1. 서 론
2. 속도의 PSI(Power Spectrum Intensity)
3. 속도의 PSI의 거동
3.1 속도의 PSI와 침하량 상관관계
3.2 지속시간에 따른 속도의 PSI 거동
3.3 가속도 크기에 따른 속도의 PSI 거동
4. 속도의 PSI를 이용한 차트식 내진진단시스템 사례
5. 수치해석을 이용한 케이슨식 안벽의 내진안정성 평가
5.1 수치해석 개요
5.2 해석결과
6. 결 론
1. 서 론
더이상 우리나라도 지진 안전 국가라고 할 수 없다. 경주 지진이나 포항 지진과 같은 규모 5.4의 지진이 발생하였고, 기상청의 연도별 국내 지진 발생 추이 그래프에 따르면 지진 발생 횟수가 증가하고 있는 추세이다(Fig. 1). 이런 가운데 2017년 11월 15일 14시 29에 발생한 포항 지진은 규모 5.4로 구조물 붕괴와 도로 및 항만시설의 균열을 발생 시켰다. 특히, 영일만 항의 케이슨식 안벽에서 Fig. 2와 같은 균열 및 침하 피해사례가 발생하였다. 안벽은 해안에 설치되는 구조물인 만큼 침하시 월류될 가능성이 있기 때문에 구조물의 기능 유지를 위해 침하에 유의해야 한다.

Fig. 1
Domestic earthquake occurrence trend graph by year (Seismological annual report by Korea Meteorological Administration, 2020).
국외의 경우 1995년 1월 17일 오전 5시 46분에 발생한 규모 7.3의 효고현 남부 지진 시 고베항의 많은 방파제가 2m 이상 침하한 사례가 있었고(Inatomi et al., 1995), 2000년 10월 6일 13시 30분에 발생한 규모 7.3의 돗토리현 서부 지진에서는 진원에 비교적 가까운 항구를 중심으로 항만 시설에 최대 70cm 침하가 발생하였다(Iai et al., 2001). 이러한 피해사례를 보았을 때, 해안 구조물이 지진에 의해 얼마나 침하하고 변형되는지 파악하여 기능을 유지할 수 있도록 해야한다. 하지만, 2006년 3월에 해안 사업을 소관하는 부처에서 일본 전국의 해안 제방의 상황 조사를 실시한 결과, 전국에서 약 60%가 해안 제방의 내진성 조사를 실시하지 않은 상황이라는 결과가 나타났다(Akira and Naohrio, 2011). 이는 일본 해안제방의 연장이 광범위하며 다양한 구조형식을 가지고 있기 때문이다. 무엇보다 지진 후 시설의 변위를 계산하기 위해서는 2차원 유효응력해석에 의한 지진 응답 해석을 실시할 필요가 있어, 방대한 시간과 비용, 고도의 동적 해석의 전문 지식이 필요하기 때문이다. 따라서 긴키 지방 정비국 고베항만 공항 기술 조사 사무소에서는 지진 발생 시 구조물의 변위량을 산정하고 지진에 대한 위험성이 높은 구조물만을 간단하고 빠르게 추출할 수 있는 차트식 내진 진단 시스템을 개발하였다(Atsushi, 2015).
국내의 경우 Kim et al.(2013)은 부산 및 인청한만의 잔교식, 케이슨식, 부벽식, 블록식 안벽을 기능수행수준 및 붕괴방지수준에 대하여 변위기반 지진취약도 해석을 수행하였고 해석결과를 다른 항만의 안벽에도 적용할 수 있도록 회귀분석을 실시하였다. Kim et al.(2004)은 Newmark 강성블럭 해석개념을 이용하여 지진시 발생 과잉간극수압에 따른 벽체 작용력의 변화를 고려하여 중력식 안벽의 지진변위를 산정할 수 있는 새로운 변위모델을 제안하였다. 이처럼 해안구조물의 수평변위 및 수직변위를 간단하게 예측할 수 있는 간편법에 대한 연구는 미비한 실정이다. 따라서 국내에서도 적용할 수 있도록 단시간에 쉽고 간단하게 해안구조물의 침하량을 파악할 수 있는 연구가 필요할 것으로 보인다.
