1. 서 론
2. 용선슬래그의 물리화학적 특성
2.1 외관 및 성상, 분말 특성
2.1.1 분체의 미세구조 및 응집특성
2.1.2 화학조성
2.1.3 광물조성
2.2 용선슬래그의 반응
3. 용선슬래그 고화재의 제조 및 시험방법
3.1 고화 대상토의 물리적 특성
3.2 용선슬래그 고화재의 배합조건
3.3 용선슬래그 고화재의 시험방법
4. 용선슬래그 고화토의 역학적 특성
4.1 용선슬래그 고화토의 블리딩률
4.2 재령일에 따른 일축압축강도 특성
4.3 혼합토 종류에 따른 일축압축강도 특성
4.4 고화재 혼합율에 따른 일축압축강도 특성
4.5 혼합토 종류에 따른 투수 특성
4.6 고화재 혼합율에 따른 투수 특성
4.7 용선슬래그 고화토의 용출시험 결과
5. 결 론
1. 서 론
산업이 발달하고 도심지 인구가 급속하게 증가함에 따라, 과거에는 상업적 가치를 갖지 못하던 지역의 개발이 활성화되고 이에 따라 건설 산업 또한 동반하여 성장하고 있다. 도심지하철, 지하차도 및 건설공사의 기초 등의 토목공사에서는 기초지반의 안정성 확보를 위해 각종 보강공법들이 활용되고 있으며, 이러한 보강공사에는 지반굴착을 위한 방법(보강재 삽입, 보강재와 그라우트 시공 등)과 표층토양의 성질을 개선하는 방법 등이 적용되고 있다. 가장 일반적으로 사용되는 표층처리 공법으로는 쇄석다짐에 의한 방법과 고화토 등의 화학적인 처리에 의한 방법이라고 할 수 있다.
최근 연약 또는 초연약지반상에 모래나 점토 등을 준설하여 대규모 항만, 공항, 신도시, 공업단지 및 농업용지를 확보하기 위한 해안 매립공사가 활발하게 이루어지고 있다. 과거에는 공사 현장 인근지역 육상토사의 활용으로 연약지반을 개량하여 시공 장비 및 건축물의 기초공사가 가능한 환경을 만들어 왔으나 최근에는 주변 환경오염 유발과 공사비용 증가 등의 경제적인 이유로 연약지반을 개량하는 다양한 대체 공법 및 고화재의 개발이 진행되어지고 있다. 국내에서 개발 및 사용되어지고 있는 고화재는 대다수 시멘트, 석회 또는 고로슬래그 시멘트로 현장토와 혼합된 고화재는 현장토 표면수 및 일부 혼합된 배합수와 수화반응, 포졸란 반응 등의 화학 반응을 통해 물성이 개선되어진다. 특히 시멘트가 주로 사용이 되며, 시멘트는 제조시 연료연소에 의한 이산화탄소 배출량은 시멘트 1톤 제조시 약 0.85톤의 CO2를 배출한다. 또한 온실가스 중 55%를 차지하는 CO2의 배출량 중 약 8%는 시멘트 제조 분야에서 배출되는 것으로 알려져 있으며, 포틀랜드 시멘트는 1450°C의 고온에서 용융시켜 생산되기 때문에 대량의 에너지를 소비할 뿐 만 아니라 막대한 이산화탄소가 배출되고 있어, 온실가스 감축은 시멘트 업계의 큰 현안이 되고 있다. 시멘트는 이산화탄소 배출뿐만 아니라 1급 발암물질인 Cr6+을 포함하여 Cd, Pb, As, 암모니아, Rn 등 인체에 유해한 성분들을 포함하고 있어 시멘트를 이용한 고화재의 경우 토양에서의 유해물질 용출에 의한 주변 토양오염 및 지하수의 오염을 야기할 수 있다. 이러한 문제를 개선하기 위해 석회계 또는 혼합시멘트, 비시멘트계 등을 사용하는 친환경 고화재가 개발되고 있다. 