1. 서 론
2. 사질토 지반의 현장타설말뚝 주면마찰력 산정 방법 고찰
2.1 O’Neil and Reese(FHWA (1999))
2.3 KDS(2021)
2.4 구조물기초설계기준해설(KGS, 2018)
3. 모래 자갈층 및 자갈층에 근입된 현장타설말뚝 설계 주면마찰력과 시험 주면마찰력
3.1 지반조건
3.2 산정식에 의한 설계 주면마찰력
3.3 재하시험 및 하중전이 시험에 의한 시험 주면마찰력
4. 설계 산정식에서의 주면마찰력과 시험에서의 주면마찰력 비교
5. 결론 및 제언
제목1
지속적인 도심지 인구유입 현상은 거주지 부족 현상과 지가 상승을 이끌고 있다. 이러한 문제를 해결하기 위해 초고층 주거용 건물, 주상복합 건물 등의 건설이 세계적으로 활발히 이루어지고 있다. 상부 구조물의 규모가 커짐에 따라 말뚝에 작용하는 하중이 증가하였고, 큰 상부하중을 견디기 위해 대구경의 기성말뚝 또는 현장타설말뚝의 사용이 활발해지고 있다.
국내·외 설계기준들은 현장타설말뚝의 주면마찰력을 말뚝이 위치하고 지반에 따라 점성토 지반, 사질토 지반, IGM(Intermediate Geo-Material) 및 암반으로 구분하여 주면마찰력을 산정하도록 규정하고 있으며 주면마찰력을 결정하는 주요 요소로는 지반의 비배수 전단강도, N값, 일축압축강도, 암질상태 등이다. 그리고 사질토 지반에서 발현되는 주면마찰력 산정 방법으로는 재하시험을 수행하여 얻은 단위주면마찰력과 N값과의 상관성 분석을 통해 얻은 관계계수를 이용한 방법과 N값의 변화, 유효 상재압, 지층 종류, 선행압밀응력 등의 상관관계 분석으로 도출한 β값을 이용한 방법이 있다. 주면마찰력은 이 값들에 해당 지층 중심에서의 유효연직응력을 곱하여 산정할 수 있다.
최근 낙동강 하구, 명지주거단지, 에코델타시티등은 연약 점토층, 모래층, 자갈층이 깊이 구성된 지층의 개발이 활발히 진행되고 있다. 그리고 명지주거단지, 에코델타시티등에 개발되는 많은 구조물이 모래층 및 자갈층에 근입되고 있으나, 모래층 및 자갈층에 근입된 현장타설말뚝에 대한 연구는 미미한 실정으로 FHWA (1999)와 AIJ(2004)의 제안식을 이용하여 주면마찰력을 산정하고 있다. 최근 KDS(2021)에서도 AASHTO(2007)의 현장타설말뚝의 주면마찰력 산정방법을 참조하여 모래층 및 자갈층에 근입된 현장타설말뚝의 주면지지력 산정 방법을 제안하였다. 국내에서도 현장타설말뚝에 대한 연구가 많이 진행었으나, 대부분 풍화암 및 암반에 근입된 사례연구에 국한되어 있다(Song et al., 2013; Hong and Hwang, 2019; Choi et al., 2022).
따라서, 이 연구에서는 국내 6개 현장 직경 1,500~ 2,500mm의 현장타설말뚝 재하시험 자료를 수집하고 분석하였다. 6개 말뚝의 근입심도는 19.7~61.5m 전후이며 모래 자갈층, 자갈층에도 근입되어 있었으며 하중전이시험 결과를 분석하여 해당 지층별 발현되는 주면마찰력을 분석하였다. 그리고 국외기준에서 제시한 β값을 이용한 방법 및 표준관입시험과의 관계계수방법으로 추정한 6개 말뚝의 모래 자갈층 및 자갈층 주면마찰력과 양방향 재하시험 결과를 비교·분석하였다.
2. 사질토 지반의 현장타설말뚝 주면마찰력 산정 방법 고찰
사질토층에서 현장타설말뚝의 주면마찰력은 Fig. 1과 같이 말뚝 주변 흙과 주면장과의 전단저항에 의해 발현되며 주면장에 가해지는 응력에 비례하여 주면마찰력도 증가하게 된다.