2. 속도의 PSI(Power Spectrum Intensity)
PSI(Power Spectrum Intensity)값은 지진동의 강도를 평가하는 지표 중 하나이다. Nozu and Iai(2001)에 의해 정의되고 항구 구조물의 변형량을 추정하는데 사용하는 평가 지표이다. 본 연구에서 사용하는 “속도의 PSI”는 지진동 강도의 지표를 나타내는 최대가속도, 최대속도, 가속도의 PSI 등과 같은 지표 중 하나이며, 지속시간과 진동수의 영향을 고려할 수 있어 침하량 및 수평변위와의 상관관계가 높은 지표이다. Fig. 3(a)와 같은 가속도 파형을 주파수 영역에서 적분하여 Fig. 3(b)와 같이 속도 파형으로 나타낸다. 그리고 속도의 PSI는 그 속도 파형으로부터 제곱 적분값의 제곱근으로 정의되며, Fig. 3(c)와 같이 나타내어진다.
속도의 PSI 산출식은 식 (1)과 같다(Nozu and Iai, 2001).
여기서, v(t)는 속도(cm/s)를 나타낸다.
3. 속도의 PSI의 거동
3.1 속도의 PSI와 침하량 상관관계
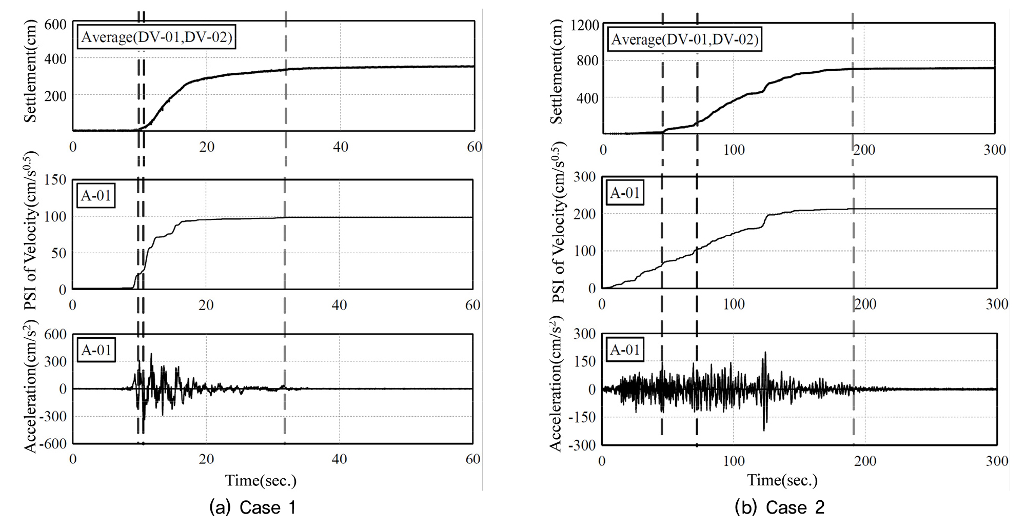
Fig. 4와 같이 1/20 축척으로 모형시험을 수행하였다. 케이슨 아래 기초사석은 직경 13mm~20mm의 쇄석 5번(砕石5号)을 기초지반은 직경 약0.3mm의 규사 6번(珪砂6号)을 사용하였다. Fig. 5는 수평가속도(cm/s 2), 속도의 PSI(cm/s 0.5), 그리고 안벽의 침하량 관계를 나타내고 있다. 그림에 나타낸 바와 같이 두 그래프 모두 Case 1(효고 남부지진파)과 Case 2(난카이 트로프 지진에 상응하는 Mw9.0의 시나리오 지진파) 의 수평가속도가 발생할 때 안벽의 침하량 변화와 속도의 PSI의 변화가 서로 유사한 형태를 보이는 것을 확인할 수 있다(Ohya et al., 2013).
Fig. 6(a)에서는 입력 최대가속도와 케이슨 안벽의 침하량의 관계를 나타내고 있다. 일반적으로 최대가속도가 증가할수록 침하량도 커질 것이라고 생각하기 쉽지만, 최대가속도가 증가할수록 침하량은 작아지는 경향을 보이기도 한다. 반면에 Fig. 6(b)에서는 속도의 PSI가 증가하면 케이슨식 안벽의 침하량도 증가하는 것을 볼 수 있다(Ohya et al., 2013).
또한, Fig. 7은 입력 지진동의 최대가속도 및 최대속도, 가속도의 PSI 및 속도의 PSI와 안벽의 수평 잔류변위와의 상관관계를 나타낸 것이다. 그림에 나타낸 바와 같이 속도의 PSI와 안벽의 잔류 수평변위와의 상관관계가 액상화 또는 비액상화 지반에서 각각 0.875, 0.903으로 가장 높은 것을 알 수 있다(Nozu and Iai, 2001).

