1. 서 론
2. 과압밀비(OCR)
2.1 현장계측결과를 이용한 OCR 산정방법
2.2 실내시험에 의한 OCR 산정방법
3. 대상지역특성
4. 기존 경험식 검토 및 결과분석
4.1 기존경험식 검토
4.2 상관관계 분석
4.3 제안식 검증
5. 결 론
1. 서 론
연약지반상에 구조물을 축조하기 위해서는 구조물 하중에 따른 소정의 강도가 요구되며, 이러한 요구를 충족하기 위해서는 지반개량이 필요하다. 연약지반의 개량을 위해서는 지반의 지니고 있는 물리적, 역학적, 화학적 특성의 파악이 중요하며, 특히 흙이 가지고 있는 이력의 파악은 개량공법의 선정 및 역학적 해석에 있어서 매우 중요한 정보이다.
일반적으로 점토지반에 대해 압밀도를 평가하는 방법은 과입밀비(Over Consolidation Ratio, OCR)의 추정으로 행해지며, OCR은 흙의 거동, 특히 흙의 강도, 응력-변형관계 및 압축특성에 크게 영향을 미친다. 그러므로 점토층의 응력이력을 아는 것은 조사지역의 해석과 현장관찰 그리고 지반공학적 설계를 위한 적정한 흙의 매개변수를 설정하는데 매우 중요하다.
OCR의 결정을 위한 전통적인 방법은 불교란 시료로 실험을 실시하는 실내표준압밀시험(Oedometer Test)을 기초로 하고 있다. 이 외에 현장함수비 변화를 이용한 방법, 액성지수를 이용한 방법 등 이외에 In-Situ 지반조사를 통한 방법으로 개략적인 추정이 가능하다. 그러나 원위치 시험에 의한 방법들은 현장에서의 시험이 반듯이 수반되어야 하며, 추정식에 의한 방법은 지역별, 환경적 특성에 제약을 받는 문제점이 있다. 따라서 추정식에 의한 방법은 각 지역적 특성을 반영한 제안식이 필요하겠으며, 이러한 결과는 지역별 OCR예측에 유용한 자료로 활용될 것이다. 따라서 본 연구에서는 국내 연약지반 9개 지역에서 불교란 상태로 채취된 시료를 이용해 실내 표준압밀시험을 실시하였으며, 실험결과를 이용해 기존의 OCR 추정식 검토와 OCR과 각 매개변수와의 상관관계를 살펴보고자 하였다.
2. 과압밀비(OCR)
흙들은 시간이 지나면서 발생하는 응력과 주변조건의 변화에 따른 이력을 가지고 있고, 이러한 변화는 흙의 구조에 저장된다(Casagrande, 1932). 흙은 과거에 경험했던 응력보다 더 큰 응력을 받았을 때, 흙 구조는 증가하는 하중을 더 이상 지탱할 수가 없고 그 구조는 무너지기 시작하며, 이 때의 하중을 선행압밀하중이라 한다.
흙의 선행압밀하중(σ′p)은 작용하는 유효상재하중(σ′vo)과 같을 때 정규압밀이라 한다(즉, σ′p = σ′vo). 또한, 선행압밀압력이 존재하는 유효상재하중(σ′vo)보다 더 큰(즉, σ′p > σ′vo) 흙을 가지고 있다면 과압밀이라 부르며, 과압밀비(OCR)는 선행하중 응력에 대한 존재하는 유효상재하중으로 정의한다.
과압밀은 OCR이 1이상인 흙을 의미하며 과압밀이 되는 이유는 다음과 같다.