사질토층에서의 주면마찰력은 식 (1)과 같이 나타낼 수 있으며, 여기서 Rsn은 공칭주면저항력, D는 말뚝 직경, △z는 주면저항력을 산정할 지층의 두께, fs는 단위 주면저항력, K는 수평토압계수, δ는 흙과 말뚝 사이의 전단저항각(Effective Stress Angle of Friction for the Soil-Shaft Interface)를 뜻한다.
단위 주면저항력은 식 (2)와 같이 유효연직응력, 수평토압계수 및 흙과 말뚝 사이의 전단각과 관계로 식 (3)과 식 (4)로 다시 나타낼 수 있으며, 여기서 β는 주면마찰력계수(Side Resistance Coefficient)이다.
사질토층에서의 현장타설말뚝의 주면마찰력을 식 (4)로 산정할 수 있으며 이러한 방법을 β 방법이라 한다.
2.1 O’Neil and Reese(FHWA (1999))
β 방법은 O’Neil and Reese(FHWA (1999))에서 처음으로 다뤄졌으며 아래 식 (5)와 같다. 사질토층에서 발현될 수 있는 최대 주면마찰력은 200kPa로 제한하고 있으며 표준관입시험 결과(이하 SPT N60)와 흙의 종류로 구분하여 β를 산정할 수 있도록 제시하고 있다.
모래층이고 N60 ≥ 15D/0.3m인 경우, 0.25 ≤ β =1.5-0.245[z]0.5 ≤ 1.20
모래층이고 N60 < 15 D/0.3m인 경우, 0.25 ≤ β =[N60/15]1.5-0.245z0.5 ≤ 1.20
자갈질 모래(Gravelly Sands) 및 자갈층, 0.25 ≤ β =2.0-0.15z 0.75 ≤ 1.80
2.2 일본 건축기초구조설계지침(AIJ, 2004) 및 한국 건축기초설계기준(AIK, 2006)
AIJ(2004)에서는 건축기초구조설계지침에서 표준관입시험 N 값을 기준으로 현장타설콘크리트말뚝의 지지력을 산정하는 방법을 제안하였다. 그 중 사질토층의 극한단위주면찰력은 식 (6)을 이용하여 산정한다.
여기서 : N은 표준관입시험의 값이며 상한 N=50
AIK(2006)에서는 사질토에 근입된 현장타설말뚝의 주면마찰력 산정 방법을 주면마찰력 산정방법을 정리하였으며 AIJ(2004)의 산정방법과 동일하였다.
2.3 KDS(2021)
KDS 24 14 51(2021), 교량하부구조설계기준(한계상태설계법)에서는 사질토에 설치된 현장타설말뚝의 β 방법에 의한 공칭지지력 qs는 다음과 같이 구하며, 최대주면마찰력을 190kPa로 제한하였다.
N60 ≥15 이면 β=1.5-(7.7×10-3)
N60 < 15이면 )
여기서, σν' = 대상층 중간에서 연직유효응력(MPa)
β = 하중전이계수(무차원)
z = 대상층 중간까지 깊이(mm)
N60 = 설계구역 지층의 평균 N값으로서, 해머 효율에 대해서 보정한 값
자갈질 모래층이나 자갈층에 대해서는 N60이 15 이상이라면, 다음 식 (7)을 적용하며, 그 외의 경우에는 식 (8)을 사용한다.
2.4 구조물기초설계기준해설(KGS, 2018)
구조물기초설계기준해설(KGS, 2018)에서는 사질토에 근입된 현장타설말뚝의 주면마찰력 산정방법을 O’Neil&Reese(FHWA, 1999)와 건축기초구조설계지침(AIJ, 2004)의 방법을 제안하고 있다. 구조물기초설계기준해설(KGS, 2018)에서는 FHWA(1999)에 대하여 자갈층에 대한 별도의 제안은 없었다.
3. 모래 자갈층 및 자갈층에 근입된 현장타설말뚝 설계 주면마찰력과 시험 주면마찰력
모래 자갈층 및 자갈층에 근입된 현장타설말뚝의 주면마찰력 산정방법은 대표적으로 KDS(2021), FHWA(1999)이 있으며 사질토의 산정식을 사용하는 AIJ(2004)의 제안 방법이 있다. 본 장에서는 6개의 현장타설말뚝에 대하여 지반조사결과를 바탕으로 자갈층의 주면마찰력을 3가지 방법으로 산정하여 정리하였다.
