1. 서 론
최근 우리나라에서는 급속한 도시화, 산업화 및 교통망 확충에 따라 화약을 이용한 발파작업이 많이 수행되고 있어 이로 인한 진동, 소음, 비산, 분진 등이 중요한 문제가 되고 있다. 이에 따라, 진동이나 소음 피해에 의한 보상은 물론 각종 민원 등으로 공사기간이 증가되는 경우도 빈번하게 발생하고 있다. 특히 발파진동의 경우는 인근 구조물에 치명적인 피해를 줄 수 있을 뿐만 아니라 발파작업 시 민원발생의 주요 원인이 되고 있다. 직접적 피해의 원인은 폭원에 가까운 부분의 응력 파동에 의한 균열의 발생이며 폭원에서 어느 정도 거리가 떨어진 지점에서는 지반 진동에 의한 피해를 들 수 있다. 본 연구에서는 이러한 발파 시 발생하는 문제를 줄일 수 있는 대책으로 최근 관심을 갖고 연구되고 있는 발파공 내 매질문제에 대하여 연구를 수행하였다. 폭발과정에서 발생하는 충격력과 가스압은 폭굉(Detonation)지점에서 발파공벽에 도달하는 동안 감소하게 된다. 감소되는 크기는 통과 매질의 종류에 따라 다르게 된다. 일반적인 경우에 발파공에 폭약을 넣은 후 전색재를 채우는 과정에서 전색재의 종류에 따라 폭약과 발파공벽 사이 공간의 충전정도가 차이가 나게 된다. 주로 사용하는 전색재인 모래의 경우에는 이 좁은 공간을 채우는 것이 어려워 대부분의 공간이 공기로 구성된다. 이 공간을 시공 상 완전히 충전할 수 있는 매질은 물과 같은 액체로서 폭약과 발파공벽 사이의 공간을 밀장전할 수 있다. 본 연구에서는 이 공간을 물로 밀장전할 경우와 공기로 채워진 경우에 대하여 충격파와 가스압의 전달속도 및 충격력 크기 그리고 주변 영향을 분석하였다. 그리고 실제 발파 현장의 발파패턴을 두 가지 전색재(물, 공기)로 모델링하여 시간에 따른 시간의존적 발파동적해석을 통해 암반의 발파특성을 비교, 분석하였다.
2. 발파해석 범위 및 방법
2.1 발파방법별 특성
2.1.1 발파공법
일반적으로 발파는 Fig. 1과 같이 암반을 발파규모에 맞게 천공한 후 천공부에 폭약을 장약하고 폭약의 폭발에너지 감소를 막기 위해 장약상부에 골재 등으로 전색한 후 발파를 실시한다. 발파 시 폭약의 삽입을 용이하게 하기 위해 천공경을 폭약경보다 약간 크게 천공하게 된다. 이 때 Fig. 2와 같이 천공경과 폭약경의 차이로 인한 공간(Void)에 의해 폭약의 폭발력이 공벽에 전달되는 과정에서 발파 효율이 급격히 감소하게 되는데 이를 디커플링효과(Decoupling Effect)라 한다.(Drake, 1974)
2.1.2 물을 매질로 하는 발파공법
일반적인 전색재로 사용하는 자갈은 입자간 맞물림(Interlocking)이 우수하여 폭발력 감소를 줄일 수 있으나, 입자가 커서 천공경과 폭약경 사이의 공간을 밀실하게 채우기 어렵다. 모래의 경우에는 일부 공간을 채울 수 있으나 입자간 맞물림이 작아 폭발력이 상부로 소실되는 공발현상(Blown Out Shot)이 발생될 수 있다. 또한 고분자 계열이나 고화제 계열은 공간을 밀실하게 채울 수 있으나 재료의 단가가 높고 주입이 어려우며 양생에 따라 공사기간이 늘어나는 문제점을 가지고 있다. 이에 반해 비압축성 재료인 물은 폭약경과 천공경 사이의 공간을 채우기 쉽고 경제적이며, 취급이 용이하고 친환경 재료라는 장점을 가지고 있다. 본 연구에서는 Fig. 3과 같이 공내에 워터튜브를 삽입하여 물로 공극을 밀실하게 충전하여 해석한 결과를 일반적으로 공기로 충전한 것으로 가정하여 해석한 결과와 비교, 분석하였다.
