1. 서 론
최근 우리나라 연안해역의 서식 환경이 악화됨에 따라 수산자원과 해양 식량 생산성의 감소로 어민들의 어획소득이 급격하게 감소되고 있다. 이에 따라 정부에서는 이들 현상을 타개하기 위해 수산자원회복 사업을 실시하고 있으며, 그 중 예산적인 측면에서 규모가 가장 큰 사업은 인공어초 사업이다. 인공어초 사업은 인공적으로 해저나 해중에 구조물을 설치하여 대상 해양생물을 정착시키거나 끌어 모으고, 그에 대한 보호와 배양을 목적으로 하는 어장시설로 해양생물의 생활환경과 특성을 활용한 대표적인 수산자원 조성방법이다. 그러나 해저지반이 점토 혹은 실트질 점토 등으로 이루어진 연약지반의 경우에는 인공어초의 자중으로 인해 일정 부분이 해저지반으로 침하되거나, 모래로 이루어진 연약지반의 경우에도 해류나 조류 등으로 인해 인공어초 주변지반의 세굴이 발생하여 인공어초의 기능을 상실하는 경우가 발생하게 된다.
Kim et al.(2009), Kim et al.(2010), Choi et al.(2009)은 서해와 남해에 시설되어 있는 어초의 시설형상, 인공어초의 침하량 등을 조사한 결과, 인공어초의 자중이나 해류, 조류, 파랑 등의 수리조건으로 인해 침하와 매몰이 발생한 것을 확인하였으며, Kim(2001), Yoon and Kim(2001)은 실내 실험을 통해 인공어초 주변 흐름장의 변화에 따른 인공어초 침하 및 매몰 특성을 확인하였다. 위와 같이 기존에 진행된 연구들은 설치되어 있는 혹은 기존 방식으로 시설하는 인공어초 자체의 침하 특성을 분석하는 데에 초점을 잡고 있다. 인공어초의 침하 및 세굴을 방지하여 인공어초의 역할을 꾸준히 수행할 수 있게 하는 침하 및 세굴 저감에 대한 특허도 꾸준히 제안되었지만, 인공어초 하부지반에 추가적인 시설물 건설을 위한 대형건설 장비가 필요하여 비용이 증가하거나, 인공어초 자체 제작에 따른 추가 비용이 발생하는 문제가 있다. 따라서 본 연구에서는 건설공사 시 흙 구조물의 안정성을 높이기 위하여 사용하는 토목섬유를 인공어초 설치 지반의 하부에 포설하여 인공어초의 침하를 저감시키기 위한 연구를 진행하였다.
본 연구에서는 모래와 점토지반에서 토목섬유의 표면 포설면적에 따른 인공어초의 침하 저감 효과를 분석하기 위해 관입 실험과 실내 대형 토조 실험을 통해 토목섬유의 표면 포설에 의한 지지력 보강효과와 침하 저감 효과를 분석하였다. 이는 토목섬유 포설에 따른 지반의 지지력 증가는 지반의 안정성 증가를 의미하고, 포설에 따른 안정성의 증가는 재하에 따른 침하량의 감소를 의미하기 때문이다. 일반적으로 지반의 보강효과를 정량적으로 확인하기 위하여 Binquet and Lee(1975)가 제안한 극한상태의 지지력 비(Bearing capacity ratio at ultimate, BCRu)를 사용하기도 한다. 극한상태의 지지력 비는 식 (1)과 같이 보강 지반의 극한지지력(
)과 무보강 지반의 극한지지력(
)의 비로 구할 수 있다. 그러나 이 BCRu를 구하는 극한 지지력의 경우, 응력-변위 곡선에서 실제 지반에서의 파괴를 나타내는 항복 이후에 나타나는 것으로 실제 지반의 안정성을 평가하기에는 한계점이 있다. 따라서 본 연구에서는 토목섬유의 보강에 따른 최대지지력의 증가량을 정량적으로 평가하기 위하여 지지력 증가비(Bearing capacity increment ratio, BIR)를 사용하였다. 지지력 증가비는 식 (2)와 같이 무보강 지반의 지지력(
)과 보강 지반의 지지력(
)의 관계식을 통해 구할 수 있다.
과
는 무보강 지반과 보강 지반에서 인공어초 모형이 최대지지력 발생지점(15mm) 까지 관입되었을 때 관측된 지지력을 나타낸다.
