1. 서 론
2. 매입말뚝의 지지력 및 침하량 산정 방법
2.1 국내 매입말뚝 공법의 설계 기준
2.2 외말뚝의 침하량 산정 방법
3. 매입개단강관말뚝공법의 정재하시험 자료 분석
3.1 시험말뚝 및 지반주상도
3.2 풍화토에 근입된 매입개단강관말뚝의 정재하시험 자료 분석
3.3 풍화암에 근입된 매입개단강관말뚝의 정재하시험 자료 분석
4. 설계지지력수준에서 하중분담률 및 침하량 분석
4.1 지지력 산정공식으로 계산된 설계지지력
4.2 허용지지력에서 침하량 산정공식으로 계산된 침하량
4.3 재하시험 자료에서 평가된 허용지지력 수준에서 하중분담률 및 침하량 분석
4.4 시험하중 분담률을 적용한 침하량 분석
5. 결론 및 제언
1. 서 론
20세기 이후 경제의 발전과 건설기술의 발전을 통하여 대규모 구조물의 건설이 증가되었으며 이러한 대규모 구조물에는 지반의 지지력을 확보하기 위하여 말뚝기초가 주로 사용되고 있다. 말뚝기초는 기성말뚝과 현장타설말뚝으로 구분할 수 있다. 기성말뚝은 강관말뚝과 PHC말뚝으로 구분할 수 있으며 선단개단말뚝과 선단폐단말뚝으로 시공될 수 있다. 기성말뚝의 시공법은 타입공법과 매입공법으로 나누어진다.
최근 국내에서는 타입공법에서 발생하는 소음, 진동 등으로 인해 매입말뚝공법의 시공이 급속도로 증가하고 있으며, 그리고 매입말뚝은 기성 말뚝을 사용하여 시공하기 때문에 재료의 일관성을 확보할 수 있는 것으로 알려져 있다. 이러한 이유로 매입말뚝은 주요 대도시 건설 프로젝트에 사용되며, 매입말뚝은 현장타설말뚝에 비해 경제적인 것으로 연구되었다(Ng et al., 2001; Jung et al., 2017a; Kim et al., 2018; Jeong and Kim, 2018). 이에 따라 매입공법 대한 시공 및 연구가 많이 이루어지고 있다.
국내 매입말뚝공법은, 1980년대 후반, 일본에서 도입되었으며, 일본의 설계기준이 사용되었다. 2000년대에 이후 Lee(2000), Kim(2003), Hong and Chai(2003, 2005) 등 연구자들이 매입말뚝공법에 대한 지지력 산정식을 제안하였으며, Architectural Institute of Korea(AIK, 2005), Korea Land and Housing Corporation(LH, 2008), Korean Society of Civil Engineers(KSCE, 2008)에서 국내 매입말뚝의 설계지지력 산정식을 제안하였고, 매입말뚝공법의 극한지지력 산정에 관한 많은 연구가 진행되었다(Jung et al., 2017b). 그리고 풍화암 및 연암 등에 소켓된 말뚝에 매입말뚝에 대한 연구가 활발히 진행되고 있다(Nam et al., 2019; Kwon et al., 2019; Park et al., 2021).
매입말뚝공법에 대한 극한지지력 산정 연구는 많은 연구자들에 의해 진행되었다. 이는 현재 지지력을 산정하는 방법에 있어 각각의 극한지지력을 산정하여 안전율을 적용, 허용지지력을 산정하므로 현재 지지력 산정식을 사용함에 있어서는 문제가 없다. 하지만 말뚝기초에 작용하는 하중에 대한 선단지지력과 주면마찰력의 발현은 하중의 크기에 따라 차이가 있다. 말뚝기초에 작용되는 초기하중단계에서는 주면마찰력이 많이 발현되고 이후 하중 증가에 따라 선단지지력이 점차 증가하는 것으로 알려져 있다. 그리고 말뚝기초의 사용하중 하에서 주면마찰력이 말뚝에 작용하는 대부분의 하중을 분담하는 것으로 발표되었다(Tomlinson, 1994; Lee, 2014). 최근 Park et al.(2019)은 사질토층을 지나 풍화암에 근입된 말뚝에 대한 수치해석연구를 통하여 하중분담률에 대한 연구를 진행되었다. 하지만 현장시험 등 추가적인 연구가 필요한 실정이다.
