1. 서 론
2. 수치모델링 및 해석조건
2.1 수치모델링
2.2 해석과정 및 조건
3. 수치해석결과
3.1 지반조건과 선행하중에 따른 흙막이벽체의 수평변위
3.2 벽체의 최대수평변위와 작용축력 및 모멘트
4. 선행하중 적용범위 평가
4.1 수평변위비, 축력비 및 모멘트비의 변화
4.2 선행하중의 적용범위 결정
5. 결 론
1. 서 론
최근 지하공간의 활용화 사업뿐만 아니라 재개발과 재건축 사업으로 흙막이벽체의 시공이 증가하고 있고 이로 인해 인근 주요구조물의 침하, 변형 등의 문제 발생 시의 보강대책 등도 요구되고 있다. 흙막이벽체의 변형을 최소화하기 위한 방법 중 하나로 버팀 선행하중 공법은 벽체에 설치된 버팀보에 선행하중을 가하는 주동적으로 흙막이벽체의 변형억제를 위한 공법으로 현장에서 깊은 심도의 지반굴착을 위해 현장에서 많이 활용되고 있으며 효과적인 공법의 활용을 위해 몇몇 연구자들은 수치해석과 모형시험 등의 연구방법을 통해 버팀 선행하중에 대한 연구를 수행하였다.
Kim and Lee(2007), Lee et al.(2012), Lee(2018)의 연구결과에서도 알 수 있듯이 적절한 선행하중의 활용은 효과적으로 벽체변형을 억제할 수 있고, 공사비의 절감효과도 기대할 수 있다. 또한 제안된 흙막이벽체의 선행하중 크기는 연구결과에 따라 상이하게 제안함을 알 수 있는데, O’Rourke(1981)는 현장계측자료를 통해 버팀보에 작용하는 하중의 50%에 해당하는 선행하중을 제안한 바 있다. Hunt(1986)와 Hsai and Yang Fang(1991) 그리고 Puller(1996)도 동일한 선행하중의 크기를 제안하고 있다. 이에 반해 Mana and Clough(1981)는 수치해석을 통한 점토지반을 대상으로 연구결과를 통해 버팀보 작용하중의 50% 내지 100%를 Canadian Geotechnical Society(1992)는 작용하중의 100%를 적용토록 제안하였다. Yang and Oh(2000)는 현장계측과 탄소성해석의 결과를 종합적으로 비교, 분석하여 벽체의 버팀에 과도한 부재력이 발생하지 않도록 선행하중을 50%∼75%정도로 제안하였다. 이 같은 연구결과를 바탕으로 현장에서는 선행하중을 작용하중의 50%정도에서 관리함이 일반적이다. 또한 흙막이벽체의 변형은 벽체의 상단부보다 하단부에서 크게 발생하는 변형특성을 보이며, Baek(2002)의 연구결과에서도 알 수 있듯이 버팀보의 최대 작용축력의 발생위치가 굴착심도의 증가에 따라 하단부로 이동하게 된다.
즉, 지반조건, 지반굴착심도에 따라 버팀보에 작용하는 축력이 상이하고, 하단벽체에 설치된 버팀일수록 축력이 증가하게 된다. 따라서 하단벽체일수록 선행하중의 적용여부에 따라 벽체의 버팀구조에 영향을 끼칠 수도 있을 것으로 판단된다. 또한 굴착단계와 지반 조건을 고려하지 않고 기존 연구에서 제안하고 있는 선행하중의 범위인 약 50%∼70% 정도를 일률적으로 적용할 경우, Yang and Oh(2000)가 언급한 바와 같이 버팀에 과도한 부재력이 발생할 수도 있어 버팀구조의 안전성에 영향을 끼칠 수도 있을 것으로 판단된다. 이에 본 연구에서는 현장에서 많이 적용되고 있는 H-빔 토류벽체(H-빔+토류벽)에 H-빔을 버팀으로한 벽체를 대상으로 굴착단계 및 지반 조건에 따른 선행하중의 크기를 평가하고자 수치해석을 수행하였다.
2. 수치모델링 및 해석조건
2.1 수치모델링
만약 실제지반과 같이 다층지반으로 대상으로 연구를 수행할 경우 벽체에 작용하는 토압의 크기에 크게 영향을 끼칠 수 있는 특정 지층조건과 지층두께를 결정하기란 쉽지 않다. 또한 배면지반의 상태에 따라 버팀 선행하중의 크기를 결정하기 위한 본 연구목적에 부합하는 결과도출에도 문제가 있을 것으로 판단된다. 이 같은 사항을 고려해 본 연구에서는 단일지반에 설치된 버팀 흙막이벽체를 대상으로 연구를 수행하였다. 연구시 활용한 프로그램은 흙막이벽체의 안정문제에 많이 활용하고 있는 MIDAS NX(ver.3.20)이다. 수치모델링을 위해서는 벽체의 형식과 버팀의 간격, 지반조건, 배면지반의 영향범위 등을 고려해야 한다. 또한 연구목적에 부합하는 결과를 도출하기 위해서는 벽체의 버팀에 선행하중을 직접적으로 가하는 과정을 모사해야 하므로 버팀보와 띠장 등으로 구성되는 벽체의 버팀구조를 실제와 같이 모델링하는 것이 바람직할 것이다. 이에 본 연구에서는 3차원 수치모델링을 수행하였다.
