1. 서 론
2. 이론적 배경
2.1 국내외 사면의 허용안전율 기준
2.2 사면안정 해석기법
2.2.1 사면안정 도표를 활용한 사면의 안정해석
2.2.2 Bishop의 간편법을 활용한 사면의 안정해석
3. 동결융해에 따른 흙의 전단강도 특성
3.1 실험방법 및 조건
3.2 동결융해 반복에 따른 흙 시료의 전단강도 특성
3.2.1 흙 시료의 특성
3.2.2 동결융해 반복에 따른 흙 시료의 전단강도 감소율
4. 해석조건
4.1.1 해석 단면 설정
4.1.2 해석 물성치 조건
4.1.3 사면안정 해석 결과
5. 결 론
1. 서 론
우리나라는 지리적인 특성상 중위도 온대성 기후대에 속하여 사게절이 뚜렷하다. 연평균 기온은 10~15
고 특히, 가장 추운달인 1월은 평균 –6~3
의 기온으로 분포하고 있어 동절기와 해빙기의 기온차가 큰 기후적 특징을 갖는 국내에서는 일정 깊이까지 동결, 융해 작용을 반복적으로 받아 흙의 역학적 특성의 변화를 갖게 된다. 동결이 진행된 이후에 온도의 상승으로 해빙이 이루어지면 얼었던 물이 녹으면서 함수비가 급격하게 올라감과 동시에, 동결과정의 부피팽창으로 간극비가 증가되어 있기 때문에 강성도는 급격하게 감소하게 된다. 흙이 동결되면 간극수의 9%정도가 팽창하고 흙이 일단 동결되면 고체 상태로 되나 융해되면 재차 소성상태의 연약한 지반으로 변화하게 된다(Shin et al., 2014). 특히 건조한 모래나 자갈보다는 실트와 같은 비교적 세립인 흙에서 이러한 거동이 쉽게 발생하게 된다. 이와 같은 동상 피해로 인한 문제들 특히, 동상으로 인한 융기현상, 동결 시 간극수의 움직임, 동결토의 물리적 역학적 특성에 대해서 선진외국의 경우에는 일찍이 많은 연구가 수행되었다(Hoekstra, P. and Dywayne M., 1965);Yong and Warkentin, 1975). 국내에서도 김영진 등(1998), 신은철 등(2003)외에는 거의 연구가 전무한 실정으로 동결토의 지반공학특성에 대한 전문적인 이해가 부족할 뿐만 아니라 우리나라보다 기후조건이 열악한 북한으로의 진출이 예상되는 바 이와 관련된 연구가 절실히 필요하다고 볼 수 있다(Shin and Park, 2003).
또한, 국내의 토지는 80% 이상이 산지의 형태로 되어 있어 건설공사시의 산악지역 인접 작업 및 토지의 절토 및 성토가 빈번하여 사면의 안정성 분석이 필연적이다. 이러한 상황에서 동결융해에 따른 지반의 강도감소는 산사태에 의한 피해를 증가시킬 수 있는 위험인자 중 한부분이나 국내에서는 이에 대한 연구가 미흡한 실정이다.
이 연구에서는 국내 도로 및 철도 노반 또는 사면 등의 일반적인 성토재로 사용되는 통일 분류법상의 SP와 SM계열의 흙 시료를 이용하여, 흙의 물리적 특성과 직접전단시험을 이용하여 동결융해에 따른 전단강도 특성 분석을 하였고, 이러한 결과를 이용하여 범용으로 사용되는 사면안정해석 프로그램인 Slope/W를 이용하여 토질의 조건에 따른 사면의 안전율을 산출하였다.
2. 이론적 배경
동결토는 흙 입자, 얼음, 공기, 흙 입자 표면에 흡착된 물로 구성된다. 물론 이러한 구성요소가 일정하게 분포되어 있는 것은 아니다. 동상의 경우 얼음은 렌즈모양의 덩어리로 형성된다. 부동수(unfrozen water)에 대해서는 입경이 큰 흙에서는 부동수는 감소하고 실트질 흙에서는 0℃에서 10~15%, 모래질 흙에서는 거의 0%에 가깝다(Kim et al., 2002). 부동수는 동상의 기본 구조를 설명할 때 중요한 요소이다.
동결토의 크리프 및 강도특성은 온도조건에 의하여 크게 좌우된다. 이는 흙 입자 사이에 존재하는 간극결빙수의 시간 종속적 성질과 온도변화에 따른 비동결 함수비의 차이에 기인하기 때문이다.