①전응력의 변화
-과거에 빙하, 구조물 등의 상재하중이 존재했을 경우
②간극수압의 변화
-지하수위의 변화
-피압의 영향
-양수(터널시공 등)
-지표면의 Desiccation
③Aging Effect(Raju, 1956)
④pH, 온도, 염분비 변화 등의 환경적 요인(Lambe, 1958a&b)
⑤ 풍화(Bjerrum, 1967&1972)
2.1 현장계측결과를 이용한 OCR 산정방법
예측침하량과 현장의 실제침하량 사이의 비교는 해당 현장에서 얻은 대표적인 입력토질매개변수 값으로부터 종종 평가되어지고 있다. 예측침하량은 압축지수, 재압축지수, 선행압밀응력 등과 같은 몇몇의 매개변수를 이용한 해석으로부터 계산된다. 그러나 각각의 매개변수가 얼마나 실제 현장거동과 잘 일치하는 가를 결정하기에는 매우 어렵다.
예측침하량과 현장침하량의 정확한 비교를 위하여, 현장에서 관측된 간극수압과 침하를 이용한 현장선행압밀응력 산정방법은 다음과 같다.
2.1.1 응력-변형률 (εv-σ′v)관계를 이용하는 방법
이 방법은 적용하중 아래 토층내에서의 응력-변형률 관계를 직접적이고 정확하게 묘사하여, 선행압밀응력의 정확한 정의를 제시하여 준다(Pelletier et al., 1979; Leroueil et al., 1983). 이 방법을 위해서는 점토층 내에 소정의 깊이에 대해 수직 변형률 측정과 유효연직응력 결정을 위해 장기간에 걸쳐 침하와 간극수압의 계측이 요구되어진다.
선행압밀 응력은 εv-σ′v 또는 e-logσ′v 곡선에서 얻을 수 있다. 만일 현장 재하하중에 의해 발생하는 유효연직응력들이 지반의 선행압밀응력의 상하로 충분한 범위 안에 존재한다면 선행압밀응력을 정확하게 결정할 수 있다.
2.1.2 함수비 변화곡선을 이용하는 방법
압밀이 진행되는 동안 점토층의 자연함수비의 감소를 해석함으로서 선행압밀응력을 결정하는 방법이다. 하중재하 전의 깊이별 함수비와 재하 시의 함수비를 비교하여, 함수비의 변화가 없는 깊이를 결정한다. 그리고 그 깊이에서의 전응력과 간극수압을 측정하여 구한 유효연직응력이 바로 그 깊이에서의 선행압밀응력 값이 되는 것이다. 이 방법은 함수비의 변화가 적은 점토층에서 유용하게 적용할 수 있다. 그러나 이 방법은 특정한 깊이에 대해서만 선행압밀응력을 결정할 수 있다는 단점이 있다.
2.1.3 간극수압(Δu)의 변화를 이용하는 방법
구조물을 축조동안 간극수압의 측정으로 점토층의 선행압밀응력을 결정하는 신뢰성이 높은 방법이다(Leroueil et al., 1978). 성토단계 초기에는 압밀이 발생하여 간극수압발생은 비배수 조건에서 예측되는 값보다 적게 발생한다. 제방의 높이가 올라가면 간극수압의 증가는 전응력 증가와 거의 같게 되는데, 그 때 제방의 높이에 해당하는 유효수직응력은 간극수압이 측정된 그 깊이에서의 선행압밀응력과 같다. 이 방법은 단지 간극수압계(Piezometer)기록만으로도 해석이 가능하며, 대체로 짧은 기간동안에 선행압밀응력을 구할 수 있다. 간극수압계 응답에 있어 지체시간을 발생시키는 부정확성을 피하고 정밀도를 향상시키 기위해서는 공기식, 또는 전기식 간극 수압계가 사용된다.
