1. 서 론
2. 공유수면 매립시설의 침하 안정성
2.1 폐석회 매립지반의 압밀침하량
2.2 폐석회 매립지반의 압밀소요시간
2.3 폐석회 매립지반 상부의 응력증가량
3. 현장조사 및 실험
3.1 공유수면 매립시설 폐석회층의 지반정수 산정
3.2 공유수면 매립시설 추가성토층의 지반정수 산정
4. 공유수면 매립시설의 성토에 따른 장기안정성 분석
4.1 압밀도에 따른 침하기간 및 침하량 분석
4.2 폐석회층의 응력 증가에 따른 장기안정성
5. 결 론
1. 서 론
공유수면 매립은 연약지역에서 부지를 확보할 수 있는 대표적인 수단 중의 하나이다. 1970년대 이후 공유수면 매립사업은 약 1,478지구 2,769km2의 규모로서 공유수면 매립 전체 계획면적의 26%가 매립지로 바뀌었다(Korea Maritime Institute, 2018; Shin et al., 2021a). 1990년대 이전에는 식량확보와 경제발전을 위한 농지확보와 산업시설단지 확충을 위해 공유수면을 매립하는 것에 대한 관심이 증대되었으나, 최근 환경성이 강조되면서 매립의 필요성에 대한 근본적인 검토요구가 증가하고 있다.
공유수면 매립사업은 장기적인 시간이 요구되고, 매립사업과 상부토지개발사업, 기타 환경기초시설 등 각각의 단계별로 환경평가가 시행됨에 따라 매립지 개발 전체에 대한 체계적인 환경성을 평가하는데 한계가 있다(Cha, 2014). 따라서, 최초 매립단계부터 자원의 보전, 환경영향의 저감 및 완화, 자원의 활용 및 복원 등 전체적인 환경성 평가에 대한 체계적인 지표개발이 필요하다. 본 연구에서는 공유수면 매립지의 도시개발 진행에 따른 부지내 폐석회 매립지의 성토 안정성 검토를 통해 부지 및 자원의 활용성을 검토하였다.
연구대상 매립지는 과거 공유수면에 폐석회를 매립하여 조성된 부지로서 장기간 폐석회 적치로 인해 도시미관을 저해하고 건전한 도시조성을 지연시키는 요인으로 작용하여 왔다. 도시문제 해결을 위해 그동안 공동협의회 구성(1997년), 시민위원회 구성(2003년) 등을 통해 폐석회 적정처리를 위한 방안을 모색하여 왔으며, 2005년 환경성 평가를 통해 폐기물처리시설 설치, 조경녹지지설 설치가 승인됨으로써 폐기물처리시설이 완공되어 현재에 이르고 있다.
본 연구에서는 최근 도시조성에 따른 매립부지의 임시적치장 사용가능성을 확인하기 위해 추가성토에 따른 매립지 안정성을 검토하였다. 공유수면 매립지 일대를 중심으로 굴착사업이 진행됨에 따라 토사의 임시적치에 따른 폐석회 매립지반의 침하거동을 예측하였다.
폐기물 매립시설의 구조는 바닥차수층, 폐석회층, 최종복토층으로 구성되어 있다. 공유수면 원지반 상부에 점토와 HDPE로 차수층을 조성하고, 상부에 약 9.0m 두께의 폐석회를 매립하였다. 최종 복토층은 0.5m 두께의 다짐점토 차수층과 지오컴포지트 배수층을 설치하였다. 최종적으로 상부에 1.0m 두께의 양질토사를 복토하여 식생이 가능하도록 하였다. 폐석회 매립지의 차수구조는 Fig. 1과 같다(Hyundai E&C, 2010; Kim, 2008).
2. 공유수면 매립시설의 침하 안정성
2.1 폐석회 매립지반의 압밀침하량
압밀침하는 1차 압밀침하와 2차 압축침하로 나뉜다. 1차 압밀침하는 지반의 횡적변위를 구속하여 수직변위만 허용한 상태에서 유효응력이 증가하면 지반의 간극비는 감소한다는 가정하에 유도된 1차원 열방정식이며, 과잉간극수의 소산에 따라 발생하는 침하이다. 간극비가 높은 경우 침하량은 하중증가에 따라 선형적으로 비례한다. 간극비 변화에 따른 침하량 관계식은 식 (1)과 같다.
여기서, Sc는 압밀침하량(cm), eo는 초기간극비, △e는 간극비의 변화량, 그리고 H는 압밀층의 두께(m)이다.