2.2 해석방법
2.2.1 발파해석 연구동향
발파실험연구의 제약 사항을 극복하기 위한 대체 방법으로 전산수치모사해석(Computer Numerical Simulation Analysis)이 최근 많이 적용되고 있다. 전산수치모사해석은 발파현상을 수치모델링하여 실제와 유사한 환경조건 하에서 모사해석함으로서 현장실험을 대신해 발파가 주변시설물에 미치는 영향을 파악할 수 있다. 전산수치모사해석의 장점은 실험을 시행하는 것에 비해 시간과 비용을 절약하여 신뢰성 높은 결과를 얻을 수 있다는 점이다. 즉, 현장실험이 어렵거나 복잡한 현장상황에서도 발파 시 동적 거동을 정확히 예측할 수 있는 시스템을 제공하고, 발파현장실험 시 암반 속에서 측정하기 어려운 데이터 값을 확인할 수 있다. Kingery(1966)는 반원형태의 TNT발파물을 지표면에서 발파시켜 고차 다항식에 대한 공기 중 발파 압력을 환산거리(Scaled Distance)에 따라 측정하는 실험을 수행하였다. 1959년부터 1964년까지 캐나다에서 진행된 실험에서 Kingery(1966)는 발파 하중의 최대 과압력, 주변 암반 및 시설물에 발파 하중의 도착 시간, 대기압 이상의 압력이 발생되는 정압 구간 및 대기압 이상 압력의 적분량적인 충격량의 데이터를 수집 정리하였다. 또한 Kingery and Bulmash(1984)는 Kingery(1966)의 실험 데이터에서 반사 압력, 반사 충격량 및 충격파 전면 속도를 추가적으로 제시하였다. Swisdak(1994)은 Kingery(1966)의 연구 자료들을 정리하여 더 사용하기 쉽도록 발파 압력 데이터 곡선을 정리하였다. 오차 1% 이내로 Kingery(1966)의 실험 데이터와 일치하는 단순화된 방정식을 제시하였다. 최근 들어서는 수치해석 프로그램의 발달로 실험 결과와 수치 해석 결과를 비교하는 연구들이 많이 진행되었다. Chafi et al.(2009)은 공기 중 발파 현상을 ALE(Arbitrary Lagrangian Eulerian) 기법을 이용해 해석하였다. 암반이나 구조물 같은 고체는 Lagrangian Mesh로 구성되고 유체는 Eulerian Mesh로 구성하는 ALE 방법에 의해 정의되는 결합 알고리즘을 적용하여 발파해석을 하였다. 또한 모사해석(Simulation)의 검증을 위해 실험 데이터와 결과값을 상호 비교하였다. Ngo et al.(2007)은 해석적 방법과 수치해석 기법으로 발파 하중이 암반 등에 미치는 영향에 대해 연구하였다. 본 연구에서는 많은 연구를 통하여 검증된 ALE해석방법을 이용하여 연구를 수행하였다.
2.2.2 ALE 해석이론
ALE(Arbitrary Lagrangian-Eulerian) 방법은 Lagrangian 방법과 Eulerian 방법의 장점을 통합하여 만들어진 방법이다. 유체동역학과 비선형 고체역학문제가 결합된 물리문제를 수치해석으로 해결하기 위해서는 유체-고체의 연속체에 대한 유한요소의 변형이나 소거현상을 적절한 해석기법으로 묘사할 수 있어야 한다. ALE 기법은 이러한 대변형이나 확산이 발생하는 연속체의 유한요소기법으로 문제들을 다루고 물질간의 상호작용과 운동경계치에 대한 정확한 값을 제시해 줄 수 있다. ALE 방법은 공기, 물, 화약에 대한 유한요소망(Finite Element Mesh)을 구성하여 시간의존적 동적해석이 가능하다.
