 과소평가된 것으로 판단된다.
3.3.2 스펙트럼 가속도(SA) 비교
Fig. 7은 사면부에서 스펙트럼 가속도를 나타낸 것이다. 두 그래프는 최대 응답이 발생하는 최대 가속도 값이 유사하게 나타났으며, 전체적인 응답 계형 또한 유사한 분포를 보였다. 이는 수치해석 모델이 실험에서의 사면 지진응답 특성을 합리적으로 모사하고 있음을 나타낸다.
4. 동적안전율 산정기법
4.1 가상활동면에 대한 응력 추출
Lee et al.(2021)는 사면에서 한계평형법을 통해 발생가능한 활동면을 미리 정의한 후 최소안전율을 계산하였다. Fig. 8은 이러한 한계평형해석을 통해 도출된 잠재적 파괴면을 나타낸 것이다. 이후 정의한 파괴면에서 동적 안전율을 산출한 결과, 정적인 상태에서 안전계수가 낮은 활동면들이 동적인 상태에서도 낮은 안전율을 보이는 것으로 평가되었다. 이에 본 연구에서는 사전에 유사정적해석을 수행하여 파괴면 중 최소안전율을 갖는 파괴면을 도출하고, 유한요소해석에서 파괴면을 적용하였다.
동적 해석 결과로부터 사면의 안정성을 평가하기 위해서는 파괴면 상에 작용하는 응력 상태를 정확히 분석할 필요가 있다. 본 연구에서는 사전에 정의된 활동면을 기준으로, 해당 위치의 시간별 응력 데이터를 ABAQUS 해석 결과에서 추출하였다. 추출된 응력 성분은 정의된 가상활동면에서 주응력 및 전단응력으로 구성되어 있다. Fig. 9는 수치해석 요소망에서 정의된 활동면과 그에 인접한 요소군을 나타낸다.
수치해석 결과로 얻어지는 응력 값 은 모두 전역 좌표계를 기준으로 정의되어 있다. 그러나 사면의 안정성 평가를 위해서는 가상활동면을 따라 작용하는 응력으로 평가할 필요가 있다. 이를 위해 활동면의 기울기𝛼를 고려하여 변환하는 과정이 필요하다. 다음식 (2), (3), (4)는 Mohr의 응력 원 이론에 기반하여 유도된 것으로 주어진 좌표계 상의 응력 성분을 활동면 기준의 성분으로 분리하는 역할을 한다.
여기서, 𝛼 : 수평면과 활동면이 이루는 각도(°)
: 로부터 산정된 가상의 활동면에 수직방향으로 작용하는 법선응력(kPa)
: 로부터 산정된 가상의 활동면에 수평방향으로 작용하는 전단응력(kPa)
4.2 시간 이력 기반 FS 계산
앞서 산정된 파괴면 기준의 전단응력(𝜏)과 최대 전단강도()를 기반으로, 본 연구에서는 시간에 따른 사면의 동적 안정성을 정량적으로 평가하기 위하여 시간 이력 기반의 안전율(Factor of Safety, FS)을 산정하였다. 각 시간 단계에서의 FS는 다음과 같이 정의된다.
여기서 : 안전율
: 전단강도(kPa)
𝜏 : 전단응력(kPa)
: 활동면의 길이(m)
5. 결과 및 분석
5.1 유사정적해석 결과
본 연구에서는 정적인 파괴면의 형상을 사전에 도출하고, 동적 안전율 평가 기법의 적용 타당성을 검토하기 위해, 유사정적해석(pseudo-static analysis)을 수행하였다. 해석은 Midas사의 Soilworks 프로그램을 활용하여 진행되었으며, 각 사면 기울기 조건에 대해 등가 정적 지진하중을 고려한 안정해석을 수행하였다. 등가 정적 지진하중은 입력지진파의 최대지반가속도(PGA)를 기준으로 적용하였다. 최대지반가속도 약 0.07g를 고려하여 이를 2g로 나누어 산정한 수평지진계수 0.035를 유사정적 해석의 정적 지진하중으로 적용하였다. 정적 지진하중은 해석에 사용한 물성치는 Table 2와 같다. 이를 통해 얻어진 파괴면 형상은 이후 동적 해석 단계에서 활동면 정의에 활용되었으며, 유한요소 기반의 시간에 따른 안전율이 해당 면에서 합리적인 값을 도출하는지를 비교하였다. Fig. 10은 세 가지 실험 케이스에 대한 유사정적해석 결과를 나타낸다. 유사정적해석 결과, 실험 케이스별로 산정된 안전율은 1.573에서 1.975의 범위를 나타내었으며, 사면의 경사가 급해질수록 안전율이 감소하는 경향이 관찰되었으나. 지진 시 기준 안전율인 1.1을 충분히 만족하는 것으로 확인되었다.