2.2 실내시험에 의한 OCR 산정방법
1차원 표준압밀시험에서 유효선행압밀압력(σ′p)이라고 정의되어지는 항복점의 결정은 시료채취시 교란되는 효과 때문에 값을 구하기가 어렵다. 불교란 시료를 튜브로부터 압밀링에 거치되는 동안 시편이 등방응력 상태로 되고 하중을 재하하기 전에 팽창이 일어나기 때문에 단단한 점토에서는 더 큰 문제가 된다. 여기서, 중요한 것은 유효선행압밀압력(σ′p)이 항상 과소평가 되어졌다는 것이다(Jamiolkowski, 1985). 대부분 실내시험에서 응력을 반대수 스케일 위에 압밀시험결과를 나타내기 때문에 오차는 크게 발생할 수 있다.
OCR의 독립적인 평가나 상대적인 평가는 실내강도실험(등방압밀 비배수 삼축시험, 이방성압밀 비배수삼축시험), 그리고 직접전단시험의 결과로부터 이루어질 수 있다. 삼축이나 간단한 전단시험의 결과들은 SHANSEP 방법을 이용하여 점토의 현장 OCR평가에 이용될 수 있다.
여기서, Cu/σvo′:상재하중비에 대한 정규화된 강도
Cu/σvnc′ : OCR=1 일 때의 정규화된 강도
Λ : 강도 반발 매개변수(Wroth, 1984)
직접전단시험의 일반화된 적절한 매개변수는 Jamiolkowski et al.(1985)에 의해 다음과 같이 추천되었다.
한계상태 토질역학 이론은 정규화된 강도(Cu/σvnc′)에 정규압밀점토에 대해 유효응력마찰각(φ′)을 관련시킨다. Wroth(1984)의 CIUC(등방압밀 비배수 삼축시험)와 CAUC(이방성 압밀 비배수 삼축시험) 조건 모두에 대해 다음과 같은 관계를 유도하였다.
Mayne(1985)에 의해 설명된 바와 같이, φ′는 등방상태 또는 비등방상태로 사용된 것과는 무관하게 주어진 점토에 대해 본질적으로 같다. 정규압밀강도 (Cu/σvnc′)는 φ′값으로부터 평가되어질 수 있기 때문에 현장 OCR은 개개의 삼축압축시험으로부터 평가되어질 수 있다.
여기서, Cu는 최대 축차응력의 0.5배로 정의한다.
또한, 자연함수비와 액성한계의 관계로부터 점토지반의 압밀도를 대략적으로 판단할 수 있다. 일반적으로 퇴적당시의 흙의 함수비는 대단히 높다. 퇴적토의 무게로 인하여 압밀이 진행되면 간극속에 있는 물은 배수되므로 이에 상응해서 자연함수비는 감소된다. 정규압밀토의 자연함수비는 액성한계의 0.6~1.0으로 알려져 있으나(Menzies and Simons, 1976) 편의상 액성지수 1을 기준으로 하여 이와 동일하면 정규압밀, 작으면 과압밀로 분류한다. 이 방법은 시료교란의 영향을 받지 않을 뿐 아니라, 대단히 간편하면서도 퇴적토의 특성을 개략적으로 파악할 수 있다. 또한 식 (8)과 같이 실내시험에서 행해진 일축압축강도와 소성지수사이의 경험적 상관성을 이용하여 선행압밀을 결정하는 방법이 있다(NAVFAC, 1982).
이외 Heo et al.(2010)과 Ahn(2012)은 식 (9) 및 (10)과 같이 국내 연약지반 특성을 반영한 과압밀 추정에 관해 연약층 심도와 간극비를 고려한 경험식을 제안하였다. 본 연구에서는 OCR 추정방법으로 NAVFAC(1982), 액성지수를 이용한 방법 및 식 (9)~식 (10)의 기존 경험식을 이용하여 사례대상 지반의 실측값과 비교·분석에 적용하였다.