동결토나 영구동토에는 얼음성분이 포함되어 있기 때문에 소정의 하중이 작용하게 되면 흙 입자와 얼음사이의 응력은 접촉면에서 얼음의 융해 압력을 발생시키며, 이로 인한 표면수의 장력의 차이는 부동수를 응력이 작은 부분으로 이동시키게 된다. 이러한 과정에 의해 동결토에서의 소성변형, 결정의 재배치가 일어나 동결토에서는 시간 의존적 변형, 즉 크리프가 발생되며 모든 시료에 있어 하중의 재하속도가 작을수록 동결토의 강도는 작게 나타난다.
2.1 국내외 사면의 허용안전율 기준
사면의 최소안전율은 지역과 공사내용, 사면의 중요도, 사면파괴 시 주변에 미치는 영향 및 경제성에 따라 다르며, 사면안정 해석에 앞서 최소안전율의 선정은 매우 중요하며 최소안전율을 계산함에 있어서 지하수의 흐름과 토질의 물리적, 역학적인 성질(전단강도)을 어떻게 보는가에 따라 안전율은 상당한 차이를 보여준다.
허용안전율의 역할에는 먼저, 자료의 불확실성에 대한 대비수단이 있다. 이에는 강도정수의 불확실성, 하중의 불확실성, 파괴모델의 불확실성의 요인이 작용한다. 그리고 허용안전율은 사면 변형을 허용치 이내로 제한하는 기능을 가지고 있다.
허용안전율을 결정하는 기준으로는 전단강도의 특징, 사면의 기하학적 조건 및 기타조건에 대한 불확실 정도, 면의 경사를 완화시키거나 높이를 감소시키는데 소요되는 비용, 사면파괴시의 피해액과 결과, 사면이 영구 구조물인가 일시 구조물인가의 판단 등이 있다. Table 1은 국내외의 절토사면의 안전율 적용사례이다.
2.2 사면안정 해석기법
2.2.1 사면안정 도표를 활용한 사면의 안정해석
Fellenius 방법은 간극수압이 큰 완만한 사면을 유효응력 해석하는 경우 큰 오차를 유발한다. 이때에는 안전율이 과소하게 평가된다. 이 방법은 Ø=0 해석에서는 정해를 주게 되며 원호 활동 면에 대한 전응력 해석 결과도 상당히 정확하다. Bishop의 간편법은 원호 활동 면에만 적용할 수 있으며 절편 저면의 경사각
는 양(陽)과 음(陰)의 값 중 어느 것이나 될 수 있다. 만약 동일한 활동원에 대해 Bishop 간편법으로 구한 안전율이 Fellenius 방법으로 구한 안전율보다 적으면 Bishop 간편법에 수치적 문제점이 발생한 것으로 결론지을 수 있다. 이때에는 Fellenius 방법으로 얻은 안전율이 더 정확하다. 이러한 이유로 Bishop의 간편법을 쓸 때에는 Fellenius 방법으로 동일한 활동원에 대해 안전율을 함께 구하고, 두 값을 비교해 보는 것이 좋다.
2.2.2 Bishop의 간편법을 활용한 사면의 안정해석
Bishop의 방법은 정밀한 해석을 수행하기 위해 절편과 절편 사이에서 작용하는 전단력과 연직력을 고려하여 해석을 실시하는 방법으로서 정역학적으로 해를 얻기 위해 설정한 가정 때문에 정해가 될 수 없으나 구해진 안전율은 거의 정확치에 근접하므로 비탈면 안정해석에 주로 이용된다. 이와 같은 이유로 다양한 사면안정해석 수행에서 Bishop의 간편법이 많이 사용되고 있으며, 본 연구에서도 이용을 하였다. Bishop의 간편법에 의한 기본원리는 Fig. 1과 같으며 Bishop의 안전율 계산식은 식 (1)과 식 (2)에서 나타난 것과 같다.
(1)
(2)
여기서, W : 절편 흙의 전체중량(kN/m3), α : 경사각 (°), c : 흙의 점착력(kN/m2), b : 절편 폭(m), ∅: 흙의 내부 마찰각(°), ΔT: Tn-Tn+1 이다.
Bishop의 사면안정해석법은 ‘절편력의 합력의 방향은 수평
’이라고 가정하여, 계산이 비교적 간단한데 비하여 정밀한 방법과 비교하여 큰 차이가 없기 때문에 가장 많이 사용되는 해석방법이다.