3.1 지반조건
6개의 사례에 대한 지반조건을 Fig. 2에 나타내었다. Fig. 2에는 현장타설말뚝의 직경과 근입깊이를 함께 나타내었다. 6개중 5개의 사례는 모래 자갈층 및 자갈층이 최소 39.5m 이하에 분포되어 있었고 6개 사례 중 1개 사례는 모래질 자갈층이 7.0m~9.0m에 있으며 자갈층이 9.0m~ 16.0m에 분포되어 다른 사례와 비교하여 비교적 지표에 가까운 위치에 자갈층이 분포되어 있었다.
6개 사례의 말뚝 직경은 1,500mm~2,500mm, 길이는 19.7m~61.5m였으며, 특히 5개의 현장이 54m 이상의 대심도의 현장타설말뚝이었다.
3.2 산정식에 의한 설계 주면마찰력
6개의 사례에 대하여 KDS(2021), FHWA(1999)방법의 자갈층에 대한 주면마찰력 산정 방법과 AIJ(2004) 사질토의 산정방법을 이용하여 모래 자갈층 및 자갈층에 대한 주면마찰력을 산정하여 Table 1에 정리하였다. Table 1에서 각 산정방법에서 제안하는 최대값을 초과하는 주면마찰력은 최대값을 명기하였다.
Table 1.
Side resistance calculated by domestic and foreign design codes
| Soil | Depth (m) | N value (ave.) | Side resistance (kPa) | |||
| FHWA (1999) | KDS (2021) | AIJ (2004) | ||||
| Case 1 | Sandy gravel 1 | 39.5m ~ 49.0m | 43 | 75.8 | 75.8 | 142.0 |
| Sandy gravel 2 | 52.0m ~ 59.5m | 50 | 117.8 | 117.8 | 165.0 | |
| Case 2 | Sandy gravel | 41.2m ~ 49.5m | 50 | 106.3 | 106.3 | 165.0 |
| Gravel | 49.5m ~ 58.8m | 50 | 122.2 | 122.2 | 165.0 | |
| Case 3 | Gravel | 49.0m ~ 57.0m | 50 | 126.3 | 126.3 | 165.0 |
| Case 4 | Sandy gravel 1 | 42.5m ~ 44.5m | 50 | 107.3 | 107.3 | 165.0 |
| Sandy gravel 2 | 49.0m ~ 57.0m | 50 | 76.2 | 87.5 | 165.0 | |
| Case 5 | Gravel | 57.5m ~ 69.5m | 50 | 145.0 | 145.0 | 165.0 |
| Case 6 | Sandy gravel | 7.0m ~ 9.0m | 21 | 104.2 | 97.2 | 69.3 |
| Gravel | 9.0m ~ 16.0m | 46 | 166.0 | 170.6 | 151.8 | |
6개의 사례에 대하여 FHWA(1999)방법에서는 75.8kPa ~166kPa, KDS(2021)방법에서는 75.8kPa~170.6kPa, AIJ(2004) 방법에서는 69.3kPa~165.0kPa로 계산되었다. AIJ(2004) 방법에서는 대부분의 사례가 제안값의 최대값인 165kPa로 산정되었다.
FHWA(1999), KDS(2021)과 AIJ(2004)를 비교하면 Case 1~Case 5까지는 AIJ(2004)가 주면마찰력이 많이 발현되는 것으로 산정되며 그 값은 최대 88.8kPa의 차이를 보였다. Case 6에서는 FHWA(1999), KDS(2021)가 주면마찰력이 많이 발현되는 것으로 산정되었으며 그 차이는 최대 34.9kPa이었다. 산정식에 따라 주면마찰력의 산정 결과가 많은 차이를 보였다.