지금까지 철강슬래그에 대한 연구는 많이 진행되어 왔으나 표층처리 공법용 고화재의 원료로서의 용선슬래그의 활용성에 대한 연구는 전무하다. Jang(2012)은 제강슬래그를 활용한 고화재 제조 및 적용 기술 연구에서 환경적인 문제와 경제적인 측면에서 제강공정에서 배출되는 환원슬래그에 대한 지반개량재로의 활용가능성을 제시하였다. 그리고 Yoon and Kim (2006)에서는 굴껍질 폐기물인 굴패각을 이용하여 연약지반 개량의 고화재 원료로서의 현장 적용성 평가를 통해 주변 토양, 지하수 및 해양오염을 최소화하면서 연약지반개량이 가능하다는 결과가 보고되었다. Ko et al.(2016)는 기존의 심층처리공법용 안정재의 문제점을 해결하기 위해 탈황분진을 이용하여 개발한 친환경 지반안정재의 함수비, 투입비 및 W/B 변화에 따른 일축압축강도 시험을 통해 기존의 안정재와 비교하여 동등 이상의 성능을 발휘할 수 있을 것이라고 보고하였다. Park et al.(2013)은 페로니켈슬래그의 공학적 특성을 분석하였고, 소형 및 대형 모형토조를 제작하여 페로니켈슬래그 매립시 주변토양에 미치는 환경적 영향 평가를 통해 향후 천연골재대체재로의 활용가능성을 제시하였다. 이와 같이 산업부산물의 재활용에 대한 연구는 활발히 진행되고 있으며, 고화재 원료로서 활용될 경우 자원의 재활용뿐만 아니라 경제적, 환경적, 공학적 측면에서도 매우 유용할 것으로 판단되며 이에 대한 연구는 지속적으로 진행되어야 한다.
본 연구에서는 고화재로 사용되는 시멘트활용을 줄이고 제철소에서 발생되는 용선슬래그의 재자원화를 통해 고화재 원료로 활용하고자 용선슬래그 활성물질이 융합된 고화재 배합기술개발 및 개발고화재의 물리적 특성, 내구성능 평가, 중금속 용출량 평가 등을 통해 용선슬래그와 활성제 물질을 융합한 친환경 고화재의 역학적 특성에 관한 연구를 수행하였다.
2. 용선슬래그의 물리화학적 특성
용선슬래그는 제강 부산물 중 용선파우더를 순환 활용하여 만든 친환경 결합재로 제철소의 용광로에서 철광석을 고온으로 녹이는 과정을 용선과정이라 하며, 그 공정에서 발생되는 분말형태의 미분을 집진한 것이다. 용선슬래그는 철강 폐기물 중 하나로 철강 슬래그는 제철 공정을 갖춘 제철소의 제강과정에서 다량 발생되는 부산물 및 폐기물로 발생과정 및 공정에 따라 고로슬래그와 제강슬래그, 용선슬래그로 구분되어진다. 우리나라에서 2013년 발생한 고로슬래그와 제강슬래그는 각각 1,400만톤과 1,000만톤 정도 생산되고 있으며, 제강슬래그 중 전기로 슬래그의 발생량은 660만톤, 전로슬래그는 340만톤 정도이다(Korea Resource Recycling Society, 2014). 각각의 슬래그에 대한 재활용 기술 개발은 이미 상당한 성과를 보이고 있으나 용선 예비처리 과정에서 발생되는 용선파우더는 전량 폐기물로 폐기되고 있는 실정이며 이는 자원적, 환경적으로 막대한 손실이다.
2.1 외관 및 성상, 분말 특성
고화재의 주재료인 용선슬래그는 제철소에서 발생되는 용선슬래그 미분말을 수거하는 국내 J업체에서 공급받아 사용하였으며, 용선슬래그에 혼입되어 있는 철 성분을 분리하는 공정을 도입하여 안정적인 품질의 용선슬래그 미분말을 제조하였다.