5.2 유한요소해석을 통한 안전율 결과
유사정적해석을 수행하여 미리 정의된 활동면 상의 수직응력, 수평응력, 전단응력을 추출한 뒤, 활동면의 기울기에 맞추어 응력을 변환하였다. 이후 변환된 응력 성분을 바탕으로 활동면에 작용하는 전단응력과 전단강도를 비교하여, 그 비를 통해 활동면별 안전율(Factor of Safety, FS)을 산정하였다. 이 과정은 입력지진파인 경주지진파의 전체 시간 동안 각 시간 스텝별로 반복 수행하여, 시간에 따른 안전율 변화를 평가하였다. Fig. 11은 수치해석을 통해 얻은 사면 내 응력 분포를 나타낸 것이다. 응력 분포도는 사면 내에서 응력이 집중되는 경향을 확인하고 잠재적인 취약 구간을 식별하는 데 유용하다. 그러나 응력 분포만으로는 사면의 전반적인 안정성을 정량적으로 평가하거나 실제 파괴 거동을 직접적으로 규명하는 데에는 한계가 있다. 따라서 본 연구에서는 응력 분포 결과를 보완적으로 활용하되, 최종적인 안전성 평가는 Mohr-Coulomb 파괴기준에 따라 사전에 정의된 가상파괴면에서의 전단응력과 전단강도를 비교하여 산정된 안전율을 기반으로 수행하였다. Fig. 12는 각 해석 케이스별로 시간에 따른 안전율(Factor of Safety, FS)의 변화를 나타낸 것이다. 시간에 따른 안전율 산정 결과, 전체적으로 FS는 10초∼25초 구간에서는 비교적 안정적인 수준을 유지하였으며, 25초 이후 주요 지진하중이 작용하는 구간에서 FS의 급격한 변동이 관찰되었다. 이후 40초 이후부터는 FS 변동 폭이 점차 감소하였다. Table 4는 유사정적해석과 유한요소해석을 통한 최소안전율을 나타내었다. 해석방법에 따른 안전율 차이는 7%~12% 정도로 나타났다. 해석방법에 따른 안전율(Factor of Safety, FS)은 정량적으로 큰 차이를 보이지 않았다. 기존 유사정적해석은 단일 시점 결과만 제시하지만, 시간에 따라 변동하는 FS를 평가할 수 있어 지진응답의 실시간 변동 특성을 포착 가능하다.
6. 결 론
본 연구에서는 1g 진동대 실험을 통해 세 가지 경사조건의 사면을 조성하고 실험을 수행하였다. 실험 결과를 기반으로 수치해석을 진행하였으며, 수치모델의 신뢰성을 확보하기 위해 수치해석 결과와 실험 결과 간의 증폭 특성을 비교·분석하였다. 수치해석은 Abaqus 6.14를 활용하여 동적 유한요소해석을 수행하고 soilworks 프로그램을 사용하여 유사정적해석을 수행하였으며, 각각의 해석방법에 따른 안전율을 산출하였다.
1.시간에 따른 사면의 동적 안전율 산정은 기존 연구를 통해 유한요소해석 기반으로 수행된 바 있다. 그러나 기존 연구들은 수치해석적 접근에 한정되어 있어, 실제 실험 데이터를 기반으로 한 검증이 이루어지지 못한 한계가 존재하였다. 본 연구에서는 1g 진동대 실험을 통해 다양한 경사 조건의 사면 거동을 실험적으로 관찰하고, 이를 기반으로 수치해석 결과를 검증함으로써 시간-이력 안전율 해석의 신뢰성을 높일 수 있다. 실내 실험을 통한 접근은 기존 해석 연구를 보완하고, 실제 지반 응답을 반영한, 보다 현실적인 안정성 평가의 가능성을 제시한다는 점에서 의의가 있다.
2.본 연구에서 수행한 유사정적해석과 유한요소해석은 결과적으로 안전율 산정에 있어 정량적 차이는 크지 않았지만, 각 방법은 서로 대비되는 장점을 가진다. 유사정적해석은 해석 과정이 간결하고 계산 효율성이 높아 다양한 조건을 빠르게 평가할 수 있는 장점이 있다. 반면, 유한요소해석을 통한 안전율 산출 방법은 시간에 따른 응력 변화 및 비선형적인 지반거동을 정밀하게 반영할 수 있어, 실제 지진하중에 따른 사면의 안정성 저하나 복합적인 거동을 세밀하게 평가할 수 있다. 이러한 특성은 해석 목적과 상황에 따라 해석방법을 선택하거나 병행하여 활용할 수 있을 것으로 기대된다.
3.입력지진파의 최대지반가속도가 발생하는 시점에서 사면의 안전율(Factor of Safety, FS)이 가장 낮게 산출되었다. 이는 지진하중에 의해 사면 안정성이 일시적으로 크게 저하될 수 있음을 보여주며, 시간-이력 기반으로 산출된 동적 안전율 결과는 입력지진파에 따른 사면의 안정성 변화를 보다 세부적으로 평가할 수 있음을 나타낸다.