흙막이벽체 설계 시 우선 고려되는 벽체가 H-빔+토류벽체이며, 이는 기존 벽체에 대한 시공사례가 다수이고 무엇보다 타 벽체에 비해 경제적임에 따른 것이라 할 수 있다(Choi and Park, 2006). H-빔+토류벽체 버팀간격은 Table 1에 보인 바와 같이 지반조건에 따라 상이하나, 20m이상의 깊은 심도 굴착 시 적용되는 버팀의 수직간격은 2.0m정도이다. 수평간격은 KGS(2006)에서 제안한 바와 같이 5m이내이고, 설계시 탄소성해석(2D GEOXD Program 활용)을 통해 적용하고 있는 간격은 4.0m이다. 또한 1단 버팀의 위치는 초기굴착 시 과굴착을 억제하여 벽체의 안정성을 확보하도록 벽체의 상단에서 1.5m이내에 위치함이 바람직하며(Choi and Park, 2006), 벽체의 하단은 H-파일의 변형억제를 위해 암반층 내에 근입, 설치함이 일반적이다. 벽체변형에 의한 배면지반의 지표면 영향범위는 Fig. 1에 보인 바와 같이 벽체높이의 4배정도이고(Clough and O’Rourke, 1990; Hsieh and Ou, 1998; Kung et al., 2007), 대부분의 지표변위는 벽체높이의 2배정도(d/He≈2.0)에서 발생한다.
Table 1.
Construction cases of braced cut wall
|
Construction site |
Excavation depth (m) |
Vertical space of strut (m) | Soil condition | Ref. |
| Site A | 6.40 | 2.8 | Silty clay, weathered rock | Ju (2013) |
| Site B | 20.5 | 2.75 | Colluvial soil, weathered soil and rock | Jung (2009) |
| Site C | 9.5 | 3 | Weathered soil and rock, weak rock | Jang (2001) |
| Site D | 18.5 | 2.13 | Deposit soil, residual soil, weathered rock, weak rock | |
| Site E | 22.2 | 2.23 | Deposit soil, weathered soil and rock | Jang (2001) |
| Site-F | 19 | 1.8 | Alluvial soil, weathered soil and rock | Hong et al. (1997) |
| Site-G | 19 | 2 | Silty clay, weathered soil and rock | |
| Site-H | 11.8 | 1.98 | Silty clay, weathered rock | |
| Site-I | 32.7 | 2.17 | Deposit soil, weathered soil and rock, weak rock | |
| Site-J | 20 | 2.44 | Colluvial soil, gravel, weathered soil and rock, weak rock | |
| Site-K | 16.8 | 2.22 | Weathered soil and rock, weak rock |
Fig. 2는 위의 사항을 고려해 계획한 지층조건과 흙막이벽체의 개요도를 보인 것으로 그림과 같이 모래, 풍화암층 지층조건을 고려하였다. MOLIT(2020)가 제안한 지하안전영향평가의 대상 심도를 고려해 굴착지반의 심도는 20m로 정하였으며, 단계별 굴착심도는 2.0m이다. 지반굴착을 위해 설치한 흙막이벽체는 측면말뚝 H-pile+토류벽(Timber plate, 두께=0.08m)이며, 측면말뚝인 H-빔의 규격(mm)은 300×300×10/15이다. 측면말뚝은 벽체의 배면지반에 발생하는 토압에 저항하는 구조체로 측면말뚝의 인접지반에서 발휘되는 수동토압을 활용하기 위해 현장에서는 풍화암층이상의 강도를 가진 지반에 설치함이 일반적이며, 특히 벽체에 토압이 크게 발생하는 대심도 굴착인 경우에는 더욱 그러하다. 따라서 이 같은 사항을 고려하여 풍화암층내 측면말뚝의 근입길이를 결정하기 위해 탄소성 해석(GEO-XD 활용)을 수행하였고, 이 결과를 통해 풍화암층내의 근입길이를 결정하였다. 이때 풍화암층에 근입길이는 3.0m이다. 버팀 1단은 Choi and Park(2006)이 제안한 사항을 고려해 벽체의 상단에서 1.5m이내인 1.0m로 결정하였고, 각단 버팀의 간격은 Table 1의 설계사례와 본 연구의 단계별 굴착심도(2.0m)를 고려해 2.0m로 결정하였다(Fig. 2). 이 같이 버팀구조를 결정할 경우 버팀 단수는 총 9단이다.
