1. 서 론
산성배수(acid drainage)란 황화광물(sulfades)이 지반굴착, 지하수위 변화, 준설 등에 의해서 지표환경으로 노출되어 용존산소와 반응하면서 황산을 발생시키면서 유출되는 현상이다(Stumm and Morgan, 1996). 건설현장에서 발생되는 산성배수는 건설부지를 포함하여 주변 지반, 지하수 및 지표수를 산성화시키고 중금속으로 오염시킨다(Kim et al., 2014; Song et al., 2014, Gong et al., 2021). 건설 현장에서 발생하는 산성배수는 pH 6.0 이하의 강산성이며, 고농도의 철, 알루미늄, 망간 등과 같은 중금속을 함유하고 있으므로 주변 지역의 환경오염과 암석 풍화, 구조물 부식 등 안정성 문제 뿐만 아니라 식생 고사, 경관 훼손 등 외관상 문제를 야기하고 있다(Kalin et al., 2006). 실제로 다양한 건설공사 현장에서 산성배수로 인한 민원발생 및 공사중단이 실행된 사례가 있다(Kim, 2007; Lee et al., 2013).
최근 들어 황철석 암버럭을 고속도로 성토재로 활용하는 사례가 늘어나고 있다. 고속국도 제 30호선인 청주-상주선 고속도로에서는 회인 나들목과 보은 나들목의 성토구간에 황철석이 포함된 암버럭을 성토재로 활용한 바 있다. 해당구간에서 황철석으로부터 산성배수가 유출되는 것을 방지하기 위하여 성토구간을 대상으로 알칼리 차수재인 소석회를 이용하여 황철석을 코팅하는 중성화 방법이 적용되었다(Gong et al., 2021). 해당 사례는 성토재로 활용되는 황철석 암버럭의 산성배수 발생가능성을 사전에 인지하여 성토구조체 시공완료 후에도 산성배수가 발생되지 않도록 사전에 대책방안을 제시한 것이다.
그러나 황철석 암버럭에 대한 중성화 방법을 적용하여 성토체의 시공을 완료한 이후에도 장기적인 우수침투로 인하여 산성배수가 발생될 수 있으며, 성토재로 활용되는 황철석 암버럭의 산성배수 발생 가능성을 사전에 인지하지 못하고 성토체를 시공하여 산성배수로 인한 문제가 발생될 수 있다. 이와 같은 경우 기 시공된 성토체를 대상으로 중화제를 주입하여 내부의 황철석 암버럭을 중화시키는 방법이 가장 효과적이며 경제적이다.
따라서 본 연구에서는 황철석 암버럭으로 시공된 성토체를 대상으로 산성배수 발생을 억제하기 위하여 중화제를 주입할 경우 최적의 주입방안을 제시하고자 한다. 이를 위하여 중화제 주입시 영향요인인 주입 간격, 주입압 등을 고려한 수치해석을 수행하고 결과를 분석하여 최적의 방안을 마련하고자 한다.
2. 침투해석의 이론적 배경
본 연구에서는 황철석 암버럭으로 시공된 성토체를 대상으로 중화제 주입으로 인한 침투효과를 수치해석으로 검토하기 위하여 유한요소해석 프로그램인 SEEP/W (GEO-SLOPE International Ltd, 2012)를 활용하였다. SEEP/W 프로그램에서는 Darcy의 범칙으로부터 유도되는 Richards식을 이용하며, 유한요소법에 의하여 근사해를 구한다. 본 프로그램에서는 포화 및 불포화조건의 흙과 같은 다공질 지반에서의 지하수 침투흐름과 과잉간극수압의 소산문제를 해석할 수 있으며, 정상상태(steady-state)해석 및 비정상상태(unsteady-state)해석이 가능하다. 2차원 침투해석을 위한 위한 지배방정식은 식 (1)과 같이 나타낼 수 있으며, 불포화토 해석을 위하여 간극수압을 고려한 유한요소 지배방정식은 식 (1)에서 식 (3)을 이용하여 식 (4)와 같이 유도된다(Krahn, 2004).
여기서, 는 전수두, 는 방향의 투수계수, 는 방향의 투수계수, 는 선택된 시간단계에서의 유량, 는 체적함수비, 는 시간, 는 간극수압, 는 저류곡선의 기울기, 는 물의 단위중량, 는 고도이다.
비정상상태해석의 경우 간극수압이 시간에 따라 변화하므로 각각의 수두값은 시간의존적이 된다. 그리고 포화조건의 흐름을 해석하는 경우 투수계수()는 일정하다고 가정하면 간편한 해석이 가능하지만 불포화조건의 흐름을 해석하는 경우 투수계수는 변화하므로 이 경우 비선형 미분방정식인 Galerkin method를 적용하여 계산할 수 있다.