3.3 재하시험 및 하중전이 시험에 의한 시험 주면마찰력
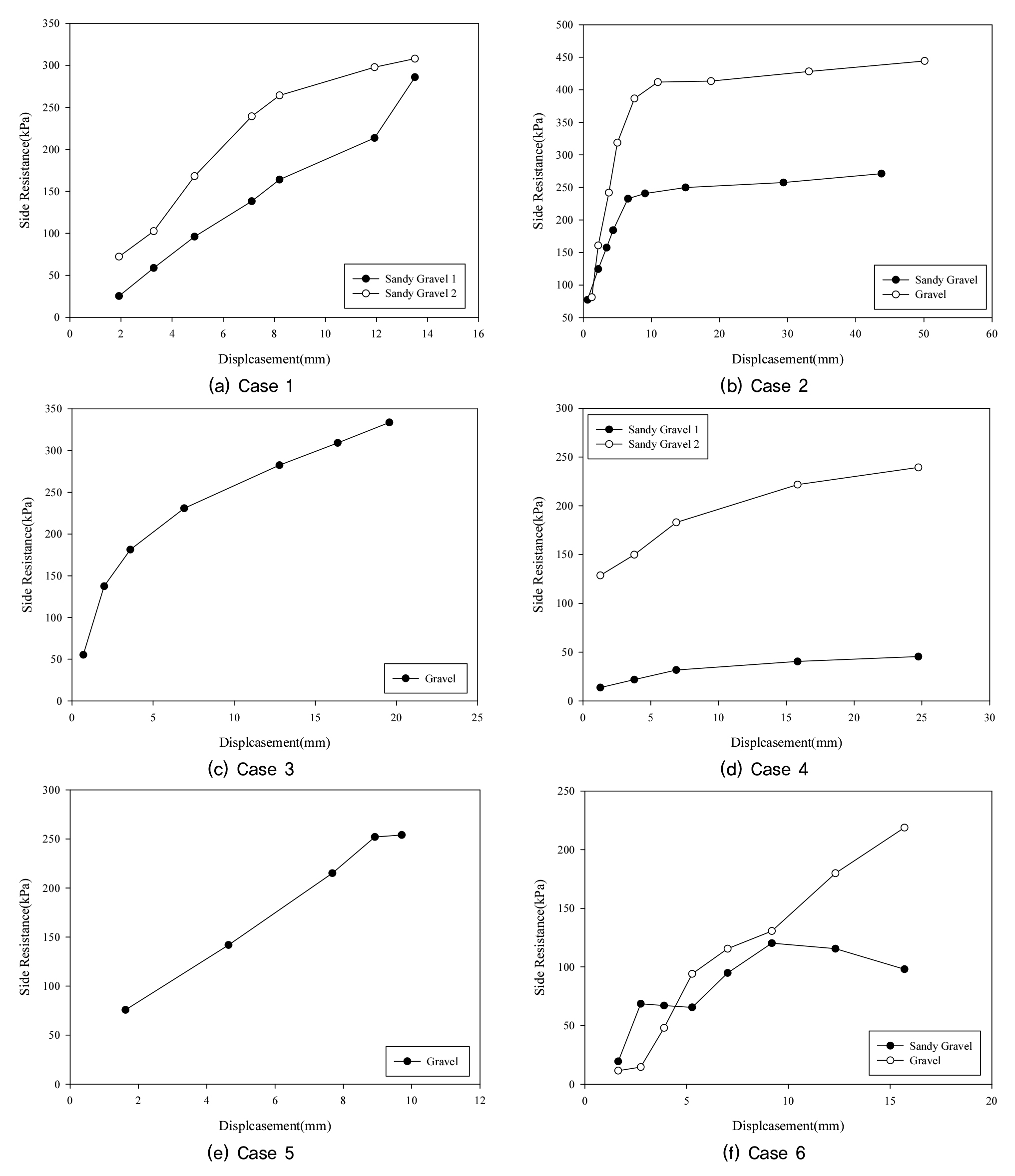
모래 자갈층 및 자갈층에 근입된 현장타설말뚝에서 실시한 6개의 재하시험 결과 및 하중전이시험 결과는 Fig. 3에 나타내었으며, 시험 결과들을 이용하여 모래 자갈층 및 자갈층의 주면마찰력을 분석하였다(OO Geotechnical & Construction Eng., 2005; Hong et al., 2005; OO Construction Testing Institute Co., Ltd., 2009; KSCE, 2020). 6개의 사례 중 5개의 사례는 양방향말뚝재하시험이 실시되었으며 1개의 사례는 정재하시험이 실시되었다.