Fig. 3은 Fig. 2에 보인 지반조건과 흙막이벽체를 3차원 유한요소로 모델링한 것으로, 지반은 Fig. 3(a)에 보인 바와 같이 굴착토와 배면지반 모래 및 풍화암층이며, 적용한 모래층의 지반조건 SPT, N=5, 15, 25, 35, 45이다. 해석단면의 크기(폭×높이×길이, m)는 12×55×58이다. 해석단면 높이는 지반의 굴착심도, 굴착면의 하부지반에 설치되는 벽체높이, 단면하단에 적용되는 경계조건의 영향 등을 고려해 벽체높이의 2배 이상으로 정하였다(2·He=2×20= 40m≤해석단면 높이=55m). 단면길이는 Fig. 1의 결과와 굴착심도를 고려하여 정하였으며 단면 길이(L)는 58m이다.
지반요소는 Fig. 3(a)에 보인 바와 같이 사면체 솔리드 요소(Tetrahedral solid element)이다. 버팀 흙막이벽체와 인접한 지반요소는 조밀하게(요소 크기=1m), 해석단면 경계부에 인접한 지반요소는 느슨하게 형성시켰다(요소 크기=3m). 경계조건은 해석단면 측면의 경우 수평변위고정(y방향), 바닥면은 고정조건을 적용하였다. 또한, 모델링 지반의 수치해석모델은 Mohr-Coulomb’s model이다.
Fig. 3에 보인 버팀 흙막이벽체는 Fig. 3(b)에 보인 바와 같이 동일한 벽체구조를 모사하였고, 적용한 벽체의 해석모델은 Elastic model이다. 벽체의 버팀구조를 구성하는 버팀보, 띠장, 중간말뚝 그리고 벽체의 측면말뚝 요소는 1차원 빔요소(1D Beam element)로 모델링하였다. 모델링시 띠장, 중간말뚝, 버팀보와 측면말뚝 등 버팀부재는 현장에서 주로 활용되는 H-빔이다. 버팀보의 수직과 수평간격은 Fig. 3(b)에 보인 바와 같이 각각 2m와 4m로, 간격의 결정은 Table 1의 설계사례를 고려하였다. 토류벽체의 요소는 2차원 쉘요소(2D shell element)이며, 흙막이벽체의 실제거동을 모사하기 위해 벽체와 배면지반의 경계부는 인터페이스 요소를 적용하였다. 인터페이스 고려시 수직, 전단 탄성계수(Kn and Kt)는 식 (1), (2)와 같다(MIDAS, 2010).
여기서, Es와 Gs는 각각 흙의 탄성계수와 전단탄성계수를 의미한다. 또한 R과 tv는 강도감소계수와 가상두께로 MIDAS(2010)과 Shin(2015)이 제안한 것을 고려하여 목재/모래에 대한 강도감소계수 R과 가상두께 tv는 각각 0.80과 0.10을 적용하였다. 재료물성값은 지반분야에서 주로 활용되고 있는 값을 적용하였고(Bowles, 1997; USDA, 2010; Sim et al., 2015; Hwang and Lee, 2017), 이때 적용한 물성값은 Table 2와 같다.
Table 2.
Material properties
2.2 해석과정 및 조건
해석과정은 현장의 버팀 흙막이벽체 시공과정을 동일하게 모사하였고, 선행하중 적용여부에 따라 선행하중적용 시 시공단계는 버팀 및 흙막이벽체의 설치완료 후 버팀보에 선행하중을 가하는 과정을 추가 설정하였다. 선행하중은 Kim and Lee(2007)의 연구와 동일한 적용방법으로 버팀보에 선행하중을 가하는 방식으로 모사하였고, 선행하중의 크기는 선행하중 미적용시 버팀 작용축력의 0%∼100%에 해당한다.
벽체의 버팀에 가하는 선행하중의 크기는 벽체의 변형을 발생시키는 토압의 크기와 매우 밀접한 관계가 있다. 또한 토압의 크기는 배면지반의 강도특성과 관계되므로 이를 반영하는 해석조건이 요구될 것이다. Table 3은 해석조건을 보인 것으로, 지반조건과 선행하중에 따른 각단 버팀에 발생하는 작용축력과 모멘트 그리고 벽체의 변위를 조사하기 위해 지반조건과 선행하중의 크기를 달리 적용하여 해석을 수행하였다.
Table 3.
Analysis conditions
| Wall type | Soil condition, N | Excavation step | Preloading, P(%) |
|
Braced earth retaining wall (H-pile+Timber wall) | 5, 15, 25, 35, 45 | 1~10 step exc. | 0%, 10%, 30%, 50%, 70%, 100% |
또한 이 같이 구한 각 조건별 해석결과로 부터 굴착단계별 최대수평변위, 최대작용축력과 최대작용모멘트는 식 (3)∼(5)와 같이 수평변위비(Horizontal displacement ratio, HDR), 버팀보에 대한 축력비(Axial force ratio, AFR)와 모멘트비(Bending moment ratio, BMR)로 산정하였다. 식 (3)의 HDR은 선행하중의 적용여부에 따른 각단의 수평변위를 종합적으로 고려한 것이다. 식 (4)의 AFR은 해석결과로 부터 구한 각단 버팀보의 작용축력과 H-빔의 부재에 대한 허용축력(Allowable axial force, Pa; Table 4)을 나타낸 것이며 식 (5)의 BMR은 해석결과로부터 구한 각단 버팀보의 작용 모멘트와 H-빔의 부재에 대한 허용모멘트(Allowable bending moment, Ma; Table 4)를 함께 고려하였다.