Fig. 1은 흙-함수특성곡선(Soil-Water Characteristics Curve, SWCC)과 투수계수함수(Hydraulic Conductivity Function, HCF)를 함께 도시한 것이다. 그림에서 보는 바와 같이 체적함수비의 변화에 따라 투수계수가 변화됨을 알 수 있으며, 체적함수비가 증가됨에 따라 투수계수도 증가됨을 알 수 있다. 또한 체적함수비의 증가에 따라 모관흡수력과 체적함수비는 반비례 관계가 있음을 알 수 있다.
3. 해석단면 및 조건
3.1 해석단면
본 연구에서는 도로공사 표준시방서(Ministry of Construction and Transportation, 2009)를 참조하여 해석을 위한 성토체의 표준단면을 선정하였다. 표준시방서에 따르면 “암버력을 이용한 흙쌓기는 노체 완성면 60cm 하부에만 허용될 수 있으며 이때 최대치수는 600mm이하이어야 한다. 단, 풍화암이나 이암, 세일, 실트스톤, 천매암, 편암 등 암석의 역학적 특성에 의하여 쉽게 부수어지거나 수침반복시 연약해지는 암버력인 경우 최대치수는 300mm이하로 한다.”로 제시되어 있다. 따라서, 최상부의 노상층을 1m로 하고 토사유실방지를 고려하여 노상과 암버럭 노체의 사이에 1m의 필터층을 설치하였다. 그리고 암버럭의 최대치수를 300mm로 하고, 암버럭 노체의 높이는 4m로 선정하였다. Fig. 2는 본 연구에서 수치해석을 위하여 선정한 성토체의 표준단면을 나타낸 것이다.
3.2 입력 지반정수
수치해석을 위한 입력 지반정수의 결정시 노상은 다짐도 95%인 양질의 토사로 결정하였으며, 필터는 충분한 배수성을 가지고 있으며 상부 노상토의 유실을 방지하는 기능을 보유하는 것으로 하였다. 도로공사 표준시방서(Ministry of Construction and Transportation, 2009)에 제시된 바와 같이 “전부 암으로만 시공하는 흙쌓기부는 암의 대소치수가 고르게 섞이도록 하고, 큰 덩이가 고르게 분산되도록 하여 간극을 충분히 메워야 한다.”라는 기준을 만족하는 것으로 고려하였다.
침투해석에서 흙-함수특성곡선(SWCC)은 지반의 고유 특성으로서 지반의 불포화특성을 결정하는 가장 중요한 입력 지반정수이다. 일반적으로 흙-함수특성곡선은 흙 내부에 존재하는 물의 양과 모관흡수력의 상관관계로 정의되며, 흙 내부에 존재하는 물의 양은 체적함수비 혹은 포화도로 나타낸다. 본 연구의 침투해석에서 적용된 흙-함수특성곡선(SWCC)은 SEEP/W 프로그램에서 제공하는 모래, 실트 및 자갈에 대한 대표 곡선(Sample curve)를 적용하였다. Fig. 3은 본 연구에 적용된 노상층, 필터층 및 암버럭층의 흙-함수특성곡선(SWCC)을 나타낸 것이다.
한편, 중요한 입력 지반정수인 노상층, 필터층 및 암버럭층의 투수계수는 기존 문헌(DIN 18130, 1998; McCarthy and David, 2006; Lu and Likos, 2004; Coduto et al., 2011; Rojas et al., 2022) 및 과거 현장자료를 토대로 결정하였다. Table 1은 본 연구의 수치해석에 적용된 지반정수를 나타낸 것이다. 본 연구에서 적용된 각 지층에서의 투수계수는 노상층의 경우 1.0×10-4 cm/sec, 필터층의 경우 1.0 cm/sec, 암버럭층의 경우 1.0×10-4 cm/sec으로 하였다. 이를 토대로 노상층, 필터층 및 암버럭층의 불포화 투수계수함수(Hydraulic Conductivity Function, HCF)를 산정하였으며, 이는 Fig. 4와 같이 나타내었다. 한편 해석시 적용되는 초기 모관흡수력의 경우 모래 혹은 자갈로 구성된 노상층 및 암버럭층은 10-20kPa, 필터층은 1kPa을 적용하였다(Walker, 1997; Song et al., 2012; Azam et al., 2013).
Table 1.