공기를 모델링하기 위한 상태방정식(Equation of State; EOS)은 경험식으로 Johnes-Wikins-Lee(JWL) EOS를 사용한다.
여기서, A, B, R 1, R 2, ω : 입력계수
V : 상대적 체적함수
E : 체적당 내부에너지
물은 폭발로 인한 비압축성 효과(Incompressible Effect)를 반영하기 위하여 Shock EOS를 적용하였다. Shock EOS는 Shock Hugoniot를 기반으로 한 Mie-Gruneisen의 압력 상태방정식이 사용되었다.
여기서, ρ 0 : 기준밀도,
c 0 : 기준음속,
µ : 압축률(1-ρ / ρ 0),
s : 엔트로피,
e : 내부에너지,
Γ : Mie-Gruneisen 계수
폭약에 대한 해석적 상태방정식으로 JWL-EOS를 적용하였다. 사용 폭약은 New MITE Plus I(Dynamite)를 적용하였고 그 때의 상태방정식은 다음과 같다.
여기서, η = ρ / ρ 0 : 현재와 초기의 밀도 비
A, B, R 1, R 2, w : 사용폭약별 사용자 입력변수,
ρ 0 : 기준밀도(초기밀도),
ρ : 현재밀도,
e : 가스의 고유에너지
본 연구를 위하여 위의 식들로 구조해석과 전산유체해석(CFD, Computational Fluid Dynamic)의 결합해석이 가능한 상용 해석프로그램을 사용하였다.
3. 발파해석 및 평가
3.1 발파공 내 발파 해석
3.1.1 개요
Fig. 4와 같이 발파공과 약포경(Explosive dynamite diameter) 사이가 공기로 채워진 방법과 물로 채워진 충전형상을 모델링하여 해석을 실시하였다. 이때 공벽은 충격력이나 가스압에 의한 변형이나 파괴가 발생하지 않도록 강체로 가정하였다. 해석은 화약이 순차적으로 폭발하는 시간동안 충격량과 가스압이 두 매질을 통과하여 암벽(강체)에 도달한 충격력을 구한다. 폭약이 모두 소진될 때까지 해석을 실시하며, 폭굉에 의한 압력파가 강체에 도달한 이후에 공벽에서 반사된 충격파의 2차 충격은 고려하지 않는다. 폭약(TNT)은 New MITE plus I(Dynamite)으로 직경 50mm, 길이 480mm이고 천공경은 76mm를 적용하였다. 또한 기폭 위치는 중앙에 위치한다고 가정하여 중앙에서 양방향으로 점화되어 가는 축대칭을 고려하여 전체 발파공의 1/4을 모델링하였다. 해석에 적용된 공기, 물, 폭약의 데이터는 Table 1, 2, 3과 같다.
Table 1.
Property of air
| Constant(unit) | ρ(g/cm3) | γ(sprcific heat) | Temperature(K) | Specific Heat(J/kgK) |
| Air | 0.001225 | 1.400 | 288.200 | 717.599 |
Table 2.
Property of water
| Constant(unit) | ρ(g/cm3) | c0(m/s) | S | Gruneisen coefficient |
| Water | 0.998 | 1.647×103 | 1.921 | 0.000 |
Table 3.
Property of TNT
|
Constant (unit) | ρ (g/cm3) |
A (kPa) |
B (kPa) | R1 | R2 | ω |
Vc (m/sec) |
Energy (kJ/m3) |
Pressure (kPa) |
|
New MITE Plus Ⅰ | 1.25 | 2.14×108 | 1.82×105 | 4.2 | 0.9 | 0.36 | 5,500 | 6.0×106 | 2.1×107 |
3.1.2 모델링
Euler 기법을 이용하여 공기, 물, 화약의 재료영역을 정의하였으며 Fig. 5처럼 유한요소 격자크기는 2mm×2mm로 수치모델링하였다.