Fig. 7
Relationship between PSI of maximum acceleration, maximum acceleration, PSI of velocity and horizontal displacement of quay walls (Nozu and Iai, 2001).
따라서 지속시간이나 진동수의 영향을 고려할 수 없는 최대가속도 보다 전체 기간에 대해 적분하여 지속시간과 진동수의 영향을 고려할 수 있는 속도의 PSI가 침하량 및 수평변위와의 상관관계가 높으므로 케이슨식 안벽의 변위에 대한 지진동의 강도를 나타내는 지표라고 할 수 있다(Nozu and Iai, 2001; Ohya et al., 2013; Nishikiori et al., 2020).
3.2 지속시간에 따른 속도의 PSI 거동
Fig. 8은 50cm/s 2 크기의 동일한 입력 가속도에 대해 지속시간을 10초, 20초, 40초로 증가시켜 속도의 PSI의 변화를 나타낸 것이다. 그림에 나타낸 바와 같이 지속시간이 증가함에 따라 속도의 PSI 최대값은 각각 25, 35, 49(cm/s 0.5)로 증가함을 알 수 있다.
3.3 가속도 크기에 따른 속도의 PSI 거동
Fig. 9은 입력가속도 크기를 100cm/s 2, 150cm/s 2, 200cm/s 2로 증가시킬 때 속도의 PSI의 변화를 나타낸 것이다. 그림에 나타낸 바와 같이 입력가속도 크기가 증가함에 따라 속도의 PSI 최대값은 각각 49, 74, 99cm/s 0.5로 증가함을 알 수 있다.
4. 속도의 PSI를 이용한 차트식 내진진단시스템 사례
속도의 PSI를 이용한 중력식 안벽의 내진 안정성 평가식은 Fig. 10과 같이 중력식 방파제를 기본으로 제안되었다.
기존 중력식 방파제의 침하량 산출식에 대한 보정계수와 적용 범위를 다음과 같다(Sone et al., 2012).
1) 속도의 PSI에 의한 침하량 산출식은 다음과 같다.
2) 마운드 천단폭에 관한 보정계수 b 1은 다음 식과 같다.
여기서, y는 보정계수, x 1는 천단폭(m)이다.
3) 마운드 높이에 관한 보정계수 b 2는 다음 식과 같다.
여기서, y는 보정계수, x 2는 마운드 높이(m)이다.
4) 구배에 관한 보정계수 b 3는 다음 식과 같다.
여기서, y는 보정계수, x 3는 구배이다.
5) 기초지반 두께에 관한 보정계수 b 4는 다음 식과 같다.
여기서, y는 보정계수, x 4는 속도의 PSI(cm/s 0.5) 이다.
6) 수심에 관한 보정계수 b 5는 다음 식과 같다.
여기서, y는 보정계수이다.
7) 기초지반의 N치에 관한 보정계수 b 6는 다음 식과 같다.
- 속도의 PSI 0(cm/s 0.5)이상 45(cm/s 0.5)이하
- 속도의 PSI 45(cm/s 0.5)초과 90(cm/s 0.5)이하
- 속도의 PSI 90(cm/s 0.5)초과 180(cm/s 0.5)이하
여기서, y는 보정계수, x 6는 기초지반의 등가N치이다.
8) 속도의 PSI에 관한 보정계수 b 7는 다음식과 같다.
여기서, y는 보정계수, x 7는 속도의 PSI(cm/s 0.5) 이다.
9) 방파제 중량에 관한 보정계수 b 8는 다음 식과 같다.
- 속도의 PSI가 45(cm/s 0.5) 미만
- 속도의 PSI가 90(cm/s 0.5) 이상
여기서, y는 보정계수, x8는 단위면적당 방파제중량(kN/m 2)이다. 속도의 PSI값이 45~90(cm/s 0.5)의 사이일 때는 각각의 보정계수를 선형보간한 값을 사용한다.
10) 제방과 사석의 차이에 관한 보정계수 b 9는 다음 식과 같다(Sone et al., 2012).
여기서, y는 보정계수이다.
11) 기준침하량에 관한 보정계수 Sr은 다음 식과 같다(Atsushi, 2015).