Table 4.
Section characteristics of H-beam
| Type |
Section modulus, Z (mm3) |
Flexural rigidity, EI (kN・m2) |
Allowable axial force, Pa (kN) |
Allowable bending moment, Ma (kN・m) |
|
H-beam (300×300×10/15) | 1.36×106 | 42,840 | 1,075 | 185 |
여기서, dh(pre.0%)는 굴착단계별 선행하중 0%일 때의 벽체에 발생한 최대수평변위량, dh(pre.≤100%)와 dh(pre.100%)는 각각 선행하중 100%이하 또는 100%적용시 굴착단계별 벽체에 발생한 최대수평변위량이다. [dh(pre.0%)-dh(pre.100%)]step는 최대와 최소로 각단 버팀보에 발생한 수평변위차로 선행하중 적용으로 감소한 버팀의 최대 수평변형량을 의미한다. 또한 [dh(pre.0%)-dh(pre.≤100%)]step은 선행하중에 의해 감소한 버팀의 수평변위량을 의미한다.
식 (4)와 식 (5)의 Pa와 Ma는 부재에 대한 허용축력과 허용모멘트로, 탄소성해석으로 부터 조사한 결과 값이며, Table 4와 같다. 또한 Fa(max)와 M(max)는 유한요소 해석결과로 부터 구한 단계별 지반굴착시 버팀에 발생한 최대축력과 최대모멘트를 말한다. 식 (4)와 (5)의 [Pa-Famax]step과 [Ma-M(pre.)]step는 각각 부재의 허용력와 작용력의 차로 [Pa-Famax]step과 [Ma-M(max)]step가 같거나 상회하면 버팀의 안정성에 문제가 있음을 의미한다.
3. 수치해석결과
3.1 지반조건과 선행하중에 따른 흙막이벽체의 수평변위
Fig. 4는 지반조건과 선행하중에 따른 최종굴착단계에서의 흙막이벽체의 수평변위를 비교한 것이다. 지반조건 N=5이고 선행하중 0%인 경우의 벽체에 발생한 수평변위가 Fig. 4(a)와 같이 가장 크게 발생하였고, 선행하중의 증가로 벽체변위가 점차 감소하였다. 이 같이 선행하중의 증가에 의한 변위감소는 모든 지반조건에서 동일하였으며, 선행하중 100%적용시의 벽체변위가 가장 크게 감소하였다(Fig. 4(b)∼(e)). 이 결과는 Baek(2002)과 Kim and Lee (2007)의 연구시 벽체의 변위형상과 유사하며, 이는 굴착심도의 증가에 의한 토압증가로 최대변위의 발생위치가 벽체의 하단으로 이동한 결과이다. 특히 연약한 지반일수록 8단에서의 벽체변위가 크게 증가하는 경향을 보이는데, 이는 배면지반 전단강도의 감소에 의한 토압증가로 판단된다.
3.2 벽체의 최대수평변위와 작용축력 및 모멘트
Fig. 5는 최종굴착단계에서의 N치에 따른 흙막이벽체의 최대수평변위(dh(max)), 버팀보의 최대작용축력과 작용모멘트(Fa(max) and M(max))의 변화를 비교한 것이다. 최종굴착단계에서의 흙막이벽체에 발생한 최대수평변위는 Fig. 5(a)에 보인 바와 같이 지반조건 N치와 선행하중이 증가하는 경우 벽체의 최대수평변위가 감소하는 것으로 나타났으며 최종굴착단계에서의 각 조건별 벽체의 최대수평변위는 36.53mm∼74.35mm이었다. 최대작용축력은 Fig. 5(b)와 같이 버팀 8단에서 발생하였으며 그림과 같이 지반조건과 선행하중이 증가함에 따라 측력도 감소하는 경향을 보였다. 특히 지반조건이 양호할수록 선행하중 증가에 의한 축력 감소폭이 연약한 지반인 경우 보다 큰 것으로 나타났으며 최종굴착 시 버팀에 발생한 최대작용축력은 826.84kN∼1062.47kN이었다. 최종굴착단계에서의 버팀의 최대작용모멘트는 Fig. 5(c)와 같이 지반조건에 따른 최대수평변위와 축력이 감소하는 것과 같이 지반조건이 양호할수록 최대모멘트도 감소하였다. 이때 최대작용모멘트는 36.53kN・m∼74.35kN・m이었다.