지지력에 관련된 연구는 여러 연구가 진행되고 있으나 말뚝의 침하량에 관한 연구는 미미하다. 현재 국내에서는 매입말뚝기초의 침하량을 Vesic(1977)의 경험식에 산정된 지지력을 적용하여 계산하고 있다. 설계하중에서 계산 침하량과 실제 발생된 침하량을 비교한 연구는 거의 진행되지 않았다.
본 연구에서는 매입 시공된 개단강관말뚝의 압축정재하시험 및 하중전이시험 자료로부터 구한 항복지지력, 허용지지력에서 하중분담률 및 침하량을 분석하였다. 그리고 현행 지지력 산정식으로 계산한 설계지지력 수준에서 주면마찰력/선단지지력의 분담률과 침하량, 말뚝재하시험에서 측정된 주면마찰하중/선단지지하중 분담률과 침하량을 비교하여 분석하였다. 그리고 말뚝재하시험의 하중분담률을 적용한 계산 침하량과 시험 침하량을 비교하였다.
2. 매입말뚝의 지지력 및 침하량 산정 방법
2.1 국내 매입말뚝 공법의 설계 기준
매입말뚝에 대한 극한단위선단지지력과 극한단위주면마찰력은 표준관입시험의 N값을 이용하여 산정하는데, AIK(2005), KSCE(2008), LH(2008)에 의해 제안된 매입말뚝공법의 지지력 산정식을 요약하여 Table 1과 Table 2에 나타내었다. Table 1과 Table 2의 Nb, Ns는 각각 선단부의 표준관입시험 N 값과 주면부의 표준관입시험 N값을 나타낸다.
Table 1.
Ultimate unit end bearing capacity in prebored pile
| Suggester | qb,ult(kN/m2) | Pile end condition |
| AIK (2005), KSCE (2008) |
200Nb (cohesionless soil) 6cu (cohesive soil) | Nb≤60 |
| LH (2008) | 250Nb | Nb≤60 |
Table 2.
Ultimate unit skin friction capacity (fs,ult) in prebored pile
| Suggester | fs,ult (kN/m2) | Soil condition |
| AIK (2005), KSCE (2008) |
2.5Ns (cohesionless soil) 0.8cu (cohesive soil) |
Ns ≤ 50 cu ≤ 125 (kPa) |
| LH (2008) |
2.0Ns (cohesionless soil) 0.5qu (cohesive soil) |
Ns ≤ 25 qu ≤ 125N qu ≤ 100 (kPa) |
2.2 외말뚝의 침하량 산정 방법
외말뚝의 침하량은 지반의 탄성계수를 이용한 탄성계수법과 Vesic(1977)이 제안한 반경험식을 사용하여 산정한다(Das, 1999). 말뚝기초의 침하량(se)은 말뚝자체의 길이방향의 변위(s1), 말뚝선단하중에 의한 지반의 침하량(s2)과 말뚝주면마찰하중에 의한 지반의 침하량(s3)으로 계산할 수 있으며{식 (1) 참조}, s1의 계산식은 탄성계수법과 반경험식에서 동일하게 적용하나, s2와 s3의 계산식은 탄성계수법과 반경험식에서 차이가 있다. 국내 구조물기초 설계시 침하량 산정에서는 적용의 간편성으로 인하여 반경험식을 많이 사용하고 있다. 반경험식의 계산식을 식 (2)~(4)에 나타내었다.
여기서, s1 : 말뚝의 축 방향 탄성침하량
s2 : 말뚝 선단지지하중에 의한 지반의 침하량
s3 : 말뚝 주면마찰하중에 의한 지반의 침하량
여기서, Qwb : 말뚝 두부 하중 중 선단에서 부담하는 하중
Qws : 말뚝 두부 하중 중 주면에서 부담하는 하중
ξ : 주면마찰력 분포형태에 따른 계수(형태에 따라 0.67, 0.5, 0.33 사용)
Ap : 말뚝의 단면적
Ep : 말뚝의 탄성계수
L : 말뚝의 길이
여기서, qb : 단위면적당 극한선단지지력
Ce : 경험계수
D : 말뚝의 직경
여기서, qb : 단위면적당 극한선단지지력
L : 말뚝의 길이
Ce : Table 3을 이용하여 결정
Table 3.