Input data for geotechnical properties
| Contents | Type of soil | Hydraulic conductivity (cm/sec) |
| Subgrade layer | Fine sand - silty sand | 1.0×10-4 |
| Filter layer | Clean gravel | 1.0 |
| Crushed rock layer | Sand and gravel mixtures | 1.0×10-4 |
해석시 초기 지하수위는 암버럭층 하부 및 성토체의 바닥부에 존재하는 것으로 가정하였으며, 산성배수 발생을 억제하기 위한 중화제는 일정한 주입압을 가하여 성토체에 주입되도록 하였다. 해석시 고려해야 할 영향요소로는 주입관의 간격 및 주입압을 선정하였으며, 각각의 영향요소에 따른 해석을 통하여 최적의 주입조건을 결정하고자 한다. Table 2는 성토체에 주입되는 중화제의 주입관 간격 및 주입압을 고려한 해석조건을 나타낸 것이다. 표에서 보는 바와 같이 주입관의 직경은 50mm로 선정하였으며, 주입압은 100-220kPa, 주입관의 간격(C.T.C)은 1.0-4.0m로 변화하면서 해석을 수행하였다. 그리고 주입관은 1열 배치로 성토체의 바닥부로부터 3m 높이에 설치하는 것으로 하였다.
Table 2.
Cases of numerical analysis
4. 해석결과 및 분석
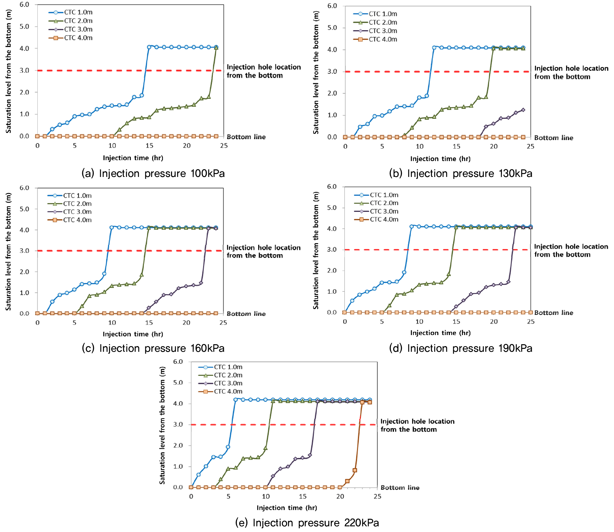
본 해석에서는 주입관의 직경을 50mm로 선정하고 주입압을 100-220kPa로 변화시키면서 침투효과를 검토하였다. 침투효과는 시간경과에 따른 최대수위 도달높이와 최대수위 도달시간으로 판단하였다. 수위의 측정지점은 성토체의 중앙부에 설치된 주입관의 좌측 1m 위치로 선정하였다.
Fig. 5는 주입관의 간격이 3m일 경우 침투해석을 위한 성토체 단면을 나타낸 것으로 주입관은 바닥면으로부터 3m 높이에 위치하고 있다. 황철석으로 구성된 성토체의 중화제 주입에 따른 침투해석을 위하여 SEEP/W 프로그램을 활용하였다. Fig. 6에서 Fig. 10은 SEEP/W 프로그램을 이용하여 주입관의 간격이 3m일 경우 중화제 주입압의 변화에 따른 침투해석 결과를 나타낸 것이다. 그림에서 보는 바와 같이 중화제 주입 초기에는 중화제가 성토체 바닥면으로 침투되고 이후 주입관을 중심으로 포화가 시작되며 시간이 경과함에 따라 주입관 사이에서 포화가 진행된다. 그리고 주입관 주변에서 포화가 완료되면 성토체 바닥면으로 침투가 발생되어 성토체 바닥면에 위치한 포화영역과 합쳐지게 되며, 결국에는 포화영역이 확장되어 성토체 전체적으로 중화제가 영향을 미치게 된다.
Fig. 11은 중화제 주입 시작후 시간에 따라 포화영역이 확장되는 수위를 도시한 것이다. 그림에서 보는 바와 같이 중화제의 주입압이 100kPa 및 130kPa일 경우 24시간 동안 주입시 주입관의 간격이 2.0m이하로 되어야 성토체 전체가 포화되는 것으로 나타났다. 그리고 중화제의 주입압이 160kPa 및 190kPa일 경우에는 주입관의 간격이 3.0m이하가 되어야 하고, 중화제의 주입압이 220kPa일 경우 주입관의 간격이 4.0m이하가 되어야 24시간 이후 성토체 전체가 포화되는 것으로 나타났다. 즉 성토체의 포화를 위하여 중화제의 주입압이 낮은 경우 주입관의 간격을 줄이고 중화제의 주입압이 높은 경우 주입관의 간격을 넓히는 것이 적절함을 알 수 있다.