이와 같이 지반조건이 양호하거나 선행하중이 증가할수록 벽체의 최대수평변위, 최대작용축력과 모멘트가 감소하는데, 이는 Fig. 4의 결과에서 보인 지반조건별 흙막이벽체의 수평변위의 형상을 통해 감소 원인을 유추할 수 있다. 양호한 지반에는 배면지반의 강도증가에 의한 토압이 감소하므로 벽체변형도 감소함을 알 수 있다. 이 같은 배면지반과 벽체의 거동특성에 의한 토압감소는 벽체변형을 억제하는 버팀에 전이되는 힘이 감소하게 되므로, 버팀에 작용하는 최대축력과 모멘트도 감소하게 된다. 또한 버팀에 가하는 선행하중의 작용방향과 벽체의 변형에 의해 작용하는 축력의 방향은 서로 반대이므로, 토압에 의해 발생하는 벽체변형을 억제시킨다. 따라서 이 같은 요인에 의해 양호한 지반조건이고 선행하중이 증가함에 따라 최대수평변위, 최대작용축력 그리고 최대작용모멘트가 감소하는 것으로 판단된다.
4. 선행하중 적용범위 평가
Yang and Oh(2000)는 선행하중 적용시 벽체의 버팀보에 과도한 부재력이 작용할 수 있음을 언급한 바 있다. 또한 MOLIT(2020)은 흙막이벽체의 안정성 평가 시 벽체변위와 버팀보의 부재력에 대한 평가를 수행해야 하고, 버팀의 작용력(작용축력과 모멘트)이 부재력(허용축력과 모멘트)의 90%이상이면 별도의 계측계획 또는 보강대책 수립이 요구됨을 제안한 바 있다. 이 같은 사항을 고려해 본 연구에서는 식 (3)∼(5)와 같이 각단 버팀에 발생한 수평변위비(HDR)와 축력비(AFR) 그리고 모멘트비(BMR)를 산정한 후, 선행하중에 따라 달라지는 각각의 비를 종합적으로 비교하여 분석하였다.
4.1 수평변위비, 축력비 및 모멘트비의 변화
4.1.1 선행하중에 따른 수평변위비(HDR)
Fig. 6은 해석결과를 통해 구한 단계별 지반굴착시 벽체의 최대수평변위를 식 (3)과 같이 산정하여 구한 굴착단계별 수평변위비(HDR(step))를 비교한 것이다. 굴착단계별 수평변위비, HDR(step)은 Fig. 6과 같이 지반조건에 따라 큰 차이를 보지 않으나, 선행하중이 증가함에 따라 변위비도 선형적으로 증가하였다. 또한 선행하중의 증가에 따른 수평변위비의 변화는 굴착단계별로 약간 상이한데, 굴착 2단계에서의 수평변위비, HDR(2step)은 Fig. 6(a)에 보인 바와 같이 선행하중이 증가함에 따라 선형적으로 증가하였다. 그러나 굴착 4단계이후 부터 선행하중이 증가함에 따라 굴착단계별 수평변위비, HDR(4~10step)도 증가하나, 선행하중 70%를 초과한 경우 수평변위비의 증가가 둔화되는 것으로 나타났다. 이 결과는 버팀 선행하중의 크기가 작용축력의 70%를 초과하면 선행하중 적용효과가 둔화됨을 보여주는 결과이고, Yang and Oh(2000)의 연구결과와도 유사하다. 즉, 벽체변위 측면을 고려하면, 효과적인 선행하중의 활용을 위해서는 선행하중의 크기를 70%이하로 관리해야 함을 보여준다.