각 사례의 주면마찰력과 변위와의 관계를 Fig. 4에 나타내었다. Case 1에서 모래 자갈층이 2개의 층이 있었으며 모래 자갈층 1과 2는 각각 최대 200kPa, 299kPa의 주면마찰력이 발현되었다. Case 2에서 모래 자갈층과 자갈층 있었으며 모래 자갈층과 자갈층은 각각 최대 271kPa, 444kPa의 주면마찰력이 발현되었다. Case 3의 자갈층 최대 333kPa의 주면마찰력이 발현되었다. Case 4에서 모래 자갈층은 2개가 있었으며 모래 자갈층1은 하중의 전달이 미미하여 분석에서 제외였으며 모래 자갈층2는 최대 239kPa의 주면마찰력이 발현되었다. Case 5의 자갈층 최대 254kPa의 주면마찰력이 발현되었다. Case 6에서 모래 자갈층과 자갈층 있었으며 모래 자갈층과 자갈층은 각각 최대 120kPa, 218kPa의 주면마찰력이 발현되었다. Fig. 3을 분석하면 Case 2의 모래 자갈층들과 Case 5의 자갈층, Case 6의 모래 자갈층은 극한이 발생하여 최대주면마찰력이 발현된 것으로 판단되었으며 나머지 Case의 지층에서 최대주면마찰력이 발현되지 않은 것으로 확인되었다. 6개의 Case의 9개의 지층을 종합하여 Table 2에 정리하였으며 각 지층의 최소 주면마찰력은 120kPa이었고, 최대 주면마찰력은 444kPa로 분석되었다. 최소 주면마찰력 120kPa은 모래 자갈층으로 다른 지층과 비교하여 지표에서 깊지 않은 곳에 분포하고 있으며 표준관입시험 결과도 N=21으로 지층의 강도가 약한 지층이었다. 이외의 사례에서는 모두 200kPa 이상의 주면마찰력이 발현되었다.
Table 2.
Side resistance of the piles analyzed with the test results
4. 설계 산정식에서의 주면마찰력과 시험에서의 주면마찰력 비교
모래 자갈층 및 자갈층에서의 설계 산정식에 의한 단위주면마찰력과 시험에서의 주면마찰력을 Table 3에 정리하였다. FHWA(1999)에 의한 방법과 시험 결과를 비교하면 산정식에 의한 단위주면마찰력이 시험 결과의 28%~87% 수준으로 나타났으며 평균이 약 47%이었다. KDS(2021)에 의한 방법과 시험 결과를 비교하면 산정식에 의한 단위주면마찰력이 시험 결과의 28%~81% 수준으로 나타났으며 평균이 약 47%이었다. AIJ(2004)에 의한 방법과 시험 결과를 비교하면 산정식에 의한 단위주면마찰력이 시험 결과의 37%~71% 수준으로 나타났으며 평균이 약 57%이었다. 전체적으로 3개의 산정식에 의한 단위주면마찰력은 시험 결과의 28%~87% 수준으로 나타났다. 3개의 산정식 중 FHWA(1999) Case 6의 모래 자갈층에서 87%로 시험결과와 가장 근접한 산정 결과가 나타났으나 평균적으로 약 50%이하로 현장시험 결과보다 저평가하고 있는 것으로 나타났다. 9개의 분석자료 중 극한이 발생한 4개의 자료를 비교한 결과 FHWA(1999), KDS(2021), AIJ(2004)에 의한 단위주면마찰력은 각각 53%, 51%, 55%의 수준으로 시험결과에 50% 정도의 단위주면마찰력인 것으로 나타났다.
Table 3.
Comparison of side resistance calculated using design code and test results
| Soil |
Depth (m) |
N value (ave.) | Side resistance (kPa) | Comparison (%) | Remark | ||||||
| FHWA (1999) (1) | KDS (2021) (2) | AIJ (2004) (3) |
Test result (4) | (1)/(4) | (2)/(4) | (3)/(4) | |||||
| Case 1 |
Sandy gravel 1 |
39.5m ~ 49.0m | 43 | 75.8 | 75.8 | 142.0 | 286 | 27 | 27 | 50 | |
|
Sandy gravel 2 |
52.0m ~ 59.5m | 50 | 117.8 | 117.8 | 165.0 | 299 | 39 | 39 | 55 | ||
| Case 2 |
Sandy gravel |
41.2m ~ 49.5m | 50 | 106.3 | 106.3 | 165.0 | 271 | 39 | 39 | 61 |
Ultimate side resistance |
| Gravel |
49.5m ~ 58.8m | 50 | 122.2 | 122.2 | 165.0 | 444 | 28 | 28 | 37 |