2.1.1 분체의 미세구조 및 응집특성
용선슬래그의 미세구조를 SEM(Scanning Electron Micro-scope, Hitachi, Japan, S-4700)을 이용하여 관찰하였다. Fig. 1에 나타난 바와 같이 용선슬래그는 입자 배열이 매우 불규칙하며 크기가 균일하지 않고 입자표면이 거칠고 층상구조를 띄는 부분이 있는 것을 볼 수 있다.
2.1.2 화학조성
Table 1은 용선슬래그의 주요 화학 성분의 조성을 나타낸 것이다. 대부분 용선슬래그의 주성분은 CaO, Fe2O3 및 Al2O3이며 부성분으로는 SiO2, MgO, TiO2 및 SO3가 함유되어 있으며 그 함량은 고로슬래그의 조성에 비하면 Fe2O3가 높으며 SiO2는 낮은 비율로서 전혀 다른 조성이다. 이러한 조성의 슬래그는 급결의 특성을 가지게 된다(Jang, 2012). 따라서 용선슬래그의 활성 및 사용성 개선을 위해 주요 구성성분이 SiO2로 이루어져 있는 실리카퓸을 활성화제로 사용하여 수화물의 미세공극을 채워 수화반응을 개선하였다.
2.1.3 광물조성
Fig. 2는 용선슬래그의 X선 회절(X-Ray Diffractometer, Rigaku, Japan, RINT 2200)분석 결과를 나타낸 것이다. X-선 회절분석은 지반공학에서 세립토 내 광물(minerals)의 확인과 그 결정구조(crystal structure)를 연구하는데 가장 보편적으로 이용되는 방법이다. 이 방법으로 유‧무기물 및 결정‧비정질 재료 등 다양한 종류와 형태의 시료를 정성적으로 분석할 수 있다. 앞의 용선슬래그의 화학분석 결과에서는 고로슬래그와 전혀 다른 조성, 즉 다량의 Fe 이온 성분이 함유됨으로서 물리적 특성 면에서 차이가 있음을 알 수 있다. 용선슬래그의 주요 결정상은 X선 회절 분석 결과 주로 Ca12Al14O33(C12A7), Ca3Al2(OH)12, 2CaO‧SiO2(C2S)임을 확인할 수 있었다. 용선슬래그는 고화재 원료 적용에 있어 수화반응시 에트린자이트가 생성됨에 따라 지반안정성 및 강도증대 효과를 얻을 수 있을 것으로 판단된다.
2.2 용선슬래그의 반응
토양에 용선슬래그를 주성분으로 한 고화재를 혼합시키면 아래와 같은 반응에 의하여 토양 중의 수분을 화합수의 형태로 변화시키고, 수화반응 시에 발생하는 열에 의해 수분을 증발시켜 토양 중의 수분을 감소시키고 압밀을 촉진한다(Kim and Sung, 2009).
(1)
포졸란(Pozzolan)은 Ca(OH)2와 상온에서 서서히 반응하여 불용성의 화합물을 만드는 SiO2를 주성분으로 하는 물질로서 대표적인 포졸란의 화학성분은 SiO2, Al2O3, CaO, Fe2O3로 포졸란 활성화에 기여하는 성분은 SiO2, Al2O3이다(TRB, 1987). 포졸란의 Silica는 Ca(OH)2와 결합하여 calcium silicate hydrate(C-S-H)를 형성하게 된다. 또한 포졸란을 시멘트와 결합한 경우 수화반응 시 생성된 Ca(OH)2와 반응하게 되어 수화된 시멘트 고화체에 있어서 C-S-H의 비율을 증가시키게 된다. 포졸란은 그 조성이 다양한데 alumina 등이 있는 경우에는 calcium alumina hydrate (C-A-H)를 형성하게 된다.
