1. 서 론
2. 실내실험 개요
2.1 모형토조
2.2 하중제어 장치
2.3 쇄석배수층 유량공급 장치
3. 토목섬유 적용 실험(Case 1)
3.1 실험 개요
3.2 실험 결과
4. 토목섬유 미적용 실험(Case 2)
4.1 실험 개요
4.2 실험 결과
5. 결 론
1. 서 론
과거 1960~70년대 산업화 과정으로 국토의 대부분은 개발이 완료되어 부지가 포화되어 있는 상태로 새로이 대단위의 부지를 조성할 경우는 해안을 매립하여 주거단지 특히 공업단지를 조성하는 추세이다. 이 때, 해안을 매립할 경우 대부분 연약지반이므로 건축부지외 도로, 보도, 상하수관로등과 같은 도시기반시설을 설치하는 위치에는 지반개량을 필수적으로 시행한다. 지반개량에는 연직배수재, 강제치환, Preloading, 다짐말뚝등 여러 공법이 있으나 국내에서는 대부분 기성품의 연직배수재(P.V.D)를 이용하여 연약지반을 개량한다.
연직배수재를 타설하면 연직배수재를 통해서 연약지반내 존재하는 간극수가 원지반 상단에 설치된 수평배수층으로 이동하여 외부로 배출된다.
이 수평배수층은 과거에는 Sand mat라 하여 모래를 약 0.5~1.0m 두께로 포설하여 수평배수층의 역할을 하였으나 근래에는 모래의 단가 상승 및 품귀현상으로 모래대신 쇄석으로 수평배수충을 설계한다(Fig. 1).
| |
(a) Sand mat | (b) Gravel mat |
Fig. 1. Horizontal drain | |
|
|
(a) P.E.T mat | (b) P.P + P.E.T mat |
Fig. 2. Geosynthetic design condition concept | |
수평배수층을 포설후 상단에 단계성토가 이루어지는데 모래배수층(Fig. 2(a))과 달리 쇄석배수층의 경우 상부 성토재와 혼재를 방지하기 위하여 P.P mat라는 토목섬유를 설치한다(Fig. 2(b)).
수평배수층 연구에 대해서는 선행압밀공법시 압밀침하량이 5% 이내에서 지연될때에는 소요통수능은 성토기간의 영향을 받지 않고 소요통수량은 압축지수, 압밀계수, 수평배수층의 배수거리의 제곱에 비례한다는 것을 밝혔다(Kim et al, 2001, 2002).
쇄석배수층의 공학적 특성, 맨드렐 관입저항, 하중에 의한 토목섬유 손상 여부, 통수능 시험 등 실내 및 현장시험을 실시하여 수평배수층으로 쇄석 Mat의 적용성에 대하여(Jung et al, 2006), 연약지반 개량을 위한 수평배수층 재료로 순환골재의 적용방안에 대하여(Lee at al, 2008) 연구하였다.
한편, 토목섬유에 대해서는 실내모형 실험을 통해 토목섬유를 이용하여 성토사면의 안정해석(Kim et al, 2005)과 보강한 지반의 지지력에 대한 연구(Ju et al, 2007)와 말뚝과 토목섬유로 지지된 성토지반의 아칭효과(Hong et al, 2007)등 대부분 토목섬유를 응용한 분야에서의 거동분석에 대해서 많은 연구가 진행되었다.
쇄석배수층과 성토재의 혼재 방지를 위한 토목섬유의 적용시 토목섬유의 재료비뿐만 아니라 시공비도 추가로 발생한다. 과연 이 P.P mat의 적용 여부에 따라 쇄석배수층의 통수능이 얼마나 저하하는지에 대하여 본 연구를 시행하기로 하였다.
연구방법으로 실내에서 모형토조를 이용하여 현장 조건과 유사하게 지반을 형성한뒤 쇄석배수층 상단에 토목섬유 적용 여부에 따라 성토재와 쇄석배수층과의 혼재에 따른 통수능을 평가하였다.
2. 실내실험 개요
모형토조를 이용하여 토목섬유 적용에 따른 수평배수층 통수능 평가 실내실험에 필요한 모형토조, 하중제어 장치, 유량공급 장치에 대한 목적 및 개요에 대하여 제시하였다.
2.1 모형토조
모형토조는 현장 조건 재현을 위해 Fig. 3과 같이 130cm × 80cm × 40cm 규모로 점토, 쇄석, 성토재토조로 각각 별도로 제작하여 결합하였으며 누수가 발생하기 않도록 모형토조 내부에 방수테이프를 설치하였다. 모형토조의 하부에 점성토 지반을 조성하고 P.E.T Mat를 설치하였고 쇄석토조와 성토재토조 사이에는 실험조건에 의하여 P.P Mat를 설치 할 수 있도록 설계하였다.