Typical Value of Ce (Vesic, 1977)
| Soil type | Driven pile | Bored pile |
| Sand (dense to loose) | 0.02 ~ 0.04 | 0.09 ~ 0.18 |
| Silt (dense to loose) | 0.03 ~ 0.05 | 0.09 ~ 0.12 |
| Clay (stiff to soft) | 0.02 ~ 0.03 | 0.03 ~ 0.06 |
3. 매입개단강관말뚝공법의 정재하시험 자료 분석
3.1 시험말뚝 및 지반주상도
말뚝기초의 지지력을 확인하는 방법으로 압축정재하시험이 실시되고 있으며, 국내 설계기준에서도 말뚝재하시험을 실시하여 지지력을 추정하도록 규정하고 있다. 그러나 실제 현장에서는 하중전이시험이 수반된 압축정재하시험을 실시하는 경우가 드물다.
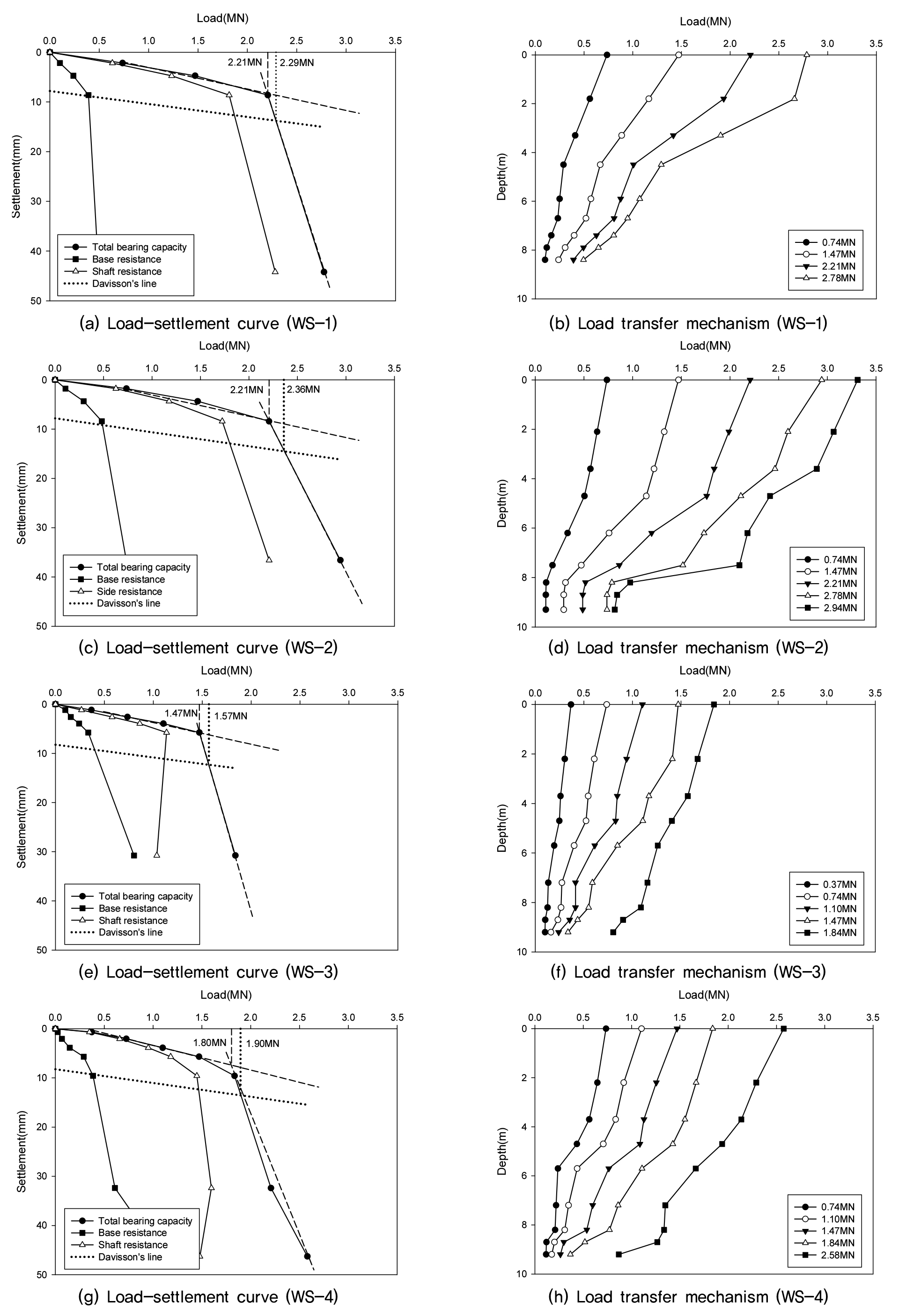
본 연구에서는 매입개단강관말뚝에 실시된 압축정재하시험 및 연직축하중전이시험 자료를 분석하였다. 압축정재하시험은 선굴착 후 최종경타공법으로 시공된 말뚝에서 실시되었으며, 대상 말뚝은 2가지이었는데, 직경이 457mm 말뚝 굴착공경이 650mm이었고, 직경이 508mm 말뚝 굴착공경이 712mm이었다. 본 연구에서는 10개의 현장시험 자료를 바탕으로 분석을 진행하였으며, 풍화토에 근입 되어있는 자료 4개와 풍화암에 근입된 자료 6개에 대한 정보를 다음 Table 4에 요약하여 나타내었다. 시험말뚝이 시공된 지반은 매립층, 붕적층, 퇴적층, 풍화토층, 풍화암층 등으로 구성되었으며 Fig. 1에 시험말뚝이 시공된 위치의 지반주상도를 나타내었다.