따라서 이 연구에서는 사면안정해석 프로그램 중에서 많이 사용되고 있는 SLOPE/W 프로그램을 이용하여 비탈면의 안정검토 해석방법인 Bishop의 간편법을 적용하여 비탈면 안정성을 검토한 후, Ordinary, Janbu, M-P의 방법에의한 안전성과 비교 검토하였다.
3. 동결융해에 따른 흙의 전단강도 특성
3.1 실험방법 및 조건
동결융해에 따른 전단강도특성 분석을 위하여 시험에 사용된 공시체의 크기는 지름 6cm, 높이 12.5cm로 직경의 2배 이상이 되도록 원통형으로 공시체를 제작하였다. Table 2는 시험명과 실험 조건을 나타낸 것으로 Table 2에서와 같이 각 실험조건별 동결융해 반복횟수는 1회, 2회, 4회, 8회, 12회, 16회로 증가시켜가며 전단실험을 실시하였다. 전단시험의 공시체의 다짐도는 예비시험에서 구한 실내다짐실험의 최대건조단위중량의 90%로 결정하였으며, 다짐도를 맞추기 위하여 공시체를 총 5층으로 구분하여 다짐을 실시하였다. 함수비 변화는 5∼20 %까지 5%씩 변화시켜가며 함수비 변화에 따른 전단강도 변화 특성을 실험하였다. 동결융해 반복횟수에 따른 전단강도가 감소되는 것을 정량적으로 평가하였다. 동결융해의 1회 반복은 하루를 기준으로 -16˚C에서 12시간 동결과 20˚C이상에서 상온에서 12시간 융해를 적용한 공시체를 1회 동결융해로 정의하여 전단 강도 실험을 실시하였다. Table 3은 이번 연구에 사용된 내부 온도와 습도를 조정할 수 동결환경 챔버의 제원이다.
Table 3. Specifications of freezing chamber | ||
Composition | Capacity | |
Chamber | Size | 3.2 m × 3.2 m × 2.4 m (L × B × H) |
Range of Temperature | -20 ~ 10℃ | |
Unit cooler | Power | 5 HP |
Fan | 400 × 2 EA | |
Fig. 2 (a)는 공시체를 제작하는 전경을 나타낸 것이며, Fig. 2 (b)는 냉동챔버에서 공시체를 동결 및 융해시키는 과정을, Fig. 2 (c)와 (d)는 공시체 탈거 후 직접전단시험을 위한 시료를 성형하는 것을 나타낸 것이다.
3.2 동결융해 반복에 따른 흙 시료의 전단강도 특성
3.2.1 흙 시료의 특성
전단에 사용된 시료는 SM과 SP 2종류를 사용하였다. Table 4는 시험에 사용된 시료의 비중 및 입도 분석을 통한 균등계수와 곡률계수 그리고 200체 통과량, 액성한계, 소성지수 그리고 통일 분류에 의한 흙의 종류를 분류하였다. 이번 시험을 수행함에 있어서 공시체의 제작에 강도를 일정하게 유지하기위한 방법으로 사용된 D다짐을 통한 최적 함수비와 최대 건조 단위 중량을 나타내었으며 Fig. 3과 같다.
Weathered soil-1의 비중은 2.65로 산정되었으며 통일분류법에 의해 SP로 분류되었다. 최대건조단위중량은 19.73
, 최적함수비는 11.08%으로 산정되었다. Weathered soil-2의 비중은 2.68로 산정되었으며 통일분류법에 의해 SM으로 분류되었다. 그리고 소성지수는 1.2, 최대건조단위중량은 18.74
최적함수비는 13.6%로 산정되었다. Fig. 3(a)는 시험시료의 입도분포곡선을 나타낸 것이고, Fig. 3(b)는 다짐곡선을 나타낸 것이다.
| |
Fig. 3. Results of grain size analysis and compaction test | |
| |
Fig. 4. Results of shear strength test with water content according to freezing and thawing | |
3.2.2 동결융해 반복에 따른 흙 시료의 전단강도 감소율
동결융해 반복횟수에 따른 흙 시료(SP와 SM)의 전단강도 특성을 분석하기 위하여 함수비 5∼20%, 반복횟수 0∼16회, 수직응력 50∼150kPa의 조건으로 직접전단 시험을 수행하였으며, 그 결과는 Fig. 4와 같다. Fig. 4는 식 (4)와 같이 각각의 조건에 대한 최대 전단응력 값을 0회 반복하였을 때 최대 전단강도 값을 이용하여 응력감소율을 산정한 것이다.