5. 수치해석을 이용한 케이슨식 안벽의 내진안정성 평가
5.1 수치해석 개요
본 연구에서는 FLIP Consortium에서 개발한 지반수치해석 프로그램인 FLIP(Finite element analysisi program of Liquefaction Process)을 이용하였다. FLIP은 유한요소법 기반의 지반 진동에 의한 지반-구조물 동적상호작용 거동 해석 프로그램으로 Lee et al.(2018), Kim et al.(2019)등 많은 연구에 사용되고 있으며, 주로 지반 진동에 의한 액상화 현상의 피해 및 해안구조물의 피해 예측에 널리 이용된다.
흙에 대한 유효응력모델은 다중단순 전단메커니즘모델을 이용하고 이 모델의 원형고정경계는 Fig. 11과 같이 전단변형영역과 무한개의 가상스프링 경계의 연결로 정의되는 이동절점으로 나타내며 각 스프링은 다양한 방향을 가지는 실제 다중단순 전단메커니즘이라 할 수 있고 이를 통해 흙의 탄소성 거동을 모사한다(Iai et al., 1992a, 1992b).
본 연구에서 수치해석 시 적용한 수치해석 단면은 인천항 국제여객부두 케이슨식 안벽 단면을 토대로 하였으며, Fig. 12와 같이 나타내었다. 모델의 크기는 가로, 세로 각각 156m, 26m이며, 전체 요소수는 1763개, 절점수는 1199개이다. 흙 요소의 경우 Silty sand와 Sedentary deposit은 Multi-spring model을 사용하였고, 선형평면 요소로 케이슨이 사용되었으며, 유체 요소로 바다를 사용하였다. 또한, 과잉간극수압의 발생을 현실화하기 위해 Iai모델(Iai et al., 1992a)을 사용하여 2차원 유효응력해석을 진행하였다. 2차원 유효응력해석시 실제 액상화가 발생하는 층을 대상으로 하기 때문에, 암반으로 구성된 Sedentary deposit 하부의 비액상화 층은 무시하였다. 그림에 표시한 절점 N 1은 케이슨 상부선단을 나타내는 점으로, 지반 지진동 시 케이슨의 침하량을 산정하기 위한 출력 절점이다. 케이슨 상부 선단부가 지진 시 변위량이 가장 많은 지점이기 때문에 절점 N 1에서 침하량을 산정하였다. 또한, 수치해석 단면의 양단은 자유지반경계조건을 통해 무한으로 확장하였으며, 경계면에서의 응력집중이나 반사파의 영향을 최소화하기 위해 경계조건은 점소성으로 설정하였다.
본 연구에 적용된 입력 지진가속도는 Sine파로, Fig. 13과 같다. 실제 지진파의 경우 진폭과 지속시간 외에 파악하기 어려운 외부특성이 포함되어 있다. 반면에, Sin파의 경우 순수하게 진폭과 지속시간만을 고려할 수 있고 진동수의 영향 등을 배제할 수 있기 때문에 본 연구에서는 주파수 1.25Hz, 주기 0.8의 Sin파를 이용하였다. 국내 최대 규모의 지진인 경주 지진과 포항 지진의 경우 지진의 지속시간이 10초 이내이며 속도의 PSI는 10cm/s 0.5 이하로, 국내 지진의 경우 속도의 PSI 90cm/s 0.5 이내로 설정하여 연구를 진행하였다. 따라서 이를 포함하는 범위인 입력파의 지속시간은 40초, 입력가속도 크기 200cm/s 2 이내의 Sin파를 이용하여 수치해석을 수행하였다.
지반정수의 경우 Table 1과 같이 2012년 인천항 정밀점검 및 정밀안전진단보고서를 참고하였다. Table 2는 Fig. 11의 액상화 프론트와 관련하여 과잉간극수압의 증가에 의한 유효응력의 소실을 모사하는 액상화 관련 입력변수(Iai et al., 1992b)를 나타내고 있으며, 실트질모래의 경우 N치를 5, 10, 15, 20, 25로 가정하였고, 풍화토는 N치를 20으로 가정하였다. Shear Lock problem(WG, 2009)의 간편법을 통해 N치, 유효상재압, 세립분율 표준관입시험치(N치)에 따른 배후지반의 액상화 입력변수를 산정하였다.
Table 1.
Soil parameters on Incheon port report (Precise Safety Diagnosis Report of Incheon Port, 2012)
Table 2.