또한, 해석결과에서 보는 바와 같이 중화제 주입관의 간격이 1.0m일 경우 성토체 전체가 포화되는 시간은 중화제 주입압이 100kPa일 경우 15시간, 주입압이 130kPa일 경우 12시간, 주입압이 160kPa일 경우 10시간, 주입압이 190kPa일 경우 9시간, 주입압이 220kPa일 경우 6시간으로 나타났다. 그리고 중화제 주입관의 간격이 2.0m일 경우 성토체 전체가 포화되는 시간은 중화제 주입압이 100kPa일 경우 24시간, 주입압이 130kPa일 경우 20시간, 주입압이 160kPa일 경우 15시간, 주입압이 190kPa일 경우 15시간, 주입압이 220kPa일 경우 11시간으로 나타났다. 즉 중화제의 주입압이 증가할수록 성토체 전체가 포화되는 시간은 단축됨을 알 수 있다.
따라서, 황철석으로 구성된 성토체의 중화제 주입시 주입관의 간격 및 주입압을 고려하여 최적의 중화제 주입조건을 결정해야 할 것이다. 이때 비용문제와 시간적인 제한사항도 반드시 고려되어야 할 것으로 판단된다.
Fig. 12는 앞서 수행한 해석결과를 토대로 주입관의 간격과 주입압에 따른 성토체의 포화시간을 나타낸 것이다. 그림에서 보는 바와 같이 주입관의 간격과 성토체의 전체가 포화되는 시간은 비례하는 것으로 나타났다. 주입관의 간격을 4m로 선정하기 위해서는 220kPa의 주입압이 요구되며, 주입관의 간격이 3m인 경우 상대적으로 다양한 주입압의 선정이 가능함을 알 수 있다. 그리고 주입압이 100kPa인 경우에는 주입관의 간격이 최대 2m이하로 선정해야 함을 알 수 있다.
한편 주입압이 낮을수록 성토체 전체가 포화되는 시간은 증가하며, 주입압이 160kPa 및 190kPa의 경우 포화에 이르는 시간 및 주입관의 간격이 크게 차이가 없는 것으로 나타났다.
이상의 결과를 종합하여 살펴보면 주입관의 간격 1.0m 및 주입압이 130kPa인 경우와 주입관의 간격 2.0m 및 주입압이 160kPa인 경우 상대적으로 낮은 주입압에서도 성토체 포화에 도달하는 시간이 빠른 것으로 나타났다. 그리고 주입관의 간격을 3.0m인 경우 성토체가 포화에 이르는 시간은 주입압이 130kPa, 160kPa 및 190kPa일때 유사한 것으로 나타났다. 따라서 경제성을 고려한 최적의 중화제 주입조건은 주입관의 간격을 3.0m로 하고 주입압을 130kPa로 선정할 수 있다.
5. 결 론
본 연구에서는 황철석 암버럭으로 시공된 성토체를 대상으로 산성배수 발생을 억제하기 위하여 중화제를 주입할 경우 최적의 주입방안을 제시하고자 한다. 성토체 내에 중화제 주입으로 인한 침투효과를 수치해석으로 검토하기 위하여 유한요소해석을 수행하였다. 수치해석의 경우 중화제 주입시 영향요인인 주입 간격, 주입압 등을 고려하였으며, 해석결과를 토대로 최적의 주입방안을 제안하였다. 이들 결과를 정리하면 다음과 같다.
(1)황철석 암버럭으로 조성된 성토체의 경우 산성배수로 인한 문제가 발생될 경우 중화제를 주입하여 내부의 황철석 암버럭을 중화시키는 방법이 가장 효과적이며 경제적이다.
(2)성토체내 중화제 주입에 대한 최적 조건을 선정하기 위하여 주입관의 직경을 50mm로 선정하고 주입관의 간격을 1-4m, 주입압을 100-220 kPa로 변화시키면서 침투해석을 수행하였다. 중화제로 인한 성토체 전체가 포화되는 시간은 주입관의 간격이 클수록 증가되고 주입압이 클수록 감소됨을 확인할 수 있다.
(3) 중화제의 주입관 간격 1.0m 및 주입압 130kPa인 경우와 주입관 간격 2.0m 및 주입압 160kPa인 경우가 상대적으로 낮은 주입압에서 성토체 전체의 포화 도달시간이 빠른 것으로 나타났다.
(4)성토체 전체의 포화를 위한 중화제 주입관의 간격은 3m인 경우 130kPa에서 190kPa까지 다양한 주입압을 적용할 수 있으며, 성토체의 포화 도달시간은 주입압에 상관없이 유사한 것으로 나타났다. 따라서 경제성을 고려한 최적의 중화제 주입조건으로 주입관의 간격은 3.0m, 주입압은 130kPa로 선정하였다.