3. 대상지역특성
Fig. 1은 조사 대상지역의 위치를 나타낸 것으로 총 9개 지역에서 채취된 불교란 시료를 대상으로 표준압밀시험을 실시하였다. Table 1은 Thin wall sampler에 의해 불교란 상태로 채취된 시료의 기본물성시험 결과를 나타낸 것으로 통일분류법(USCS)에 의해 토질을 분류하면 인천, 아산, 군산지역이 속해있는 서해안 지역은 CL과 ML이 우세하고 김해, 양산, 울산, 포항의 동・남해안 지역은 CH 및 CL이 우세하게 분포했다. 특히 자연상태의 함수비는 대부분 액성한계 이상의 연약한 토층으로 구성된 것으로 조사되었다.
Table 1.
Physical properties on domestic ground
4. 기존 경험식 검토 및 결과분석
4.1 기존경험식 검토
Fig. 2는 액성한계를 이용한 OCR 추정방법 및 NAVFAC 제안식 및 기존 연구자들에 의해 제안된 추정식을 이용해 각 지역에서의 심도별 OCR을 추정한 결과를 표준압밀시험에 의해 산정된 결과와 함께 도시한 그림이다. 실내실험에 의한 지층별 OCR은 표층에서 상대적으로 매우 큰 값을 보였는데 이는 조수차가 큰 국내 해안지역의 수리적 특성을 반영한 결과로써 건조(Desiccation)에 의해 형성된 과압밀 지층으로 평가할 수 있다. 각 제안식별 예측된 OCR의 경향을 살펴보면 비배수전단강도와 강도증가율의 비로 표현되는 NAVFAC의 추정식은 심도가 깊어질수록 OCR을 크게 평가하는 수식적 특성을 반영한 결과를 나타내었다. 반면에 흙의 물리적 특성인 액성지수(Liquid Index, LI)를 이용한 경우에는 예측값들이 큰 편차를 보이고 있지 않으며, 상부의 건조 영향을 받은 토층을 제외하고는 대체적으로 실측값과 유사한 분포를 나타냈다. Heo et al.(2010)과 Ahn(2012)의 경험식은 심도가 증가할수록 OCR이 크게 평가되었는데, 두 경험식은 토층의 심도가 깊어질수록 간극비가 감소하는 일반적인 점토층의 특성을 고려한 방법으로 본 사례대상 지역과 같이 검토대상 지층 대부분이 액성한계에 근접한 연약한 토층에서는 적합하지 않은 것으로 판단된다. 