Liquefaction parameters of silty sand and sedentary deposit
5.2 해석결과
5.2.1 간편법과 수치해석 결과 비교
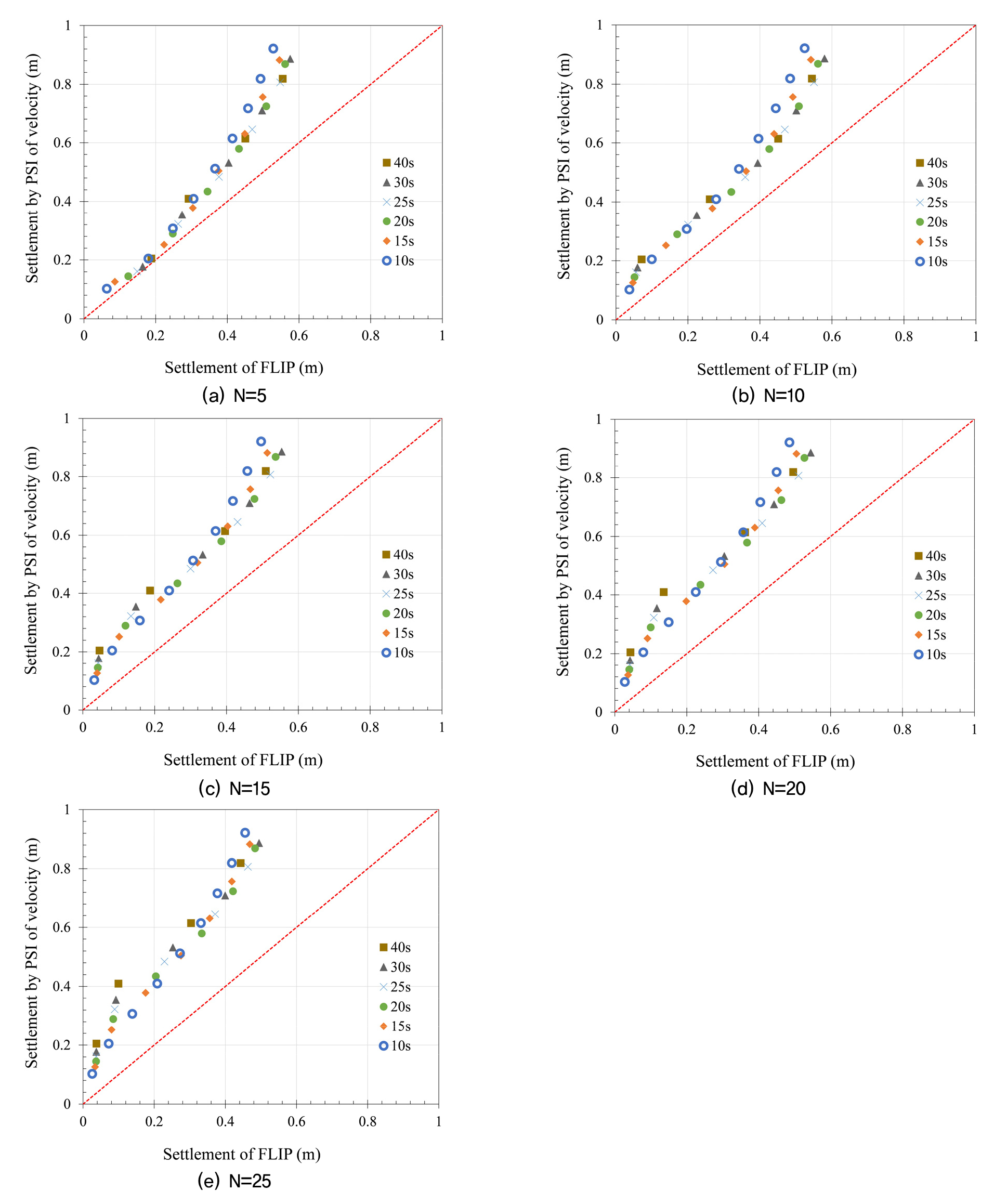
속도의 PSI를 활용한 간편법으로 산출한 케이슨식 안벽의 침하량과 수치해석을 통해 배후지반 N치에 따른 침하량을 비교하기 위해 Fig. 14와 같은 그래프로 나타내었다. 그래프는 동일한 지속시간동안 수치해석에 의한 침하량과 속도의 PSI를 활용한 간편법에 의한 침하량을 입력가속도 크기별로 비교하여 나타내었다.