(4)
여기서,
은 동결융해 반복횟수 0회일 때의 최대전단응력 값을,
는 동결융해 1∼16회의 반복횟수 일 때 각각의 최대전단응력 값이다.
Weathered soil-1(SP)와 Weathered soil-2(SM) 두 시료 모두에서 동결융해 반복횟수가 증가할수록 강도감소율이 크게 나타났으며, 수직응력이 증가함에 따라 강도감소율이 작아지는 것으로 나타났다. 이는 다짐이 되어있던 공시체내의 간극수가 동결융해에 따라 부피가 팽창, 감소를 반복하면서 흙 시료가 조밀한 상태에서 느슨한 상태로 변화된 것으로 나타났으며, 두 시료 모두에서 동결융해 반복횟수가 0∼8회까지 강도감소의 변화폭이 큰 것으로 분석되었다. SP시료 보다 SM에서 전단강도의 감소율이 더 크게 나타났고, SP 시료의 전단강도감소율은 약 8.2∼10.2%, SM 시료의 전단강도 감소율은 약 8.4∼10.6 %로 나타났다.
4. 강도감소를 고려한 사면안정 해석
사면안정은 흙 속에서 발생되는 전단응력과 흙의 전단강도를 비교함으로써 얻어진 안전율(factor of safety)을 근거로 안정성을 판단하며, 공학적인 측면에서는 최소안전율의 개념으로 표현하고 있다.
사면의 안정성을 판정하는 해석방법에는 한계평형해석 (limit equilibrium analysis), 한계해석(limit analysis), 확률론적 해석법 등이 있으나 본 논문에서는 정밀안전진단 시 주로 활용하고 있는 한계평형해석 방법의 하나인 절편법(slice method)을 이용하였다. 절편법은 예상 파괴활동면을 원호 또는 비원호로 가정하고 여러 개의 절편으로 나눈 다음 절편의 바닥에 작용하는 토괴의 활동에 대한 평형을 고려하여 최소안전율을 구하는 방법이다. 최소안전율을 산정하기 위하여 Geo-slope International Ltd의 SLOPE/W를 사용하였다. 안전율 계산은 Fellenius 방법, Bishop 간편법, Janbu 간편법, Spencer 방법, Morgenstern-Price 방법을 이용하여 비교 검토하였다.
4.1 해석조건
4.1.1 해석 단면 설정
동결융해 반복에 따른 지반의 강도정수의 감소가 토사비탈면의 안전율에 미치는 영향을 확인하기 위하여 Fig. 5과 같은 임의의 비탈면을 SLOPE/W에 구성하였다. 구성된 비탈면은 가로 폭과 높이가 각각 40m, 14m인 단면으로 비탈면의 경사는 1:2로 구성하였다. 이러한 단면의 지층은 하부단면과 상부단면의 2층 구조로 형성하고 지하수조건은 없는 것으로 가정하였다. 하부단면은 일정한 조건의 물성치 조건을 부여하고 상부 단면의 물성치를 동결융해 횟수에 따라 변화를 주어 사면안정해석을 수행하였다.
4.1.2 해석 물성치 조건
동결융해에 따른 전단강도는 함수비에 따라서 8.2%~10.2%사이의 값으로 감소율을 보인다. 이러한 조건을 사면안정성 해석조건에 반영하기위해서 시료 초기의 내부마찰각을 기준으로 전단강도 감소비에 따라 물성치를 적용하였다.
하부단면은 단위 중량은 18
이고, 점착력 c는 1 kPa, 내부마찰각
는 실내실험을 통해 25°를 적용하였다. 시료의 종류는 SP와 SM으로 함수비의 변화에 따른 동결융해의 반복에 의한 사면의 안전율 검토를 위하여 함수비는 10%와 20%의 두가지 조건으로 적용하였고, 동결융해반복횟수는 전단강도 감소율이 가장큰 반복횟수 16회와 초기상태인 0회를 대상으로 하여 비교・검토하였다.