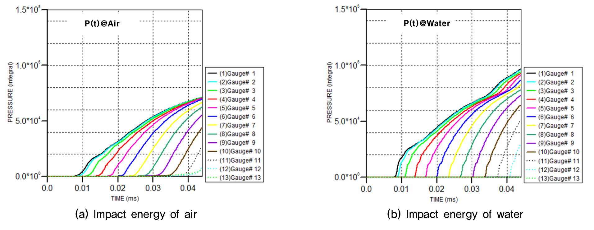
또한 발파력은 모델링 단면에서 13 지점에 대하여 측정되었으며, 그 측정위치는 Fig. 6와 같이 1점에서 13점 순으로 화약연소가 진행되는 것을 검토하였다.
3.1.3 결과분석
5,500m/s의 폭속(Detonation Velocity)으로 해석 영역의 폭약이 모두 소진될 때까지의 시간은 0.043636ms이 소요되었다. 또한 그때까지의 충격력에 대한 시간이력은 Fig. 7과 같고, 이 충격력함수의 면적을 시간적분으로 산출한 총 충격에너지는 Fig. 8과 같이 나타났다. 폭약이 모두 소진될 때까지의 벽면에 도달한 충격력과 Peak의 크기는, Fig. 7의 (a)와 (b)를 비교하면 물을 매질로 사용한 경우가 공기를 매질로 사용한 경우보다 크게 나타났음을 알 수 있다. 천공을 강체(Rigid body)로 가정하여 완전히 구속된 폭발로 모의했기 때문에 약 0.01~0.015ms 이후 각 측정 위치에서 반사파로 인한 교란이 발생하였다.
적분을 통해 구한 총 에너지는 충격파 Peak와 유사하게 물이 공기대비 평균 약 35% 정도 큰 것으로 나타났다(Fig. 8). 실제 반사파에 의한 영향을 고려한다면 그 크기는 약간 감소할 것으로 예상되지만, 공벽에 전달되는 유효 충격에너지도 공기보다 물이 더 큼을 알 수 있다.
3.2 현장 암반의 발파 해석
3.2.1 해석모델
매질특성에 따른 충격파 변화에 의하여 암석의 파쇄정도를 평가하기 위해서 Fig. 9와 같은 조건에서 발파공 주변 암반현장에 대한 동적발파해석을 실시하였다. 이때 주변 암반은 탄소성체(Elasto-plastic material)로 가정하였다. 발파공의 모델은 Fig. 10과 같다.
수치해석을 위한 해석범위는 Fig. 10처럼 4,000mm×3,000mm으로, 암석반 3,000mm×2,000mm이며 가로 세로로 공기층이 1,000mm 추가로 포함된다. 천공에서 자유면까지는 150mm×1,000mm는 공발을 방지하기 위해서 전색되고, 화약이 장전된 150mm×1,000mm는 천공부 중앙에 위치하며, 내부 유체(공기, 물)는 TNT의 주위로 25mm×500mm로 채워진다. 또한 각 유한요소의 크기는 25mm×25mm이며, 전체 해석 시간은 10ms로 진행되었고 기폭 위치는 TNT 중앙에 위치한다고 가정하였다. 암반의 재료특성은 Table 4와 같다.
Table 4.
Property of rock
|
Constant (unit) | ρ (g/cm3) |
Porous density (g/cm3) |
Porous sound speed (m/s) |
Initial compaction pressure (kPa) | Compaction exponent | Bulk Modulus A1 (kPa) |
| Rock | 2.750 | 2.314 | 2.92×103 | 2.33×104 | 3.00 | 3.527×107 |
Fig. 11에서처럼 고체인 암반부위는 Lagrange 모델로, 유체인 공기부위는 Euler 모델로 해석하며 해석결과는 화약부 배면에서 검토하였다.