(1)
(2)
토목섬유의 표면 포설에 따른 침하 저감 효과를 분석하기 위해 침하 저감비(Settlement reduction ratio, SRR)를 이용하였으며, SRR은 식 (3)과 같이 특정 하중에서의 보강 지반의 침하량(
)과 무보강 지반의 침하량(
)의 관계식으로 구할 수 있다(Alawaji, 1998).
(3)
2. 시험 재료 및 방법
2.1 모래
본 연구에서 사용된 모래는 일반적인 성토재로 사용되는 모래로 일관된 실험결과를 얻기 위해 No.4 체(Mesh size : 4.75mm)에 통과시켜 자갈크기의 입자를 배제하여 사용하였다. Fig. 1는 모래의 입도분포곡선을 나타내며, 입도분포곡선을 통해 구한 유효입경(D10)은 0.26mm이다. Table 1은 입도분포시험, 표준다짐시험을 통해 구한 모래의 물리적 특성을 나타내고 있다. 실험에 사용된 모래의 균등계수는 1.81, 곡률계수 0.89로 입도가 불량한 모래(Poorly graded sand, SP)의 특성을 가지고 있다.
실내 침하 실험에서 모래지반을 조성하기 위하여 수중낙사법을 사용하여 조성하였으며, 이는 수중에서 퇴적된 자연 상태의 흙의 구조를 가장 잘 나타내는 시료 조성방법으로 알려져 있다(Vaid et al., 1999). 특히 수중낙사법은 건조낙사법보다 낮은 상대밀도의 시료를 조성할 때 편리하고, 시료의 포화가 확실하게 되는 특징이 있다(Lee et al., 2008). 연약지반을 모사하기 위해 수중낙사법을 통해 토조 내에 조성된 모래의 상대밀도(Dr)는 30%이며, 관입 실험을 위한 시료도 같은 30%의 상대밀도를 가지게 조성하였다. 상대밀도는 식 (4)와 같이 흙 시료의 최대건조단위중량, 최소건조단위중량과 조성된 시료의 건조단위중량의 비로 구할 수 있다.
(4)
2.2 점토
본 연구에서 사용된 점토는 실내 침하 실험에서 주로 사용되는 카올리나이트이며, 연약지반을 모사하기 위해 관입 실험과 실내침하실험에서 함수비를 70%로 일정하게 조성하여 실험을 수행하였다. Table 2는 실내 침하 실험에 사용된 점토 시료의 물리적 특성을 나타내었다.
Table 2. Physical properties of Kaolinite | |
Water content [ω, %] | 70 |
Unit weight [γ, kN/m3] | 15.3 |
Plastic limit [PL, %] | 30.64 |
Liquid limit [LL, %] | 59.57 |
Plastic index [PI, %] | 28.93 |
Specific gravity [Gs] | 2.19 |
2.3 관입 실험
토목섬유의 포설면적에 따른 지지력 보강효과를 확인하기 위해 CBR(California bearing ratio) test를 모사하여 Fig. 2에 나타난 형식으로 관입 실험을 수행하였다. CBR 시험은 노상토 지지력 시험이라고도 하며, 직경이 5cm인 관입봉이 지반 속으로 2.5mm, 5mm 관입하였을 때 발생하는 하중강도를 관측하는 시험이다. 이때 관측된 하중강도를 각각의 표준하중강도로 나눠준 값 중에서 큰 값을 CBR 값이라 하며, 이를 사용하여 지지력의 크기를 정량적으로 나타낼 수 있다. 그러나 본 실험에서는 인공어초 하부에 포설된 토목섬유의 지지력 보강효과를 확인하기 위하여 CBR 시험에서 사용하는 관입봉이 아니라 우리나라 해양에 가장 많이 설치되는 인공어초의 모형인 사각어초의 모형을 모사하여 5cm×5cm×5cm의 시멘트로 만들어진 정육면체를 관입시켰다. 이때 발생하는 하중강도는 관입봉을 통한 표준하중강도와는 다른 특성을 나타내기 때문에 CBR 값을 구하지 않고, 지오그리드 포설면적을 인공어초 면적(A) 대비 각각 1A, 3A, 5A로 설치됨(Fig. 3)에 따라 발생하는 지지력과 무보강 지반의 지지력을 통해 포설면적에 따른 지지력 보강효과를 확인하였다. Fig. 4는 실험에 사용된 지오그리드를 나타내는 사진이며, Table 3는 지오그리드의 물성치를 나타낸다.