4.1.2 선행하중에 따른 축력비(AFR)
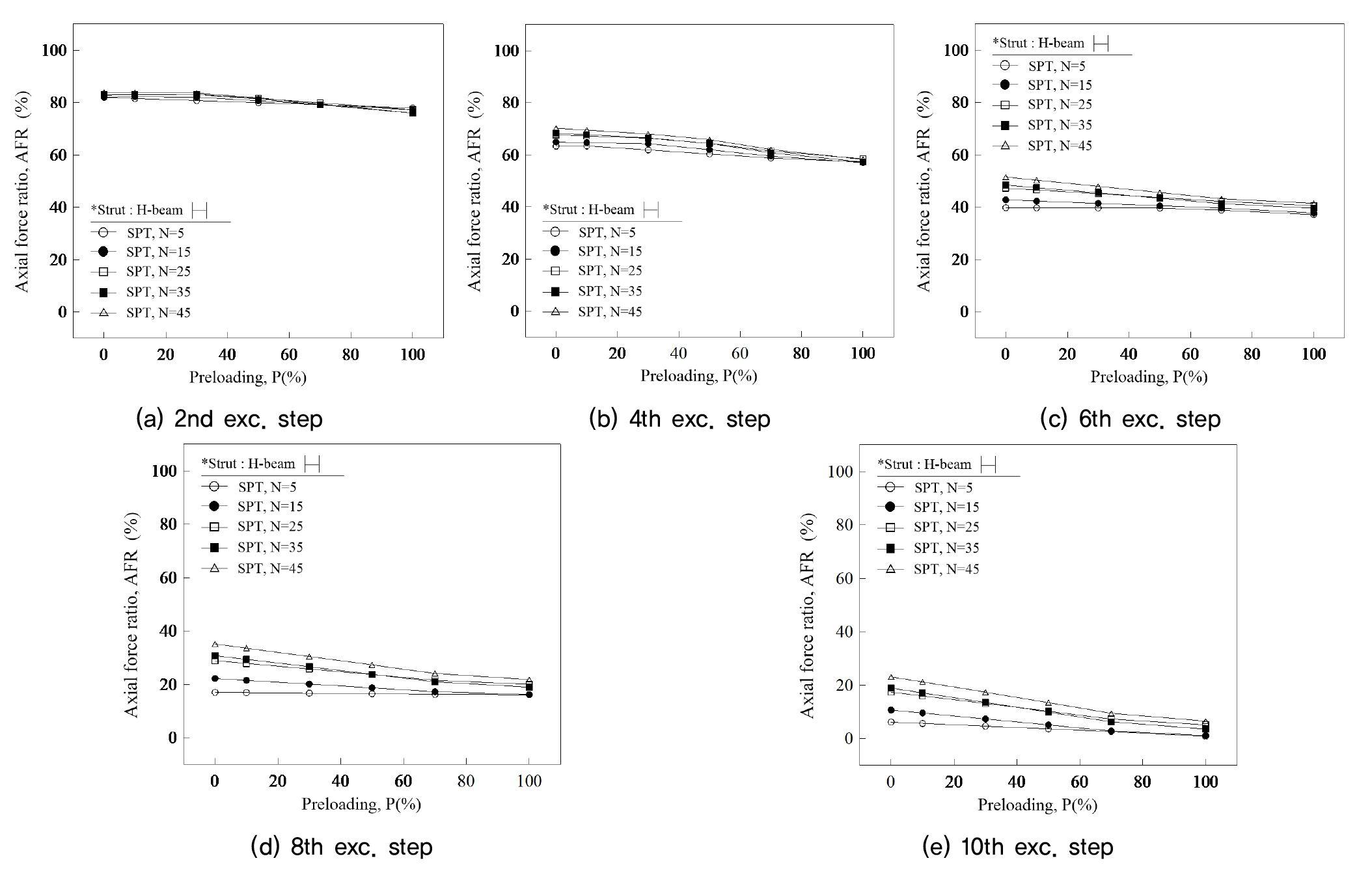
Fig. 7은 단계별 지반굴착시 버팀에 작용하는 최대작용축력과 부재의 허용축력(Table 4)을 함께 고려해 식 (4)를 통해 산정한 굴착단계별 축력비(AFR(step))를 비교한 것이다. 선행하중이 증가함에 따라 Fig. 7과 같이 굴착단계별 축력비, AFR(step)은 감소하는 경향을 보였고, 지반조건과 선행하중의 증가에 따른 축력비의 변화는 크지 않은 반면, 각단 버팀의 위치에 따라 축력비가 크게 감소하였다. 선행하중의 증가에 따른 2단 굴착시의 축력비의 변화는 Fig. 7(a)와 같이 유사하였으며 이때 축력비는 76.04%∼83.95%이었고 4단 굴착시의 축력비의 변화도 Fig. 7(b)와 같이 선행하중이 증가함에 따라 축력비가 감소하였고, 이때의 축력비는 57.01%∼70.21%이었다. 그리고 선행하중의 증가에 따른 6, 8단 굴착시의 축력비의 변화도 Fig. 7(c), (d)와 같이 감소하고, 이때의 축력비는 각각 37.12%∼51.43% 및 16.11%∼35.11%이었다 최종굴착인 10단 굴착단계의 경우는 선행하중의 증가에 따라 굴착단계별 축력비는 Fig. 7(e)와 같이 감소하며, 이때의 축력비가 0.79%∼23.08%로 단계별 굴착시의 축력비가 가장 작게 나타났다. 특히 10단계 굴착시 축력비들 중 지반조건 N=5이고 선행하중 100%인 경우의 축력비가 최소이고, 이때의 축력비는 0%에 근접하였다(AFR(10step-N=5-pre.=100%)=0.79%).