2.2 하중제어 장치
연약지반 상단에 쇄석배수층이 시공되고 쇄석배수층 상단에 단계별 성토에 따른 상재하중과 Fig. 4(a)와 같이 차량통행에 의한 영향(국내에서는 대부분 DB-24의 Kӧgler 공식 이용)도 고려해야 한다. 이를 묘사하기 위하여 Fig. 4(b)와 같이 토조상단에 하중제어 장치를 설치하였고, 가압판을 이용하여 0kpa, 100kpa, 200kpa, 300kpa를 하중을 재하하여 단계별 성토하중과 차량하중을 묘사하였다.
2.3 쇄석배수층 유량공급 장치
연약지반상에 설치된 연직배수재로부터 압밀배수되어 쇄석배수층에 도달한 간극수 상황을 재현하기 위한 쇄석배수층 유량공급 장치가 필요하다. 실질적인 현장 조건은 Fig. 5(a)와 같이 연직배수재를 통하여 쇄석배수층로 간극수가 배출되나 본 실험에서 현장 조건을 단순히 해야 하는 실내 모형실험의 한계성으로 연직배수재를 통해 쇄석배수층에 도달하는 과정까지는 무시하고 Fig. 5(b)와 같이 간극수가 연직배수재로 통하여 쇄석배수층에 도달한 상태만을 가정하였다.
|
|
(a) Practical | (b) Assumption |
Fig. 5. Test Assumption | |
|
|
(a) Diagram | (b) Flow gauge |
|
|
(c) Inflow portal (Right) | (d) Outflow measurement (Left) |
Fig. 6. Experimental procedure water permeability test | |
쇄석배수층내에 연직배수재를 통한 간극수를 재현하기 위해서 Fig. 6(a)와 같이 모형토조 양측면에 유량 주입부와 유츨부를 설치하였다. 주입량은 각 Case당 15ℓ/min 과 25ℓ/min으로 2번을 주입하여 유량 증감에 따른 통수능 변화에 대한 영향을 파악할수 있도록 하였다. 주량 유량의 결정은 본 시험전 토조내에 물이 공급되어 원할한 배수가 가능한 범위를 시험후 결정하였다. 주입 유량확인은 Fig. 6(b)와 같이 유량계를 통해서 조절하였고, 유출량은 Fig. 6(c)와 같이 토조 우측 측면에 유입부를 Fig. 6(d)와 같이 토조 좌측 측면에 유출부를 설치하여 유출량을 실시간 저울로 측정하였다. 또한, 토조 외부에 관찰용 자를 설치하여 유량 공급시 쇄석배수층 내부의 수위 상승여부를 확인할수 있도록 하였다.
3. 토목섬유 적용 실험(Case 1)
3.1 실험 개요
쇄석배수층 상부 및 하부에 P.P mat 및 P.E.T mat 설치할 경우 쇄석배수층의 통수능력 평가를 위해 쇄석배수층을 기준으로 상부의 성토재료와 하부에 점성지반이 설치된 모형토조의 통수능 실험으로 4단계 하중조건으로 통수능 실험을 수행하였다.
실험 방법으로는 Fig. 7과 같이 토조 하단에 30cm의 두께로 점토지반을 형성한후 표면에 P.E.T mat를 설치하였다. 상단에 쇄석배수층을 50cm 두께로 포설하고 쇄석배수층 상부면에 P.P mat를 설치하고 성토층을 40cm 두께로 설치하였다.
쇄석배수층과 상부성토층과의 혼재가 쉽도록 쇄석은 40mm 이하를 사용하였고, 상부 성토층은 모래를 사용하였다.
실험조건에 맞게 토층을 형성한 후 쇄석배수층에 유입되는 물은 유량계를 이용하여 측정하고 유출되는 물의 무게를 측정하였다. 유출량은 토사가 혼재되어 있으므로 유량계에 오차가 발생될 수 있으므로 저울을 이용하여 측정하였다. 쇄석배수층의 유입량은 15ℓ/min 과 25ℓ/min으로 유입시켜 유출량을 측정하였다. 상기에 서술한 바와 같이 상재하중은 4단계로 증가시키며 측정하였다.
3.2 실험 결과
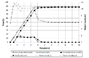
Fig. 8과 9는 P.P. mat를 적용한 쇄석배수층의 통수능 실험결과를 나타낸 것이다.