2.4 실내 대형 토조 실험
토목섬유의 보강유무 뿐만 아니라 포설면적에 따른 침하 저감 효과를 확인하기 위하여 Fig. 5에 나타난 형식으로 실내 대형 토조 실험을 수행하였다. 실험에 사용된 토조는 가로 200cm, 세로 50cm, 높이 100cm의 직육면체 모형의 토조로 실험을 위하여 제작되었다. 토조 내에 조성된 모래시료는 전술한 바와 같이 수중낙사법을 통하여 느슨한 상태를 나타내는 상대밀도 30%로 조성되었으며, 이 때 5mm Mesh size의 체를 이용하여 투하하였다. 또한 토조 내 각각의 지점에 지반이 골고루 조성되었는지 확인하기 위하여 샘플을 채취하여 상대밀도를 확인하였다. 점토시료의 경우, 함수비를 70%로 일정하게 조성하였으며 지반이 골고루 조성되었는지 확인하기 위하여 현장 베인시험기를 사용하여 비배수 전단강도를 확인하였다. Fig. 6은 조성된 점토시료의 깊이에 따른 비배수 전단강도의 분포를 나타내며, 비배수 전단강도는 깊이가 증가함에 따라 선형적으로 증가하는 것을 알 수 있다. 또한 여러 지점에서 측정된 전단강도는 약간의 차이는 있으나 전반적으로 비슷한 분포를 보였다. Fig. 7은 실험에 사용된 인공어초 모형을 보여주고 있으며, 두께 1.5cm의 사각 철재를 사용하여 가로 10cm, 세로 10cm, 높이 10cm의 사각어초 모형을 제작하였다. 이는 실제로 가장 많이 시설되는 사각어초 모형을 길이 비 1/20의 축척을 이용하여 축소시킨 것이다.
3. 실험 결과 분석 및 토론
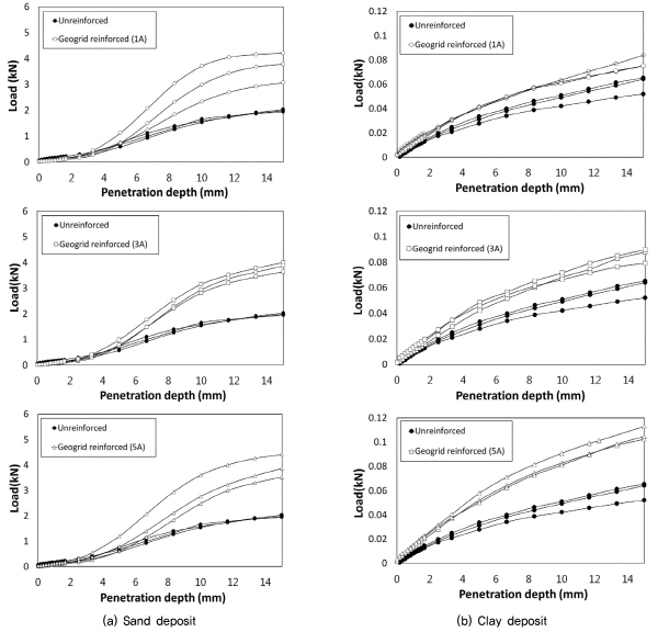
Fig. 8은 모래지반과 점토지반에서 지오그리드 포설면적에 따른 관입 실험 결과를 나타내며, 각 조건 별 3번의 실험을 통해 각각의 조건에서 발생하는 지지력 특성을 확인하고자 하였다. 우선 모래지반과 점토지반에서 지오그리드를 표면에 포설하게 되면 무보강 지반에 비해 지지력이 크게 증가하는 것을 확인할 수 있다. 또한 모래지반과 달리 점토지반에서는 포설면적이 증가함에 따라 지지력 보강효과가 증가하여 더 넓은 보강면적을 포설하였을 때, 더 큰 지지력을 나타내는 것을 알 수 있다. 점토지반에서 발생하는 지지력과 달리 모래지반에서 발생하는 지지력은 초기에 낮은 기울기로 지지력이 증가하다가 5mm 관입 깊이에서부터 점점 기울기가 증가하게 되어 일반적인 관입 실험결과와 같은 경향으로 증가하게 된다. 초기에 발생하는 이 현상은 모래지반 시료조성 시 형성된 이완영역의 압축에 의해 발생하는 오차로서 Bedding error로 판단된다.