시멘트에 물을 가하면 경화하게 되는데 이를 수경성이라 하며 물을 가하여 생기는 화학반응이므로 수화반응이라 한다. 제철산업의 용선슬래그 부산물은 일부 수화반응(Hydration)을 갖는 것으로 알려져 있으나 그 효과가 크지 않아 자체적으로는 산업용 자재로 사용이 어려웠고, 따라서 구성 성분에 따른 자극성(활성) 물질의 개발이 요구되어 왔다. 기존에 알려진 자극성(활성) 물질은 가성소다(Sodium hydroxide, NaOH), 규산나트륨(Sodium silicate, Na2SiO3) 등이 일반적으로 알려져 있으나 상용성과 경제성 면에서 사용하기에는 어렵다고 판단되며, 환경 친화적이면서 경제성을 갖는 활성제의 개발이 필요하다. 용선슬래그의 사용량이 증가할수록 수화반응성의 저하로 발생되는 강도저하 및 에트린자이트 활성의 부족으로 인한 문제를 극복하기 위하여 일부 급결제로 활용되어지고 있는 Calciumaluminates미분과 Calcium sulfoaluminate의 혼용 사용으로 초기 수화 반응성을 개선하고 용선슬래그와 표면을 감싸고 반응성을 저해하는 유리막 구조의 활성화를 위한 Acetic acid와 그 외 알카리 반응 촉진제 등의 활용 등 수화반응 개선 첨가제들의 최적 배합 비를 도출하고자 하였다.
3. 용선슬래그 고화재의 제조 및 시험방법
3.1 고화 대상토의 물리적 특성
원지반토에 따른 개발고화재의 특성을 파악하기 위해 3가지의 원지반토 시료를 확보하였으며, 개발고화재와 혼합할 대상토의 기본적인 물성을 파악하기 위해 한국산업규격 KS(Korea Industrial Standard) 시험방법을 적용하여 실시하였다. A의 대상토는 75㎛ 체의 통과율이 50%를 초과하는 세립토이며, 모래질의 세립토의 분류에 속하는 것으로 볼 수 있다. 균등계수는 39.8, 곡률계수는 1.2로 나타났으며, 입도분포가 양호한 흙으로 나타났다. 흙의 분류에서는 실트질 점토인 “CL-ML” 계열의 흙으로 분류되었다. B의 대상토는 75㎛ 체의 통과율이 50%보다 적은 조립토이며, 4.75mm체 통과량이 50%이상 나타나, 모래질의 조립토의 분류에 속하는 것으로 볼 수 있다. 균등계수는 46.6, 곡률계수는 0.3으로 나타났으며, 입도분포가 양호한 흙으로 나타났다. 흙의 분류에서는 조립토의 실트질 모래인 “SM” 계열의 흙으로 분류되었다. C의 대상토는 75㎛ 체의 통과율이 50%보다 적은 조립토이며, 모래질의 조립토의 분류에 속하는 것으로 볼 수 있다. 균등계수는 29.8, 곡률계수는 1.6으로 나타났으며, 입도분포가 양호한 흙으로 나타났다. 흙의 분류에서는 조립토의 입도분포가 양호한 모래인 “SW” 계열의 흙으로 분류되었다.
시험재료의 소성특성을 파악하기 위하여 액성한계, 소성한계 시험을 실시하였으며, 대상토는 점성토의 성분이 포함되어 소성지수가 각각 6.7, 5.8, 5.0으로 나타났다. 토질 기본 물성시험 결과 및 입도분포 곡선은 Table 2 및 Fig. 3에 나타내었다.
3.2 용선슬래그 고화재의 배합조건
개발고화재는 용선슬래그, 보통포틀랜드시멘트 그리고 알칼리반응촉진제가 각각 50%, 40%, 그리고 10%의 중량비로 혼합된 고상의 반응성 물질이다. 개발고화재를 혼합률 4, 6, 8, 10, 12%로 변화시켜 가며 현장토와 혼합한 시료의 일축압축강도 및 투수 특성을 분석하였으며, 고화재와 물의 비율은 1:1(고화재:물)로 적용하였고, 각각의 현장토에 따른 배합조건을 Table 3에 정리하였다.