Fig. 8는 상재하중과 쇄석배수층 유입량에 따른 시간별 유입량, 누적유입량, 유출량, 누적유출량 및 모형토조 내 좌우측의 수위를 보여주고 있다.
유입시 초기에는 수위가 일정하게 증가하다 3분 정도 지나면 쇄석배수층 내부가 완전히 포화되어 수렴과정이 발생한다. 수렴과정을 관찰하다 유입을 종료시키면 수위가 급격하게 감소하였다. 유입에 따른 유량도 유사한 거동을 보이고 있는 것으로 나타났다.
누적 유입량과 누적 유출량은 포화된 지점에서 일정한 값으로 나타났다.
Fig. 9는 하중별 시간에 따른 유출수량을 나타낸 그래프로써 유입수량을 15ℓ/min 과 25ℓ/min에서 거의 유사한 형태를 보이며, 재하하중의 변화에도 쇄석의 통수능에 거의 영향을 미치지 못함을 알 수 있다. 그러므로 쇄석배수층의 통수능은 유입유량과 재하하중의 차이와는 무관함을 알 수 있다.
이로써, 유입량과 상재하중에 따라 통수능 차이는 거의 없는 것으로 판단된다.
4. 토목섬유 미적용 실험(Case 2)
토목섬유을 설치하고 않았을 경우 성토층과의 혼재로 인한 통수능을 비교하기 위하여 쇄석배수층 상단에 토목섬유(P.P mat)를 설치하지 않고 실험을 시행하였다.
4.1 실험 개요
상부 P.P mat를 제거한 후 동일한 입도의 성토재를 성토하여 점성토층(30cm)와 P.E.T mat, 쇄석배수층 50cm, 상부 성토재 40cm로 구성되어 있다. 하중재하 및 유입수량 조정은 실험 Case 1과 동일하게 하였다.
4.2 실험 결과
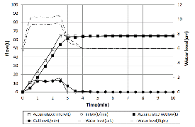
Fig. 11과 12는 Case 2의 통수능 실험결과를 나타낸 것이다. Fig. 11의 하중별 및 유입수량별 통수능 결과를 살펴보면, 유입수량과 상재하중을 달리한다 하더라도 Case 1과 마찬가지로 쇄석배수층의 통수능 차이는 거의 없는 것으로 판단된다.
Fig. 12는 Case 2의 통수능 실험결과를 살펴보면, Case 1의 결과와 마찬가지로, 쇄석배수층의 통수능을 유입수량과 재하하중의 차이가 거의 영향을 미치지 못함을 알 수 있다.
5. 결 론
연약지반을 매립후 지반개량과정에서 많이 시행되는 연직배수재 타설시 지반내 간극수를 외부로 배출하는 수평배수층을 과거에는 주로 모래를 사용하였으나 재료 단가의 상승 및 품귀현상으로 최근에는 대부분 쇄석을 사용한다. 모래에서 쇄석으로 사용시 성토재와 수평배수층과의 혼재 방지를 위해 토목섬유(P.P mat)를 적용하는데 이로 인한 재료비와 시공비의 추가 투입 및 효과성에 대해 검증할 필요가 대두되어 실내에서 모형토조를 이용하여 토목섬유 적용에 따른 수평배수층 통수능을 평가한 결과 다음과 같은 결론을 얻었다.
(1)성토재와 쇄석배수층과의 혼재를 가하여 상재하증을 0kpa, 100kpa, 200kpa, 300kpa로 4단계별로 증가하여 시행한 결과 쇄석배수층이 포화되기전까지 수위가 일정하게 상승하다 완전포화후 일정하게 수위가 유지되는 것이 관찰되었고 유입을 종료하면 수위가 급격하게 하강하였다. 수위뿐만 아니라 유입에 따른 유출량도 저수위에 유사하게 나타났다.
(2)유입량을 증가시켜 실험 결과 유입량 증가에 따른 유출량이 상이할 뿐 경향은 유사하게 나타나, 쇄석배수층 적용으로 상부성토재의 혼입을 방지하기 위한 P.P mat 설치는 고려하지 않아도 되는 것으로 판단된다.
(3)토목섬유 설치 유무에 따라서도 유입량, 누적유입량, 유출량, 누적유출량 및 모형토조 내 좌우측의 수위가 거의 유사하여 토목섬유 적용 유무에 따른 통수능에는 영향이 없는 것으로 확인되었다.






