4.1.3 사면안정 해석 결과
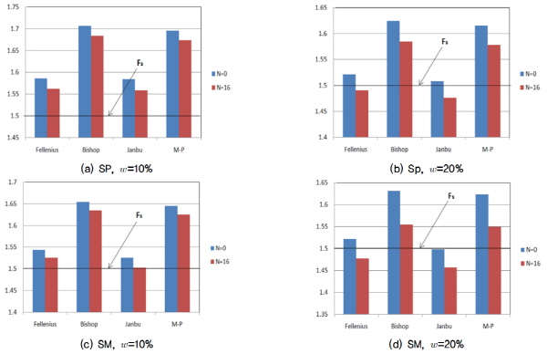
SP와 SM의 함수비 특성별로 최대 동결융해반복횟수와 최소 동결융해반복횟수의 직접전단시험 결과를 활용하여 물성치를 적용하여 사면의 안전율을 확인 하였다. Ordinary, Bishop, Janbu, M-P 방법에 따른 해석결과는 Fig. 6과 같다.
SP시료의 경우 동결융해반복횟수 증가에 따라 안전율의 감소는 함수비 10% 조건에서 0.89%~2.05%의 범위로 평균 1.29% 감소한 것으로 나타났으며, 20%의 조건에서는 2.32%~3.38%의 범위로 평균 2.86% 감소한 것으로 나타났다.
SM시료의 경우 동결융해반복횟수에 증가에 따라 안전율의 감소는 함수비 10% 조건에서 0.91%~1.64%의 범위로 평균 1.26% 감소한 것으로 나타났으며, 20%의 조건에서는 2.67%~4.62%의 범위로 평균 3.71% 감소한 것으로 나타났다. 동결융해반복횟수에 따른 안전율 감소율은 함수비가 더 큰 경우에서 더 큰폭으로 나타남을 알 수 있다.
SP와 SM 두 가지 모든 시료에서 함수비가 10%인 조건에서는 동결융해반복횟수가 증가하여도 안전율이 1.5이상으로 나타났으나, 함수비 20%인 조건에서는 Fellenius 및 Janbu에 의한 해석방법에서는 동결융해반복횟수가 증가함에 따라 안전율이 1.5이하인 것으로 나타났다.
4가지의 해석에서 안전율이 1.5이상으로 나타나는 경우도 있으나, 모든 경우에서 동결융해반복횟수에 따른 안전율의 감소경향이 나타났다. 따라서 동결융해 조건을 반영하여 사면안정해석시 기존의 안전율보다 낮게 나타날 수 있음을 유의해야한다.
5. 결 론
이 연구는 함수비가 다른 토질에서 동결융해가 반복되었을 때 전단강도 감소율의 변화가 사면의 안정에 미치는 영향에 대하여 검토하였다. 미립분의 함량에 따라 화강풍화토의 종류를 구분을 하고 이 시료를 함수비의 특성에 따라 구분한 후 동결융해를 반복하여 시험 하였다. 동결융해시험을 적용한 토질의 강도정수는 직접 전단시험을 통해 확인하였으며 사면안정 해석프로그램을 이용하여 사면의 안전율에 미치는 영향에 관해 다음과 같이 도출하였다.
(1)화강풍화토의 동결융해 반복에 따른 최대전단응력의 변화량은 최대전단응력 감소율은 동결융해 반복횟수가 8회일 때는 약 7%∼9%정도의 감소율을 보였으며, 반복횟수가 16회일 경우는 약 10%정도로 최대전단응력 감소율이 발생하는 것을 확인하였다.
(2)실험을 통하여 산정된 강도정수를 활용하여 사면안정해석을 실시한 결과 전체적으로 안전율의 감소가 나타났다. 이러한 감소는 함수비가 높을 경우에 더 뚜렷한 경향을 보였으며, 그 결과가 최소안전율기준에 미달되는 경우가 존재하였다. 설계 시 사면의 안전율 과대산정이 되거나 기준에 근접하게 나타는 경우 동결융해에 따라 사면의 붕괴 위험이 증가할 우려가 있다.
(3)토질의 동결융해 반복에 따른 안정성 해석 결과, 높은 함수비 조건에서 Fellenius의 방법으로 해석한 경우 두 종류의 흙 모두에서 안전율이 기준이하로 나타났으며 Bishop의 간편법에 의한 안전율보다 낮게 해석되었다. 이는 입력물성치 중 간극수압의 영향을 크게 받아 다소 과소평가된것이라 사료되나, 동결융해의 조건을 반영한 해석시, 안전율보다 낮게 평가될 수 있음을 유의하여 사면 설계시 적절하게 이를 반영해야 할 것으로 사료된다.









)
)
=10%
=10%
=20%
=20%
=10%
=10%
=20%
=20%