속도의 PSI에 의한 간편법 침하량과 수치해석에 의한 침하량 비교분석 결과, 변형량이 많아질수록 오차가 증가하고 배후지반의 N치가 커짐에 따라 오차가 커지는 경향이 있음을 확인하였다. 이는 속도의 PSI에 의한 간편법 활용 시 기본 모델을 방파제를 대상으로 하여 외측과 내측이 해수로 되어있어, 연구대상인 케이슨식 안벽의 배후지반에 대해 고려할 수 없었기 때문이라고 판단되었다. 따라서 케이슨식 안벽의 침하량 산정 시 배후지반 N치에 따른 추가 보정에 관한 연구를 진행하였다.
5.2.2 보정계수 제안
간편법과 수치해석 결과분석을 통해 정확도 향상을 위한 배후지반의 N치에 따른 보정계수가 필요할 것으로 판단되었다. 따라서 반복수행과 회귀분석을 통해 이에 대한 보정계수로써 b10을 다음 식 (13)과 같이 제안하였다.
- 속도의 PSI가 45(cm/s 0.5)미만인 경우
- 속도의 PSI가 45(cm/s 0.5) 이상이고 90이하인 경우
여기서, y는 보정계수, x는 배후지반의 등가N치이다.
최종적으로 배후지반을 고려한 케이슨식 안벽구조물의 침하량 산출식은 식 (14)와 같다.
단, 케이슨식 안벽구조물의 침하량 산정 시 기준침하량(Sr)은 1m로 한다.
5.2.3 보정계수 적용 후 간편법과 수치해석 결과 비교
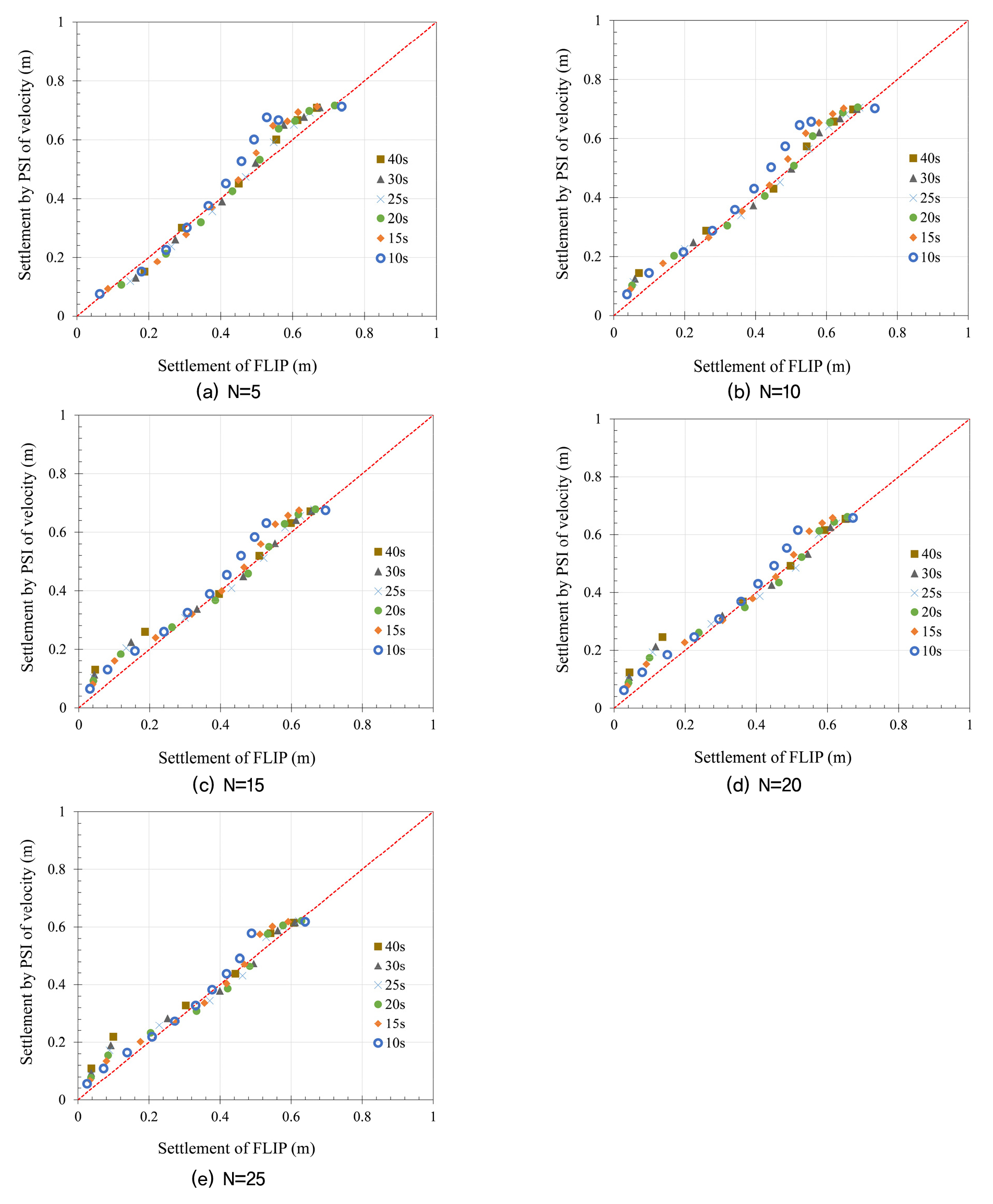
Fig. 15는 뒤채움의 N치가 각각 5, 10, 15, 20, 25일 때 배후지반 N치에 대한 보정계수를 적용한 간편법 침하량과 수치해석에 의한 케이슨식 안벽의 침하량을 비교한 것이다. 동일한 지속시간동안 수치해석에 의한 침하량과 속도의 PSI를 활용한 간편법에 의한 침하량을 입력가속도 크기별로 비교하여 나타내었다.
보정계수 적용 후 배후지반 N치에 의해 생겼던 큰 오차는 확연하게 줄어들었으나, N치가 작거나 지속시간이 짧은 경우에 변형량이 많아질수록 생기는 오차는 보정계수 적용 전보다 줄었지만 여전히 약간의 오차를 보이고 있다. 또한, N치가 커지거나 지속시간이 긴 경우, 약 30cm 내의 침하량에 대해 최대 5cm 정도의 오차가 발생하는 것으로 보인다. 하지만, 그 외에 결과값에 대해선 높은 정밀도를 보이고 앞서 배후지반을 고려하지 않았을 때의 결과에 비해 약 70cm의 침하량까지 정확도가 향상된 것으로 판단되었다.