Table 4.
Dimensions of prebored open-ended steel pipe piles
| Pile No. | D (mm) | Lb (m) |
| WS-1 | 457 | 8.9 |
| WS-2 | 457 | 9.7 |
| WS-3 | 508 | 9.2 |
| WS-4 | 508 | 10.0 |
| WR-1 | 457 | 10.7 |
| WR-2 | 457 | 12.8 |
| WR-3 | 457 | 11.0 |
| WR-4 | 457 | 11.6 |
| WR-5 | 508 | 13.4 |
| WR-6 | 508 | 13.6 |
3.2 풍화토에 근입된 매입개단강관말뚝의 정재하시험 자료 분석
4개의 매입개단강관말뚝이 풍화토에 근입되었으며, 말뚝의 근입길이는 8.9~10.0m이다. 4개의 매입개단강관말뚝의 하중-침하 곡선과 축하중분포도를 Fig. 2에 나타내었으며, P-S방법에 의한 항복지지력과 Davisson 방법의 항복지지력을 Table 5에 정리하였다.
Table 5.
Test results of piles socketed into weathered soil
remark : Qy = yield capacity, Qb,y = base resistance at yield capacity, Qs,y = shaft resistance at yield capacity, Se,y = settlement at yield capacity, Qa = Allowable bearing capacity, Qb,a = base resistance at allowable bearing capacity, Qs,a = shaft resistance at allowable bearing capacity, Se,a = settlement at allowable bearing capacity
P-S방법은 하중-침하 곡선에서 하중 P와 이에 대응하는 평균 침하량 S를 양대수 그래프에 도시하면 꺾인 부분이 생기는데 이 꺾인 점에 대응하는 하중을 항복지지력이라 하며 가장 간단하기 때문에 많이 사용된다. Davisson방법은 말뚝과 지반의 탄소성 거동을 판정할 수 있는 해석법으로 최근 서구에서는 가장 합리적인 말뚝의 허용지지력 판정법으로 인정받고 있다(Korean Geotechnical Society, 2018).
P-S방법에서의 항복지지력은 1.47MN~2.21MN이었으며, 항복지지력에서 발생된 침하량은 5.8mm~9.6mm으로 나타났다. 항복지지력에서 안전율 2를 적용한 허용지지력은 0.74MN~1.10MN으로 나타났으며, 허용지지력에서의 침하량은 2.6mm~3.5mm로 나타났다. 그리고, Davisson 방법의 항복지지력은 1.57MN~2.36MN이었으며, 항복지지력에서 침하량은 12.3mm~14.6mm으로 나타났다. 항복지지력에서 안전율 2를 적용한 허용지지력은 0.79MN~1.18MN으로 나타났으며, 허용지지력에서의 침하량은 2.8mm~3.6mm로 나타났다.
항복지지력 및 허용지지력에서 발생된 선단지지력과 주면마찰력에 대한 분담률을 Fig. 3에 나타내었고, Fig. 3의 축하중분포도를 분석하여 선단지지력과 주면마찰력의 분담률을 산정하였다. P-S방법의 항복지지력에서 선단지지력과 주면마찰력은 각각 18%~22%, 78%~82%를 분담하는 것으로 나타났고, 허용지지력에서 선단지지하중과 주면마찰하중은 각각 11%~22%, 78%~89%를 분담하는 것으로 나타났다. 그리고, Davisson방법의 항복지지력에서 선단지지력과 주면마찰력은 각각 18%~29%, 71%~82%를 분담하는 것으로 나타났고, 허용지지력에서 선단지지하중과 주면마찰하중은 각각 13%~22%, 78%~87%를 분담하는 것으로 나타났다.