4.1.3 선행하중에 따른 모멘트비(BMR)
Fig. 8은 해석결과를 통해 구한 단계별 지반굴착시 버팀에 작용하는 최대모멘트와 부재의 허용모멘트(Table 4)를 함께 고려해 식 (6)과 같이 산정하여 구한 굴착단계별 모멘트비(BMR(step))를 비교한 것이다. 지반조건과 선행하중의 증가에 따른 2단계 굴착시의 모멘트비는 Fig. 8(a)와 같이 큰 차이를 보이지 않았으며, 이때 2단계 굴착시의 모멘트비는 79.31%∼84.67%이었다. 선행하중이 증가함에 따라 4단계 굴착시의 모멘트비는 Fig. 8(b)와 같이 증가하였고, 특히 지반조건이 연약한 경우 모멘트비의 증가가 뚜렷한 반면, 지반조건이 양호할수록 모멘트비의 증가가 둔화되는 것으로 나타났다. 이때의 4단계 굴착시의 모멘트비는 61.39%∼75.16%이었다. 6단과 8단계 굴착시의 모멘트비 변화는 Fig. 8(c), (d)와 같이 선행하중이 증가함에 따라 모멘트비도 증가하고, 두 경우의 모멘트비 변화가 유사하게 연약한 지반인 경우 모멘트비의 증가가 뚜렷한 반면, 양호한 지반인 경우 모멘트비의 증가가 연약한 경우보다 둔화되는 것으로 나타났다. 6단계 굴착시의 모멘트비는 55.66%∼73.67%, 8단계 굴착시의 모멘트비는 45.98%∼73.52%이었다. 10단계 굴착시의 모멘트비 변화는 6단과 8단계 굴착시 모멘트비의 변화와 유사하였으며(Fig. 8(e)), 이때 모멘트비는 42.03%∼73.53%이었다.
4.2 선행하중의 적용범위 결정
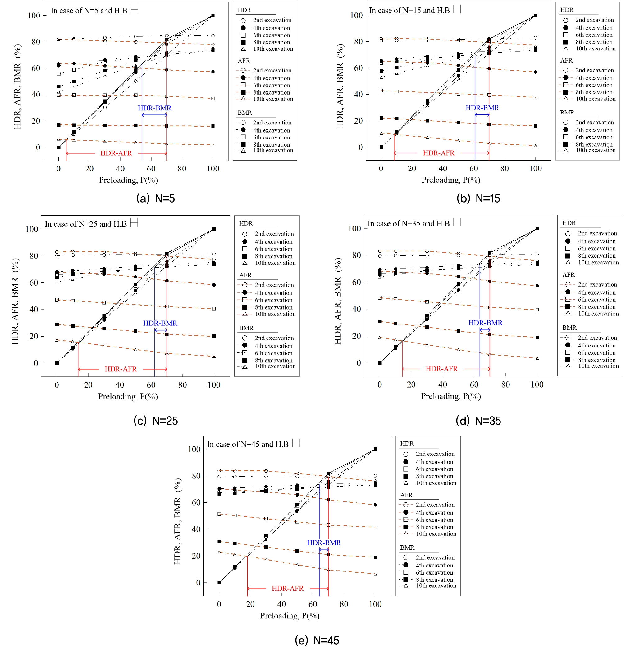
Fig. 9는 Fig. 6∼Fig. 8의 수평변위비(HDR), 축력비(AFR), 모멘트비(BMR)을 지반조건별로 종합하여 나타낸 것이다. 이들 결과를 비교한 바, 수평변위비와 축력비 그리고 수평변위비와 모멘트비가 서로 교차하는 영역이 형성되는 것을 확인하였다. 따라서 이들 수평변위비와 축력비의 관계(HDR-AFR)와 수평변위비와 모멘트비(HDR-BMR)의 관계로부터 해당하는 선행하중의 적용범위를 결정할 수 있다. 여기서 특이한 사항은 수평변위비와 모멘트비의 관계를 통해 구한 선행하중의 적용범위이다. HDR-BMR의 관계로 부터 구한 지반조건 N=5인 경우 선행하중 적용범위는 Fig. 9(a)에 보인 바와 같이 55%∼70%정도이다. 또한 지반조건이 양호할수록 HDR-BMR의 범위가 감소하고, 이에 해당하는 선행하중의 적용범위는 60%∼70%정도이다. 이 결과는 Yang and Oh(2000)이 제안한 선행하중의 크기(50%∼75%)와 유사한 결과로, 이들 관계를 통해 선행하중의 크기를 결정하는데 문제가 없을 것으로 판단된다.
동일한 방법으로 지반조건 N=5인 경우 수평변위비와 축력비(HDR-AFR)의 관계로부터 선행하중의 적용범위는 Fig. 9(a)와 같이 5%∼70%정도이고, 지반조건 N=15인 경우 Fig. 9(b)와 같이 10%∼70%정도였다. 지반조건 N≥25인 경우 수평변위비와 축력비(HDR-AFR)의 관계로부터 구한 선행하중의 적용범위는 Fig. 9(c)∼(e)에 보인 바와 같이 15%∼70%정도였다. 이 같이 HDR-AFR와 HDR-BMR의 관계로부터 선행하중의 적용범위를 비교한 결과, HDR-AFR의 적용범위가 HDR-BMR의 적용범위보다 큰 것을 알 수 있다. 이와 같이 선행하중의 적용범위가 크다는 것은 지반굴착심도가 깊어지고 선행하중을 적용함에 따라 각단 버팀 축력이 크게 작용함을 보여주며, 버팀의 최대축력이 부재력에 근접함을 의미한다. 즉, 본 연구에서 고려한 흙막이벽체는 선행하중 적용시 선행하중의 크기가 수평변위비와 축력비에 좌우되며, 지반조건과 선행하중의 크기에 따라 버팀의 안정성에도 문제가 발생할 수 있음을 보여준다.