Fig. 9은 모래지반과 점토지반에서 지오그리드 보강에 따른 지지력 증가비(BIR) 분포를 나타낸다. 일반적으로 지반 내에 지오그리드와 같은 토목섬유를 포설하게 되면 지오그리드 포설면적이 증가함에 따라 지반과 토목섬유 간의 마찰 면적이 커지기 때문에 마찰력과 지지력이 증가하여 BIR이 증가하게 된다. 그러나 모래지반 표면에 포설(Fig. 9(a))하였을 때에는 포설면적 증가에 따른 BIR의 증가 경향이 크게 나타나지 않고 포설면적에 상관없이 무보강 지반과 비교하여 35.49~55.21%의 지지력이 증가효과를 나타낸다. 이는 표면 포설시 지오그리드의 포설면적이 인공어초 모형의 하부 면적보다 큰 경우, 관입이 진행되면서 하중 작용부 이외의 각 모서리 부분들이 지면에서부터 떨어짐에 따라(Fig. 10(a)) 지반과 토목섬유 사이의 마찰력이 발생하지 않았기 때문이다. 따라서 하중 작용부에 포설된 지오그리드의 보강효과 이외의 포설면적의 증가에 따른 추가적인 지지력 보강효과가 크게 나타나지 않았다. 그러나 이러한 현상은 Fig. 10(b)와 같이 지오그리드의 각 모서리 부분을 지반과 고정할 수 있는 고정수단을 추가하여 지속적으로 지반과 마찰할 수 있게 함으로써 해결할 수 있으며, 지오그리드를 모래지반에 고정하게 되면 포설면적의 증가에 따라 54.90~77.52%의 지지력 증가효과가 나타나는 것을 알 수 있다(Fig. 9(a)).
점토지반의 표면에 지오그리드를 포설한 경우, 점토지반 자체의 지지력이 크지 않아 무보강과 보강 시의 지지력이 모래의 지지력에 비해 작은 값을 나타낸다. 포설면적의 증가에 따라 12.70~45.53%의 지지력 보강효과가 나타나며, 고정수단 추가 시 34.34~47.56%의 지지력 증가효과가 나타나게 된다(Fig. 9(b)). 특히 점토지반에서의 BIR이 모래지반에서의 BIR에 비해 작게 관측되는데, 이는 다음과 같은 토목섬유의 지반보강 메커니즘과 관련이 있다. 일반적으로 토목섬유는 포설된 지반에서 하중이 작용할 때 입자의 이동을 저지하여 입자간의 맞물림(Interlocking) 현상을 일으킬 뿐만 아니라 지반과 토목섬유 사이의 마찰저항(Frictional resistance)을 증가하여 지지력을 보강하는 역할을 수행한다. 그러나 카올리나이트와 같은 입경이 매우 작은 점토지반의 경우 토목섬유가 입자의 운동을 충분히 저지하지 못하여 입자간 맞물림 현상이나 마찰저항이 발생하지 못하게 된다(Abdi et al., 2009). 따라서 본 연구에서 조성된 점토지반에서 모래지반에 비해 더 작은 지지력 보강효과가 나타나게 되는 것이다.
| |
Fig. 8. Load-penetration depth curves at sand and clay deposits | |
| |
Fig. 9. BIR with different spreading area of geogrid | |
| |
Fig. 10. Deformed shape of geogrid during penetration | |
| |
Fig. 11. Time-settlement curves of artificial reef on sand deposit | |
실내 대형 토조 실험에서는 각각의 지반에 대해서 3단계 하중조건을 재하하여 실험을 수행하였다. 이 때 사용된 하중조건은 실제 해역에 사용되는 사각어초의 무게(3.4t)를 상사법칙에 따라 실내 스케일로 축소(430g)하였으며, 인공어초 2개, 4개, 8개가 하나의 인공어초 위에 추가 적재된 상황을 나타내고자 하였다.
Fig. 11 및 Fig. 12는 하중이 작용함에 따라 발생하는 모래지반과 점토지반에서 인공어초 모형의 침하량을 나타내고 있다. 모래지반에서 발생하는 침하의 경우(Fig. 11 (a), (b)), 하중이 작용함과 동시에 발생하는 탄성침하가 주를 이루고 있으며, 침하량 자체도 점토지반에 비해 크지 않은 것을 알 수 있다. 모래지반의 경우 탄성침하가 주를 이루어 100초 이후에는 침하량이 크게 변하지 않았기 때문에 100초 동안의 침하를 관측하였다. 점토지반에서 발생하는 침하의 경우(Fig. 12 (a), (b)) 탄성침하도 발생하게 되지만 시간의존적인 압밀침하가 주를 이루며 모래지반에 비해 큰 침하가 발생하는 것을 알 수 있다. 점토지반의 경우 일반적인 압밀시험과 같이 재하이후 24시간 동안 침하를 관측하였다.