3.3 풍화암에 근입된 매입개단강관말뚝의 정재하시험 자료 분석
6개의 매입개단강관말뚝이 풍화암에 근입되었으며, 말뚝의 근입길이는 10.7m~13.6m이다. 6개의 매입개단강관말뚝의 하중-침하 곡선과 축하중분포도를 Fig. 4에 나타내었으며, P-S방법에 의한 항복지지력과 Davisson 방법의 항복지지력을 Table 6에 정리하였다. P-S방법에서의 항복지지력은 2.58MN~4.19MN이었으며 항복지지력에서 발생된 침하량은 8.5mm~18.7mm으로 나타났다. 항복지지력에서 안전율 2를 적용한 허용지지력은 1.29MN~2.10MN으로 나타났으며, 허용지지력에서의 침하량은 2.1mm~8.9mm로 나타났다. 그리고, Davisson 방법의 항복지지력은 2.74MN~4.32MN이었으며 항복지지력에서 침하량은 16.4mm~25.8mm으로 나타났다. 안전율 2를 적용한 허용지지력은 1.37MN~2.16MN으로 나타났으며, 허용지지력에서의 침하량은 2.7mm~9.2mm로 나타났다.
Table 6.
Test results of piles socketed into weathered rock
항복지지력 및 허용지지력에서 발생된 선단지지력과 주면마찰력에 대한 분담률을 Fig. 5에 나타내었고, Fig. 4의 축하중분포도를 분석하여 선단지지력과 주면마찰력의 분담률을 산정하였다. P-S방법의 항복지지력에서 선단지지력과 주면마찰력은 각각 16%~35%, 65%~84%를 분담하는 것으로 나타났고, 허용지지력에서 선단지지하중과 주면마찰하중은 각각 14%~22%, 78%~86%를 분담하는 것으로 나타났다. 그리고, Davisson방법의 항복지지력에서 선단지지력과 주면마찰력은 각각 19%~54%, 46%~81%를 분담하는 것으로 나타났고, 허용지지력에서 선단지지하중과 주면마찰하중은 각각 15%~23%, 77%~84%를 분담하는 것으로 나타났다.
P-S방법에서의 항복지지력을 이용하여 풍화토 및 풍화암에 근입된 말뚝을 비교하면 풍화토에 근입된 말뚝 4개의 평균 항복지지력은 1.92MN이었으며 풍화암에 근입된 6개의 말뚝은 3.28MN으로 풍화토에 근입된 말뚝의 항복지지력 보다 약 1.7배 높은 것으로 나타났다. 이는 풍화암에 근입된 말뚝의 길이가 풍화토에 근입된 말뚝보다 길고, 선단에 풍화토보다 강도가 강한 풍화암에 의해 지지력이 높게 나타난 것으로 판단된다.
4. 설계지지력수준에서 하중분담률 및 침하량 분석
4.1 지지력 산정공식으로 계산된 설계지지력
매입말뚝공법의 극한지지력은 많은 연구자들에 의해 연구가 진행되었으며, 국내에서는 AIK(2005), KSCE(2008), LH(2008) 등에서 N값을 이용한 지지력 산정식을 제안하였다. 매입말뚝공법의 지지력 공식의 계수는 강관과 PHC말뚝을 각각 제안되었다(KGS, 2018). KSCE(2008)은 강관, LH(2008)은 PHC를 말뚝재료로 주로 사용한다. 그래서 KSCE(2008)에서 제안한 산정식을 이용하여 극한지지력이 산정되었으며, 안전율 3을 적용하여 허용지지력이 산정되었다. 산정된 허용지지력을 Table 7에 나타내었다.
산정된 허용지지력 수준에서 선단지지력은 0.66MN~0.81MN이었으며, 주면마찰력은 0.26MN~0.57MN이었다. 각 지지력의 분담률에 대한 평균을 계산하면 주면마찰력이 36%이며, 선단지지력이 64%이다.
Table 7.