Ultimate side resistance | |
| Case 3 | Gravel |
49.0m ~ 57.0m | 50 | 126.3 | 126.3 | 165.0 | 333 | 38 | 38 | 50 | |
| Case 4 |
Sandy gravel 1 |
42.5m ~ 44.5m | 50 | 107.3 | 107.3 | 165.0 | - | - | - | - |
Excluded in analysis |
|
Sandy gravel 2 |
49.0m ~ 57.0m | 50 | 76.2 | 87.5 | 165.0 | 239 | 32 | 37 | 69 | ||
| Case 5 | Gravel |
57.5m ~ 69.5m | 50 | 145.0 | 145.0 | 165.0 | 254 | 57 | 57 | 65 |
Ultimate side resistance |
| Case 6 |
Sandy gravel |
7.0m ~ 9.0m | 21 | 104.2 | 97.2 | 69.3 | 120 | 87 | 81 | 58 |
Ultimate side resistance |
| Gravel |
9.0m ~ 16.0m | 46 | 166.0 | 170.6 | 151.8 | 218 | 76 | 78 | 70 | ||
Fig. 5에서 3가지의 설계식에서의 주면마찰력과 시험에서의 주면마찰력을 비교하였다. Fig. 5에는 설계식 및 시험에서의 주면마찰력이 동일하게 나오는 선을 작도하여 나타내었다. AIJ(2004)에서 산정된 주면마찰력은 시험의 주면마찰력과 비교하여 저평가하고 있으나 N < 50까지의 지층은 산정된 주면마찰력과 시험 주면마찰력의 비가 일정한 차이를 유지하였다. 하지만 N > 50이상의 강한 지층에서 많은 차이를 보였다. 이는 AIJ(2004)에서 표준관입시험 값을 최대 50으로 제한하여 산정식에 의한 주면마찰력이 N > 50이상은 반영되지 않기 때문이다. FHWA(1999)와 KDS(2021)은 산정된 주면마찰력과 시험 주면마찰력의 비는 일정한 규칙이 나타나지 않는 것으로 판단되었다.
5. 결론 및 제언
낙동강 하구에 퇴적된 모래층, 모래 자갈층, 자갈층이 많이 분포하고 있으며, 최근 낙동강 하구의 개발이 활발히 진행되고 있다. 낙동강 하구에 모래 자갈층과 자갈층에 시공된 6공의 현장타설말뚝을 이용하여 시험 주면마찰력과 현재 사용하는 설계식에서의 주면마찰력을 비교하여 다음과 같은 결론이 나타났다.
(1) 낙동강 하구의 모래 자갈층 및 자갈층이 깊이 분포하고 있으며 FHWA(1999), KDS(2021), AIJ(2004)의 제안식을 이용하여 주면마찰력을 산정하면 6개의 사례에 대하여 FHWA(1999)방법에서는 75.8kPa~166kPa, KDS(2021)방법에서는 75.8kPa~170.6kPa, AIJ(2004) 방법에서는 69.3kPa~165.0kPa로 계산되었다. AIJ(2004) 방법에서는 대부분의 사례가 제안값의 최대값인 165kPa로 산정되었다. 산정식에 따라 주면마찰력의 발현값에 많은 차이가 나타났으며 그 값은 최대 88.8kPa이었다.
(2) 6개의 현장타설말뚝에서 실시된 재하시험 및 하중전이시험을 분석하면 모래 자갈층 및 자갈층의 주면마찰력은 120kPa~444kPa로 나타났다. 120kPa 주면마찰력이 발현된 지층은 모래 자갈층으로 다른 지층과 비교하여 지표에서 깊지 않은 곳에 분포하고 있으며 표준관입시험 결과도 N=21으로 지층의 강도가 약한 지층이었다. 이외의 사례에서는 모두 200kPa 이상의 주면마찰력이 발현되었다.
(3) FHWA(1999), KDS(2021), AIJ(2004)에 의한 방법과 시험 결과를 비교하면 산정식에 의한 단위주면마찰력이 시험 결과에 28%~87% 수준으로 나타났으며, 각각 평균이 약 47%, 47% 57%이었다. 시험 자료 중 극한주면마찰력이 발현된 4개의 지층을 산정식과 비교한 결과 FHWA(1999), KDS(2021), AIJ(2004)는 각각 53%, 51%, 55%로 시험결과에 50% 수준으로 나타났다.
(4) 시험에서의 주면마찰력과 비교하면 FHWA(1999), KDS(2021), AIJ(2004)의 제안식은 모두 저평가되는 결과를 제시하고 있는 것으로 나타났다. 3가지의 산정방법에서 가장 근접한 결과는 AIJ(2004)에서 제시하는 방법이었으나 57%정도로 작게 나타났다. 국내 낙동강 하구에 분포하고 있는 모래 자갈층 및 자갈층의 주면마찰력 산정을 위한 적절한 국내 제안식이 개발되어야 할 것으로 판단되었다.