3.3 용선슬래그 고화재의 시험방법
고화재 혼합토의 공학적 특성 평가를 위한 공시체는 한국산업규격(KS F 2329)의 공시체 제작방법을 참조하여 제작하였다. 공시체 제작은 고화재와 물 1:1 비율로 배합한 후, 대상토양에 4, 6, 8, 10, 12%를 혼합하여 공시체를 제작하였다. 공시체는 고화재 혼합률, 양생일에 따른 강도 특성을 알아보기 위해 일축 압축시험에 적합한 규격(직경 5cm 길이 10cm)의 실린더 형태로 제작하였다. 이를 위해 PVC관을 이용하였으며 표면의 건조를 막기 위해 필름을 사용하여 대기 중에서 약 24시간 방치 후 수중 양생하였다. 수중양생 시에는 수온의 온도를 20±2°C로 유지하여 온도에 따른 강도변화를 최소화 하였다.
고화재 혼합률에 따른 고화토의 블리딩을 평가하기 위해 KS F 2414에 근거하여 블리딩 시험을 수행하였다.
고화재 혼합률에 따른 투수성을 알아보기 위해 Φ10×7 cm의 투수 시험 몰드 안에 고화재를 혼합한 3종의 원지반토사를 강도실험에서와 같은 조건(혼합비, 다짐)으로 투수 시험용 시험체를 제작하여 사용하였다. 시험방법으로는 투수 원통의 위 덮개에 스탠드 파이프와 저수조를 연결하여 물을 채운 월류 수조에 담근다. 스탠드 파이프의 단면적 a를 구하여 스탠드 파이프에 월류 수조의 수면에서 측정한 높이 h1 및 h2를 설정하고, 밸브 B를 닫고 A를 열어서 저수조의 물을 스탠드 파이프에 채우고 밸브 A를 닫는다. 밸브 B를 열고 스탠드 파이프의 수면이 h1 및 h2를 통과한 시각 t1 및 t2를 기록한다. 위 조작을 반복하여 (t2-t1)의 값이 거의 일정해졌다는 것을 확인한 후 3회 이상의 측정을 실시하였다.
용선슬래그 고화재에 대하여 원자흡광광도계(AAS) 및 유도결합플라즈마질량분석기(ICP-MS)를 이용하여 폐기물공정시험법에 따라 유해물질 용출시험을 진행하였다.
4. 용선슬래그 고화토의 역학적 특성
4.1 용선슬래그 고화토의 블리딩률
고화재의 혼합률에 따른 블리딩률은 Fig. 5와 같다. 블리딩은 침하 및 균열의 원인으로 강도 및 내구성을 저하시키는 요인으로 고화재 혼합률에 따른 블리딩률을 파악한 결과, 0.8∼1.5%의 범위로 낮게 나타나 재료분리에 대한 저항성을 가질 것으로 판단된다.
4.2 재령일에 따른 일축압축강도 특성
Fig. 6는 재령일에 따른 일축압축강도 특성을 혼합토 종류별로 나타낸 그래프이다. 그림에서 나타내는 바와 같이 재령일이 증가할수록 압축강도의 값이 증가하는 것을 알 수 있다. 또한 대상토의 종류에 따라 강도의 차이를 보이지만 대상토의 종류에 관계없이 재령일에 따라 강도가 증가하는 패턴을 보였다.
4.3 혼합토 종류에 따른 일축압축강도 특성
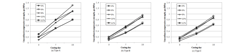
Fig. 7은 혼합토 종류에 따른 일축압축강도 특성을 혼합율 별로 나타낸 그래프이다. 그림에서 알 수 있듯이 A type의 혼합토의 경우에서 최대값을 보이며, 고화재 혼합율이 증가함에 따라 강도도 증가하는 것을 확인하였고, B type과 C type의 강도의 값은 A type에 비해 낮은 강도를 나타내었다. 본 연구의 개발고화재는 A type과 같은 실트질 점토인 “CL-ML” 계열의 흙에 적용할 경우 모래계열의 흙보다 강도의 발현율이 높을 것으로 판단된다.