Allowable bearing capacity calculated by the bearing capacity calculation formula
4.2 허용지지력에서 침하량 산정공식으로 계산된 침하량
매입개단강관말뚝의 침하량 산정에서는 Vesic(1977)의 반경험식{식 (1)~(4) 참조}이 이용되었으며 Table 5의 허용지지력이 이용되었다. Vesic(1977)의 반경험식을 사용한 침하량 계산에서는 경험계수 Ce로 0.09(사질토)를 사용하였으며, 단위면적당 극한선단지지력(qb)공식은 200N을 사용하였으며, 풍화토에 근입된 말뚝의 선단지층도 50/17~50/13이었으므로 이를 환산 SPT값을 이용하는 방법(Yoon et al., 2013; Lee et al., 2011)으로 관입량을 30으로 환산하면 75/30이상의 값이므로 N값을 60으로 적용하였다.
각 개단강관말뚝에서 산정된 침하량은 13.6mm~16.7mm이며, 이를 정리하여 Table 8에 나타내었다. 10개의 말뚝에 대한 침하량 평균은 14.8mm이었으며, 모든 말뚝에서 선단지지하중에 의한 침하(s2)가 가장 큰 값으로 나타났다. 전체침하량(se)의 76%가 선단지지하중에 의한 침하(s2)로 계산되었다.
Table 8.
Settlement calculated by the semi-empirical method at the design capacity
4.3 재하시험 자료에서 평가된 허용지지력 수준에서 하중분담률 및 침하량 분석
현행 설계에서는 통상적으로 지지력 산정공식으로 계산된 허용지지력을 설계지지력으로 정하고 있다. 따라서, Table 7에 있는 허용지지력 및 Table 8에 있는 침하량을 설계지지력 시 침하량으로 정할 수 있다.
압축정재하시험의 말뚝두부하중-침하량 관계로부터 Table 7의 설계지지력수준에 상응하는 말뚝두부하중(Qa,cor), 각 지지력 성분{주면마찰하중(Qs,cor), 선단지지하중(Qb,cor)} 및 침하량(Qe,cor)을 구할 수 있다. 그 값들을 Fig 2, Fig 4의 그래프를 이용하여 분석하였으며, 이를 Table 9의 ②에 나타내었다.
현행 지지력 산정식으로 계산된 설계지지력과 압축정재하시험에서 설계하중에 상응하는 허용하중을 분석하여 Table 9에 나타내었다. 측정된 상응 허용하중에서는 선단지지하중이 전체하중의 13%~40%를 분담하고, 주면마찰하중이 전체하중의 60%~87%를 분담하였다. 계산된 설계하중의 경우 측정된 상응 시험하중에 비해 선단지지하중은 155%~478% 만큼 과다하게 산정되는 것으로 나타났으며, 주면마찰하중은 29%~64% 만큼 과소하게 평가되는 것으로 나타났다. 측정된 상응 시험하중에서 침하량은 2.2mm~4.7mm 정도 발생되었다. 계산된 침하량의 경우 측정된 상응 허용하중에서의 침하량보다 321%~776%(평균 445%)만큼 과대하게 평가되었다.
Table 9.
Bearing capacities and settlements at design bearing capacity level
4.4 시험하중 분담률을 적용한 침하량 분석
계산된 침하량과 측정된 허용하중에서 침하량의 차이는 현행지지력에서 주면마찰하중과 선단지지하중의 분담률과 시험에서의 주면마찰하중과 선단지지하중의 분담률의 차이로 인한 것으로 판단된다. 선단지지하중과 주면마찰하중이 같은 하중을 받을 때, 선단지지하중에 의한 침하는 말뚝의 직경에 영향을 받아 침하가 많이 발생하며, 주면마찰하중에 의한 침하는 말뚝의 길이에 영향을 받아 침하가 작게 발생하게 된다. 이렇게 선단지지하중과 주면마찰하중이 같은 하중을 받을 때 선단지지하중에 의한 침하가 주면마찰하중에 의한 침하보다 많이 발생하지만, Table 9에서와 같이 설계지지력수준에서 하중분담률의 차이가 크게 나타나므로 침하량의 차이가 크게 나타나게 되었다.
설계하중에 상응하는 허용하중의 주면마찰하중(Qs,cor)과 선단지지하중(Qb,cor)을 적용하여 침하량을 산정하였으며, 이를 Table 10에 나타내었다. 이렇게 계산된 침하량의 경우 측정된 상응 허용하중에서의 침하량보다 137%~525%(평균 204%)만큼 과대하게 평가되었다. WR-6에서 침하량의 차이가 많이 발생하였으며, WR-6을 제외하면 평균 168% 만큼 과대평가되는 것으로 나타났다.