3.2.2 결과분석
폭파시간에 따른 파괴현상 및 손상의 정도를 시간에 따라 나타내면 Fig. 12, 13과 같다. 공기의 경우 응력 집중으로 취약부위부터 균열이 전개되어 나가고, 화약부로부터 자유면까지 반사파인 전단파로 인해 추가적인 파쇄가 진행되는 경향을 보인다. 또한 발파압력이 공기에 의해 손실되어 충분한 파쇄효과가 발휘되지 못하여, 대괴(Large Block)의 발생이 나타나는 것을 알 수 있었다. 물의 경우에는 압축파, 즉 충격파에 의한 직접 파쇄가 더 지배적인 경향을 보이며 공기에 비해 상대적으로 충격파가 커서 취약부 뿐만 아니라 암석 전면에 걸쳐 충격파가 전달되는 것을 보여준다. 따라서 물의 경우가 공기에 비해 파쇄도가 우수하여 대괴 발생이 감소되는 것으로 나타났다.
각 측정위치에서 시간에 따른 압력 분포는 공기의 경우와 마찬가지로 폭파위치에서 멀어질수록 압력 Peak 및 기저 압력은 급속히 감소하였다. 그러나 압력 피크가 13~18 위치에서는 분명하게 나타나지 않았으며 이는 폭발에 의한 압력파가 직접적으로 암반에 충격을 주는 것보다 파쇄에 상당부분 소모되면서 발생하는 감쇠 효과로 판단된다. 즉, 물을 매질로 사용한 경우 충격력 전달시간이 짧고 충격력이 크기 때문에, 자유면 파괴가 공기를 사용한 경우보다 일찍 발생하고 파쇄블럭의 크기가 작아서 2차 파쇄작업이 필요 없고, 배면의 충격력이 작거나 지속시간이 줄어들기 때문에 진동이나 소음이 작게 발생할 것으로 판단된다.
상기의 파쇄특성에 따른 수치해석 결과, 공기는 충격에너지에 의해 균열이 발생한 후에 인장 반사파 및 가스에너지에 의한 균열 확장으로 인한 파쇄가 주요하게 작용하였고 물은 공기일 때보다 충격에너지, 즉 압축파에 의한 직접 파쇄가 강하게 발생되는 것으로 나타났다. Fig. 14는 측정점 13에서 적산된 충격량을 비교한 것으로, 물의 경우가 공기에 비해 충격량이 현저히 적은 것으로 나타났다. 물이 매질일 경우 강한 충격파는 주변 지반으로 전달되기보다는 파쇄에 에너지가 상당부분 사용되고, 파쇄로 인한 감쇠 효과로 인해 주변의 고체를 통한 압력 전파는 공기보다 작은 것으로 나타났다.
4. 결 론
본 연구에서는 화약과 발파공 사이를 채우는 전색재로 공기와 물로 밀장전 했을 경우에 대해 발파 시 파괴성능과 주변에 미치는 영향을 수치해석으로 분석하였다. 본 연구로부터 얻어진 결론은 다음과 같다.
(1) 폭약의 폭발이 모두 완료되었을 때까지 벽면이 받은 최대순간충격력(Peak)의 크기는 공기가 약 0.6×107kPa, 물이 약 2.5×107kPa로 물이 공기보다 크게 나타났다. 폭발시간동안 적산된 총 충격량(Impulse)은 공기가 약 7.0×105kPa, 물이 약 9.5×105kPa로, 폭약 주변을 물로 충전한 경우가 공기로 충전한 경우보다 발파효과는 35% 증가하였다.
(2) 자유면의 반대방향인 배면에 작용한 충격량을 비교하면 물의 경우가 공기에 비해 충격량이 약 48% 적은 것으로 나타났다. 이는 순간적인 충격크기나 총 충격량이 물이 매질일 경우가 공기가 매질인 경우보다 크므로 암반의 자유면 폭발순간이 물이 매질인 경우가 빠르다. 따라서 폭발압이 파쇄에 에너지가 상당부분 사용되고 구속되었던 폭발압이 자유면 파쇄와 함께 빠르게 해방되므로 배면에 전달되는 에너지양과 거리가 작은 것으로 평가되었다.
(3) 물을 매질로 사용할 경우 순간적인 충격력과 총 충격량이 커짐으로서, 암의 파쇄블럭 크기가 작아지고 주변 여진의 크기와 지속시간을 줄일 수 있으며, 동일한 화약량으로 발파효율을 높임으로서 경제성을 높일 수 있다.
