4.4 고화재 혼합율에 따른 일축압축강도 특성
Fig. 8은 고화재 혼합률에 따른 혼합토 별 고화체의 압축강도 발현율을 나타낸 것이다. 양생기간이 같은 경우에 고화재의 혼합률이 증가함에 따라 압축강도가 대부분 증가하는 경향을 보이지만, 3일, 7일 초기재령에서 혼합률 8% 이후부터는 강도가 감소하거나 고화재 혼합률에 관계없이 강도의 변화가 나타나지 않았다. 28일 압축강도의 경우에는 고화재 첨가량에 따라 개발고화재의 압축강도가 증가하는 것으로 나타났으며, 혼합토의 종류에 따라 압축강도 값은 차이를 보이지만 고화재 혼합률이 증가할수록 압축강도가 증가하는 경향을 보이는 것을 확인하였다. 이는 원재료의 슬래그 반응성으로 28일 후 잠재 수경성 반응이 일어나면서 강도가 증가된 것으로 판단되며, 개발고화재는 3종류의 원지반 토사를 이용하여 제작된 공시체를 통해 압축강도 시험을 수행한 결과 원지반 토사에 따라 압축강도의 값은 미미한 차이를 보이며, 고화재 혼합률이 12%인 고화체의 양생일 28일 압축강도의 값이 각각 0.93, 0.96, 1.3MPa의 값으로 본 연구 개발 고화재의 소요강도 값인 1MPa에 만족하는 값을 나타내어 다양한 원지반 토사에 대한 고화재로서의 적용 가능성을 확인하였다.
4.5 혼합토 종류에 따른 투수 특성
투수계수는 지반의 내구성능 및 미세구조의 밀실성을 판단할 수 있는 요인으로 압축강도에 비례하여 시간이 지남에 따라 감소하며, 이는 공극률의 감소 및 수화물의 팽창과 관련이 있다. 고화재의 혼합률에 따른 투수성을 평가하기 위해 KS F 2322에 근거하여 투수 시험을 수행하였으며, 혼합토 종류에 따른 투수계수는 Fig. 9과 같다. 그림에서 보는 바와 같이 A type의 혼합토에서 투수계수 값이 최소값을 나타내었고, B type, C type 순으로 낮은 값을 보이는 것을 알 수 있다. 혼합토의 종류별로 투수계수의 값은 차이를 보이지만, 고화토의 투수 기준치인 1×10-6 cm/sec값을 만족하는 것으로 보아 본 연구에서 개발한 용선슬래그를 원료로 하는 고화재는 혼합토의 종류에 관계없이 연약지반 개량에 적용하는데 있어 충분한 투수 특성을 보이는 것으로 판단된다.
4.6 고화재 혼합율에 따른 투수 특성
Fig. 10은 고화재 혼합율에 따른 투수 특성을 나타낸 그래프이다. 고화재의 혼합률에 따른 투수계수 값은 혼합률의 증가에 따라 감소하는 경향을 보이는 것을 확인하였다. 개발고화재는 3종류의 원지반 토사를 이용하여 투수 시험을 수행한 결과 원지반 토사에 따라 투수계수의 값은 차이를 보이지만, 고화재 혼합률 12%에서 각각 4.1×10-8, 7.0×10-7, 1.7×10-7 cm/sec로 최소값을 나타내었다. 이는 원재료의 슬래그 반응성으로 고화재 혼합률이 증가함에 따라 공극률 감소와 수밀성이 개선되어 간극을 채워줌으로써 간극범위가 좁아져 투수계수가 작아진 것으로 판단되며, 다양한 원지반 토사에 대한 고화재로서의 적용 가능성을 확인하였다.
4.7 용선슬래그 고화토의 용출시험 결과
개발고화재의 유해물질용출시험 결과를 Table 4에 나타내었다. 6가 크롬 항목에서 미소량 검출되었지만 함유기준을 만족하였으며, 나머지 항목에서는 중금속이 용출되지 않았다. 또한 기존 연구 결과에서 보고된 제강슬래그와 시멘트 고화재의 유해물질 용출시험 결과에 비해 유해물질 용출량이 적은 것으로 나타났다. 따라서 본 연구에서 개발된 고화재는 현장시공 후에도 주변토양이나 지하수의 오염 가능성이 없을 것으로 판단된다.