말뚝 기초의 설계 과정에서 설계하중 시 발생가능한 주면마찰하중과 선단지지하중의 분담률 평가가 제대로 이루어지면, 말뚝기초의 실제 침하량에 대한 과대평가가 감소할 것으로 판단된다.
Table 10.
Settlements by Qs,corand Qb,cor
5. 결론 및 제언
매입말뚝공법으로 시공된 10개의 개단강관말뚝에 압축정재하시험과 하중전이시험 결과에 기반하여 현행 지지력 산정식으로 계산된 허용지지력과 압축정재하시험에서 측정된 허용지지력을 비교하였으며 현행 지지력 산정식으로 산정된 설계지지력 수준에서 압축정재하시험 결과를 분석하였다.
(1) 압축정재하시험으로부터 측정된 허용지지력에서 선단지지력과 주면마찰력은 P-S방법에서는 각각 11%~26%, 74%~89%를 분담하는 것으로 나타났으며, Davisson방법에서는 각각 12%~26%, 74%~88%를 분담하는 것으로 나타났다. 그리고, 허용지지력에서 발생된 침하량은 P-S방법에서 2.0mm~8.9mm로 나타났으며, Davisson방법에서는 2.3mm~9.2mm로 나타났다.
(2) 지지력 산정공식으로 계산한 설계지지력 수준에서 압축정재하시험으로부터 측정한 선단지지하중과 주면마찰하중의 분담률은 각각 13%~40%, 60%~87%이었고, 이때의 침하량은 2.2mm~4.7mm로 측정되었다. 현행지지력 산정식으로 계산된 허용지지력에서 선단지지력은 54%~75%를 분담하며, 주면마찰력은 25%~46%를 분담하였고, 허용지지력에서의 침하량은 19.8mm~23.6mm로 계산되었다.
(3) 설계지지력 수준에서 지지력 산정공식으로 계산한 허용지지력과 압축정재하시험으로 측정한 허용하중 분담에 대한 양상은 상이한 것으로 나타났다. 압축정재하시험에서는 주면마찰하중이 크게 나타났으나 지지력 산정공식에서는 선단지지하중이 크게 나타났다. 또한, 침하량 산정공식으로 계산한 침하량은 측정된 침하량에 대해 321%~776%만큼 크게 나타났으며, 평균적으로 445% 만큼 크게 나타났다. 이는 말뚝기초의 사용하중 하에서 주면마찰하중이 말뚝에 작용하는 대부분의 하중을 분담하는 것과 같은 결과이며 현행 지지력 산정 방법과 같이 주면마찰력과 선단지지력에 동일한 값의 안전율을 적용하는 방법이 말뚝의 실제 거동과 일치하지 않는다는 것을 보여주는 결과이다.
(4) 설계지지력 수준에서 압축정재하시험 결과의 주면마찰하중과 선단지지하중으로 계산된 침하량은 시험에서의 침하량보다 137%~525%만큼 크게 나타났으며, 평균적으로 204% 만큼 크게 나타났다. 시험 결과 중 계산 침하량과 시험 침하량의 차이가 가장 많이 발생한 하나의 사례를 제외하면 168%만큼 크게 나타났다.
(5) 동일한 설계하중에서도 주면마찰하중이 크고 선단지지하중이 작을 경우 침하량이 작게 산정되며 반대의 경우 침하량이 크게 산정된다. 말뚝 기초의 설계 과정에서 설계하중 시 발생가능한 주면마찰하중과 선단지지하중의 분담률이 실제 시험에와 많은 차이를 보였다. 이러한 이유로 설계침하량은 실제 발생되는 침하량보다 크게 평가된다. 주면마찰하중과 선단지지하중의 평가가 제대로 이루어지면, 말뚝기초의 실제 침하량에 대한 과대평가가 감소할 것으로 판단되었다.
(6)말뚝기초에 작용하는 하중에 따른 하중 분담률, 침하량 등에 대한 연구가 지속적으로 진행되어야 할 것이며 이를 통하여 실제 말뚝기초의 거동이 적절하게 표현되는 설계 방법 개발이 필요할 것으로 판단되었다.