조사된 바와 같이 우리나라의 해안지역 연약지반은 연약층 상부인 지표면이 건조수축에 의한 과압밀층, 하부층은 액성한계에 근접한 연약한 상태로 구성되어 있는 복합적인 특성을 반영한 평가 방법의 제시가 필요할 것으로 판단된다.
4.2 상관관계 분석
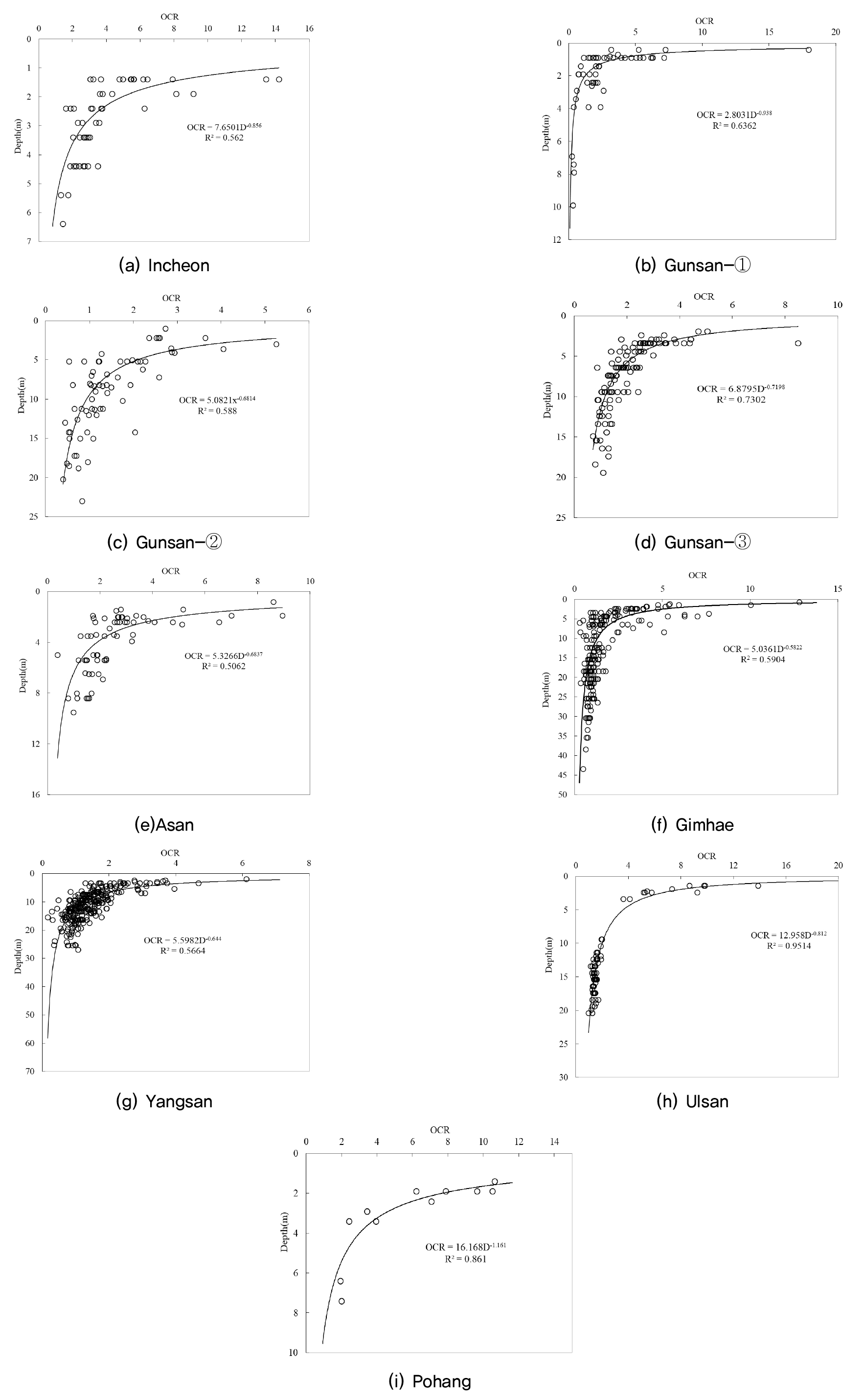
Fig. 3은 각 지역별 심도-OCR관계를 회기분석한 결과를 나타낸 것으로 Table 2는 각 지역별 OCR과 심도와의 관계식을 정리한 것이다. 전술한 바와 같이 지표면에서 약-2~3m 정도는 건조의 영향을 받아 상당히 큰 OCR을 나타냈으며, 전반적으로 심도별로 OCR이 감소하는 경향으로 전체 분석대상 지역이 모두 유사한 경향을 나타냈다. 한편 회귀분석결과 분석대상 지역의 조사자료의 분산은 0.562에서 최대 0.951로 만족할만한 수준의 자료로 판단된다.
Table 2.
Prediction equations of over consolidation ratio with ground depth in domestic korea
4.3 제안식 검증
Table 2에서 제안한 각 지역별 OCR 추정식을 이용해 인접 지역의 OCR을 Fig. 4 및 Fig. 5와 같이 추정하였다. Fig. 4는 동남해안 지역으로 분류된 양산, 김해, 포항, 울산 지역의 예측값과 실측값을 검증한 것으로 인접지역인 양산-김해지역을 Fig. 4(a)~(b), 울산-포항지역을 Fig. 4(c)~(d)로 분류하여 상호 비교 검증하였다. 검증결과 두 그룹 모두 예측값은 실측치에 가까운 결과로 상부 과압밀 지반을 적절히 고려한 예측값을 보였으며, 지표에서 약 5m 이하의 심도에서 정규압밀로 평가할 수 있는 OCR(1~2)을 예측하여 인접지역에서의 상호 적용이 가능할 것으로 판단된다.