Fig. 13은 각각의 지반에서 각 하중단계에 따른 최대 침하량을 그래프로 나타낸 것이며, 지오그리드 보강에 의해 침하량이 확연히 감소하는 것을 확인할 수 있다. 이를 정량적으로 평가하기 위해 Fig. 14에 SRR 그래프를 도시하였다. 두 지반 모두 하중이 증가함에 따라 침하 저감비가 감소하는 경향을 나타내고 있다. 하중이 증가함에 따라 침하 저감비는 감소하지만, 모래지반에서는 지오그리드 보강 시 29.45~65.85%의 침하 저감 효과가 나타나며, 점토지반에서는 27.25~47.71%의 침하 저감 효과가 나타났다. 모래지반과 점토지반에서의 보강효과는 관입 실험결과와 같은 경향을 나타낸다. 토목섬유의 포설로 인해 토목섬유와 지반 그리고 지반끼리의 마찰력이 작용하여 입자간의 맞물림 현상과 토목섬유의 마찰저항이 증가하여 침하가 저감되었다. 전단강도가 낮은 점토지반의 경우에도 지오그리드의 강성자체로 인하여 지지력 보강과 침하 저감 효과가 나타났다.
| |
Fig. 12. Time-settlement curves of artificial reef on clay deposit | |
| |
Fig. 13. Settlement with loading conditions | |
| |
Fig. 14. SRR with loading conditions | |
결론적으로 지오그리드와 같은 토목섬유를 인공어초의 하부지반의 표면에 포설하게 되면 하부지반과 토목섬유 사이의 마찰력과 지오그리드의 강성으로 인해 하부지반의 지지력을 증가시키며, 이에 따라 지반의 안정성이 증가되어 인공어초와 같은 해저에 구조물을 설치 시 침하를 저감하는 효과를 가질 것이라 판단된다. 그러나 관입 실험과 실내침하실험의 결과는 몰드의 구속효과, 크기효과, 상사효과로 인해 현장적용 결과와 차이가 날 수 있기 때문에 추후 현장 적용을 통한 실제 침하 저감 효과에 대한 추가적인 분석이 필요할 것으로 판단된다.
4. 결 론
본 논문에서는 인공어초의 침하를 저감시키기 위해 인공어초 하부지반에 토목섬유인 지오그리드를 보강하였다. 포설면적에 따른 지지력 보강효과를 확인하기 위하여 관입 실험을 수행하였고, 표면 포설에 따른 침하 저감 효과를 파악하기 위하여 실내 대형 토조 실험을 수행하였다. 실험결과를 통해 얻은 결론은 다음과 같다.
(1)모래지반에서 토목섬유가 포설되는 면적이 증가하더라도 BIR은 유사한 값을 나타내었지만, 토목섬유의 각 모서리 부분을 고정하는 고정수단을 추가하게 되면 포설면적의 증가에 따라 BIR 또한 증가하였다. 그러나 점토지반에서는 고정수단의 추가 없이도 토목섬유의 포설면적의 증가에 따라 BIR이 증가하였으며, 고정수단의 특별한 효과는 나타나지 않았다. 모래지반에서 발생한 지지력을 무보강 지반과 비교하였더니 35.49~55.21%의 지지력 증가효과가 나타났으며, 고정 수단을 추가하게 된다면 54.90 ~77.52%의 지지력 증가효과가 나타나는 것이 확인되었다. 점토지반에서는 12.70~45.53%의 지지력 증가효과가 나타났으며, 고정수단 추가 시 34.34~47.56%까지 지지력 증가효과가 나타났다.
(2)인공어초 하부에 지오그리드 보강 시 모래지반에서는 29.45~65.85%의 침하 저감 효과가 나타났으며, 점토지반에서는 27.25~47.71%의 침하 저감 효과가 나타났다. 모래지반과 점토지반에서 지오그리드 보강에 의해 인공어초의 침하량은 확연히 감소하지만, 상재하중이 증가함에 따라 침하 저감비는 감소하였다.
(3)인공어초 하부에 포설된 지오그리드는 하부지반과 지오그리드 사이의 마찰력과 지오그리드의 강성으로 인해 지반의 지지력을 증가시켰으며, 이에 따라 지반의 안정성이 증가되어 인공어초의 침하를 저감시켰다.
