5. 결 론
본 연구는 용선슬래그를 재활용하여 자원 순환 및 고화재의 기능성을 부여하는데 있으며, 용선슬래그의 고화재 원료로서의 가능성을 평가하기 위해 물리적 화학적 특성 분석 및 압축강도, 유해물질용출시험, 투수계수 시험을 통하여 다음과 같은 결론을 얻었다.
(1)SEM에 의한 미세구조 관찰결과 용선슬래그는 입자 배열이 매우 불규칙하며 크기가 균일하지 않고 입자표면이 거칠고 층상구조를 띄는 부분이 있는 것을 확인하였다.
(2)X-선 회절분석 결과 주 결정상이 Ca12Al14O33(C12A7), Ca3Al2(OH)12, 2CaO‧SiO2(C2S)임을 확인하였고, 고화재 원료 적용에 있어 수화반응시 에트린자이트가 생성됨에 따라 지반안정성 및 강도증대 효과가 있다.
(3)용선슬래그가 주 재료인 고화재와 현장토를 혼합한 시료의 압축강도는 고화재 혼합률에 따라 차이를 보이는 것을 확인하였고, 28일 압축강도의 경우에는 고화재 첨가량에 따라 개발고화재의 압축강도가 증가하는 것으로 나타났다. 이는 원재료의 슬래그 반응성으로 28일 후 잠재 수경성 반응이 일어나면서 강도가 증가하였다.
(4)투수계수시험 결과, 고화재와 현장토를 혼합한 시료의 투수계수는 고화재 혼합률에 따라 차이를 보이는 것을 확인하였고, 고화재 혼합률이 증가함에 따라 감소하기 시작하여 12%일 때 투수계수는 최소값을 나타내었다. 이는 원재료의 슬래그 반응성으로 고화재 혼합률이 증가할수록 수화물의 부피 팽창으로 인해 내부조직이 치밀화 되고 고화재 미세입자들의 간극 충진에 의한 것으로 판단된다.
(5)유해물질용출시험 결과, 6가 크롬을 제외한 나머지 항목에서는 중금속이 검출되지 않았으며, 6가 크롬의 경우에도 지정폐기물에 함유된 유해물질 함유기준을 만족하는 값으로 현장 시공 시 용선슬래그를 재활용한 고화재에 의한 주변 토양이나 지하수의 오염 가능성은 없을 것으로 판단된다.
(6)용선슬래그의 고화재 원료로서의 가능성을 평가하기 위해 3종의 원지반 토사와 개발고화재를 혼합하여 압축강도와 투수시험을 진행한 결과, 개발고화재의 혼합률이 12% 일 때 28일 압축강도는 각각 0.93, 0.96, 1.3MPa으로 본 연구 개발 고화재의 소요 강도 값인 1MPa를 만족하였으며, 투수계수는 각각 4.1×10-8, 7.0×10-7, 1.7×10-7 cm/sec을 나타내었다. 이를 통해 다양한 원지반 토사에 대한 고화재로서의 적용 가능성을 확인하였고, 유해물질용출시험 결과 지정폐기물에 함유된 유해물질 함유기준에 만족하는 값을 나타내어 지반개량공사의 표층처리공법용 고화재의 원료로서 재활용 가능성을 확인할 수 있었다. 본 연구 논문은 용선슬래그를 재활용한 고화재를 개발하여 기초물성시험 및 유해성 평가를 통해 개발고화재에 대한 고화재 원료로서의 적용 가능성에 관한 연구 논문이며, 추후 연구를 통해 개발고화재의 변형특성(탄성계수 등)이나 물-시멘트 비에 따른 강도 특성에 대한 분석이 이루어져야 할 것으로 판단된다.
