Fig. 5는 서해안으로 분류된 인천, 아산, 군산지역의 OCR관계식을 인접지역과 대입하여 예측한 결과이다. Fig. 5(a)와 (b)는 인천 및 아산지역의 지반조사결과와 각 지역에서의 OCR예측값을 상호 적용한 결과로서 두 지역의 예측치 모두 상부층 및 하부토층의 OCR을 비교적 잘 예측하는 것으로 나타났다. Fig. 5(c)~(e)는 군산의 3개지역에 대한 상호비교 결과를 나타낸 것으로 군산①지역은 인접지역인 ②, ③지역과의 일관성을 찾아볼 수 없었다. 한편 군산②지역과 ③지역과의 상호 교차검토 결과는 상호간예측식이 잘 적용되는 것으로 나타났다. 적용성 검토결과 차이점은 Table 1의 대상지반의 물리적 특성 차이에서 찾아볼 수 있는데 통일분류법에 의한 공학적 분류로 두 사례를 검토했을 때 점토(CL, CH)로 구성된 지역에서의 예측값은 실측값과 상당부분 일치하는 경향을 보이고, 실트(ML)로 구성된 지역에서는 예측값이 실제값과 불일치한 결과를 보이는 특징을 볼 수 있다. 이와같이 흙의 구성에 따른 특성을 반영하여 Fig. 5(f)와 같이 인천지역의 예측식을 유사한 성분으로 구성되어 있는 군산②지역과 ③지역에 적용했을 때 비교적 잘 일치하는 것을 확인할 수 있었으며, 이러한 결과는 동남해안 지역에서도 동일한 특성을 보였다. 따라서, 흙의 공학적 특성보다는 퇴적 및 주된 흙의 구성이 OCR예측에 중요한 영향인자임을 확인할 수 있었다.
5. 결 론
본 연구에서는 현장에서의 OCR측정을 위한 기존의 경험식을 실제측정값과 비교하여 검토하였으며, 실측값과 영향인자와의 상관관계 분석을 실시하여 다음과 같은 결론을 얻을 수 있었다.
(1) 액성지수(LI)와 NAVFAC의 경험식을 사용하여 각 지역별 OCR을 예측한 결과 NAVFAC보다는 흙의 물리적특성을 이용한 액성지수(LI)를 이용한 값이 실제 측정값과 유사한 분포를 나타내었다. 그러나 지하수위 상부지반의 경우 건조의 영향으로 매우 큰 과압밀비로 인해 적용성이 떨어지는 것으로 나타났다.
(2) 과압밀층으로 구성된 지하수위 상부지반을 고려한 각 지역별 심도-OCR간의 상관관계식을 제안하고, 제안된식을 인접지역의 OCR 예측에 적용한 결과 점토(CL, CH)로 구성된 지역에서의 예측값은 실측값과 상당부분 일치하는 경향을 보였다. 그러나 실트(ML)로 구성된 지역에서는 예측값이 실제값과 불일치한 결과를 보여 흙의 공학적 특성보다는 퇴적 및 흙의 주된 구성이 OCR예측에 중요한 영향인자임을 확인할 수 있었다.
본 연구는 특정지역에 국한되어 실시된 연구로서 대상지반의 일부 지반공학적 특성을 적용하여 도출된 결과이다. 따라서 국내 연약지반을 대상으로 보다 확장성 있는 예측기법으로 적용하기 위해서는 향후 충분한 자료의 축척과 다양한 토질공학적 특성을 적용한 예측기법으로서의 발전이 이루어져야 할 것으로 사료된다.