Fig. 10(a)는 위와 같은 결과를 고려해 Fig. 7의 결과를 바탕으로 굴착단계별 평균축력비, [AFR]ave를 보인 것이다. 그림의 음영은 축력비 고려 시 선행하중의 적용범위를 나타낸 것이며, 이때 [AFR]=10%의 선행하중 불가영역(Not Applicable)은 MOLIT(2020)가 제안한 부재 관리기준을 고려해 설정한 영역이다. Fig. 10(b)는 HDR-[AFR]ave의 관계를 나타낸 것으로, HDR과 [AFR]ave의 접점을 각 굴착단계별로 적용 가능한 최적 선행하중의 크기로 결정하였다. Fig. 10(b)의 HDR-[AFR]ave그래프의 결과로부터 2단계 지반굴착 시 버팀에 적용 가능한 선행하중의 크기는 작용축력의 70%이고, 4단계 굴착 시 적용가능한 선행하중의 크기는 55%정도, 6단계 굴착 시 적용가능한 선행하중의 크기는 35%정도, 8단계 굴착 시 적용가능한 선행하중의 크기는 20%정도, 10단계 굴착 시 적용가능한 선행하중의 크기는 10%정도임을 결정할 수 있다. 이와 같이 결정한 선행하중의 크기는 굴착단계별 벽체의 최대변위와 최대작용축력과 작용모멘트를 함께 고려한 결과로 예비 설계단계에서 적용 가능할 것으로 판단되나, 흙막이벽체의 상세 설계단계에서는 세부적인 평가를 통해 선행하중의 크기를 결정함이 바람직할 것으로 판단된다.
5. 결 론
본 연구는 버팀 흙막이벽체(H-pile+토류벽)에 적용 가능한 선행하중의 크기를 평가하고자 배면지반의 조건과 버팀의 선행하중 크기를 달리하여 3차원 유한요소해석을 수행하였으며 선행하중의 크기를 평가하기 위해 수평변위비, 축력비 그리고 모멘트를 선행하중의 크기에 따라 종합적으로 비교, 분석하고 다음과 같은 결론을 얻었다.
(1) 굴착단계별 수평변위비는 지반조건에 관계없이 선행하중이 증가함에 따라 선형적으로 증가하였고, 초기굴착단계(본 연구시 2단계 이내 굴착)를 제외한 지반굴착단계에서의 수평변위비는 선행하중의 크기가 증감함에 따라 비례해 증가하나, 선행하중 70%이상부터 수평변위비의 증가가 둔화되었다.
(2) 수평변위비와 축력비(HDR-AFR), 수평변위비와 모멘트비(HDR-BMR)의 관계를 통해 선행하중의 적용범위를 비교한 바, 수평변위비와 모멘트비의 관계로부터 평가된 선행하중의 적용범위가 수평변위비와 축력비의 관계를 통해 평가된 적용범위 내에 존재하였으며, 이 결과를 통해 선행하중의 크기는 지반굴착시 발생한 벽체의 최대변위와 버팀의 최대작용축력에 좌우된다.
(3) 지반조건과 굴착단계별 벽체의 수평변위비, 버팀의 축력비와 모멘트비를 종합적으로 비교, 분석한 바, 수평변위비와 축력비(HDR-[AFR]ave)의 관계를 통해 굴착단계별 버팀에 적용가능한 선행하중의 크기는 2단계 굴착시 작용축력의 70%, 4단계 굴착시 55%, 6단계 굴착 시 35%, 8단계 굴착시 20%, 10단계 굴착시 10%인 것으로 나타났으며, 굴착심도가 증가할수록 적용가능한 선행하중의 크기는 감소하였다.
(4) 본 연구에서 제안한 방법을 통해 선행하중의 적용범위를 검토한 바, 연약한 지반조건이고 깊은 심도의 지반굴착을 수행하는 경우 버팀에 가한 선행하중의 크기에 따라 버팀의 최대작용축력이 버팀 부재력에 근접하였다. 이 결과는 깊은 심도에 설치된 버팀보에 선행하중을 가할 경우 버팀의 부재력에 근접하거나 상회할 수도 있음을 보여주며, 이에 깊은 심도에 설치된 버팀보의 경우 선행하중 적용시 주의가 요구된다.
본 결론은 3D수치해석을 통해 구한 연구결과를 바탕으로 도출된 것으로, 현장지반과 같이 다층지반인 경우 흙막이벽체의 변위형상이 연구결과와 상이할 수 있고, 이로 인해 벽체의 버팀보에 작용하는 작용축력과 적용 가능한 선행하중의 크기도 달라질 수 있으므로 이에 관한 추가 연구가 요구된다.