6. 결 론
본 연구는 속도의 PSI를 활용하여 케이슨식 안벽구조물의 침하량을 간편하게 예측하기 위한 간편법 제안을 목적으로 진행되었다. 따라서 속도의 PSI를 구하고, 이를 통해 기존 중력식 방파제의 간편법에 의한 침하량을 산정하고 수치해석에 의한 침하량을 비교 분석하였다. 비교 분석을 통해 배후지반의 N치에 따른 보정계수를 제안함으로써 오차 발생에 대한 문제점을 보완하였다. 결론은 다음과 같다.
(1) 기존 중력식 방파제의 간편법과 수치해석 비교 분석 결과, 기존 연구 모델인 양면이 바다로 둘러싸인 중력식 방파제에 대한 간편법으로 케이슨식 안벽의 침하량 산정에 한계가 있음을 확인할 수 있었다. 따라서 2차원 유한요소해석을 통해 배후지반의 N치에 따라 침하량을 산정하고, 이에 따른 보정계수 식을 제안하였다.
(2) 배후지반 N치에 따른 보정계수 적용 후 간편법과 수치해석 비교 분석 결과, 속도의 PSI 90cm/s 0.5 이하의 침하량에 대해 간편법과 수치해석 결과가 0.7m 이내의 침하량에 대해 정밀도가 높아짐을 확인하였다.
(3) 제안된 간편법을 통해 케이슨식 안벽의 침하량 예측의 가능성을 확인하였고, 제안된 간편식을 통해 관리자 측면에서 신속하고 개략적인 예측 및 보고를 수행 할 수 있을 것이라 사료된다. 단, 정확도 향상을 위해서는 다양한 단면, 지층, 지진가속도 등에 대해 추가적인 연구가 필요할 것으로 판단된다.
또한, 본 연구의 케이슨식 안벽의 간편식의 보정계수(b 1 ~ b 9)의 적용방법이 기존 중력식 방파제의 간편식에서의 보정계수 선정방법과 같다는 가정하에 N치에 대한 새로운 보정계수(b 10)를 제안한 것으로 향후 수평변위에 대한 연구도 필요할 것이다.