2차 압축침하는 간극수의 소산이후 흙입자의 소성적 재배열에 의해 발생하는 침하로, 점토 또는 유기질토에서 주로 발생한다. 일반적으로 과압밀 점토는 0.001이하, 정규압밀점토는 0.005~0.03, 유기질토의 경우 0.04 이상의 값을 갖는다(Das, 2022). 대수눈금에 대한 2차 압밀침하의 압축과정은 선형이며 식 (2)와 같이 산출할 수 있다.
여기서, Ss는 2차 압밀침하량(cm), Cα는 2차 압밀계수, ep는 1차압밀 종료시의 간극비, t1, t2는 시간, 그리고 H는 압밀층의 두께(m)이다.
2.2 폐석회 매립지반의 압밀소요시간
연약지반의 압밀침하는 성토하중에 의해 지반내 과잉간극수압이 완전히 소산되었을 때 압밀이 완료된다. 압밀침하 시간은 대상지반의 특성에 따라 달라지는데 침하시간에 가장 큰 영향을 미치는 요소중 하나는 간극수의 배수거리이다. 배수거리는 연약층의 두께와 연약층 하부지반의 배수조건에 따라 달라지며, 이 연구에서는 폐기물층 하부에만 배수시스템이 설치되어 있어 일면 배수조건을 적용하여 검토하였다. 압밀소요시간은 식 (3)으로 계산한다.
여기서, Cv는 압밀계수(cm2/sec), H는 압밀층 두께(m), Tv는 시간계수를 나타낸다.
평균압밀도(U, %)에 따른 시간계수(Tv)는 Terzaghi의 간이 계산식을 적용하였으며, 압밀도 53% 미만인 경우 시간 t에서의 압밀도와 침하량은 식 (4)를 이용하여 산정한다.
2.3 폐석회 매립지반 상부의 응력증가량
균일한 지층에서 다양한 하중에 의한 응력분포는 Boussineseq 해법에 근거하여 응력증가량을 산정한다. 매립지반은 조립토로 구성된 복토층, 토목섬유 차수재, 세립토로 이루어진 매립층이 존재한다. 따라서, 균일한 지층보다는 층상지층의 응력증가량을 고려할 필요가 있다. Westergaard는 포아송 비(Poisson’s ratio)가 다른 층상지반의 집중하중에 대한 연직응력을 구하는 해법을 식 (5)~식 (7)과 같이 제안하였다(Westergaard, 1938).
여기서, P는 단위면적당 작용하는 성토에 의한 상재하중(kPa)을 나타낸 것이며, z는 층두께(m), I1은 영향계수이다. r는 영향반경(m)이며, η는 흙의 포아송 비에 관한 계수를 나타낸다.
포아송 비에 따른 영향계수의 변화값은 Table 1과 같다.
Table 1.
Various influence factors of I1 due to Poisson’s ratio(Das, 2022)
| Influence factor, I1 | |||
| µs=0 | µs=0.2 | µs=0.4 | |
|
0 0.1 0.2 0.3 0.4 0.5 |
0.3183 0.3090 0.2836 0.2099 0.1733 0.1411 |
0.4244 0.4080 0.3646 0.3074 0.2491 0.1973 |
0.9550 0.8750 0.6916 0.4997 0.3480 0.2416 |
복토된 토사의 포아송 비는 Chen and Kulhawy가 흙의 강성지수 추정에서 제안한 식 (8)을 이용하여 근사값으로 적용하였다(Chen and Kulhawy, 1994).
복토된 시료의 내부마찰각은 직접전단측량 결과와 상대밀도, 단위중량 관계 도표(US Navy, 1986)를 이용하여 적용하였다. 조립토 내부마찰각의 일반적인 값은 Fig. 2와 같다.
3. 현장조사 및 실험
3.1 공유수면 매립시설 폐석회층의 지반정수 산정
공유수면내 폐석회 매립시설의 매립장 전체면적은 약 3,450,000 m2로 부지 내에 적치되어 있는 5,800,000m3의 폐석회를 탈수 및 건조하여 4,00,000m3의 부지에 매립하였다. 이 연구에서는 매립완료부지에 임시적치할 수 있는 토사의 수량을 산정하기 위해 추가성토시 시간경과에 따른 침하거동을 분석하였다. Fig. 3은 폐석회 매립시설의 전경을 나타낸 것이다.
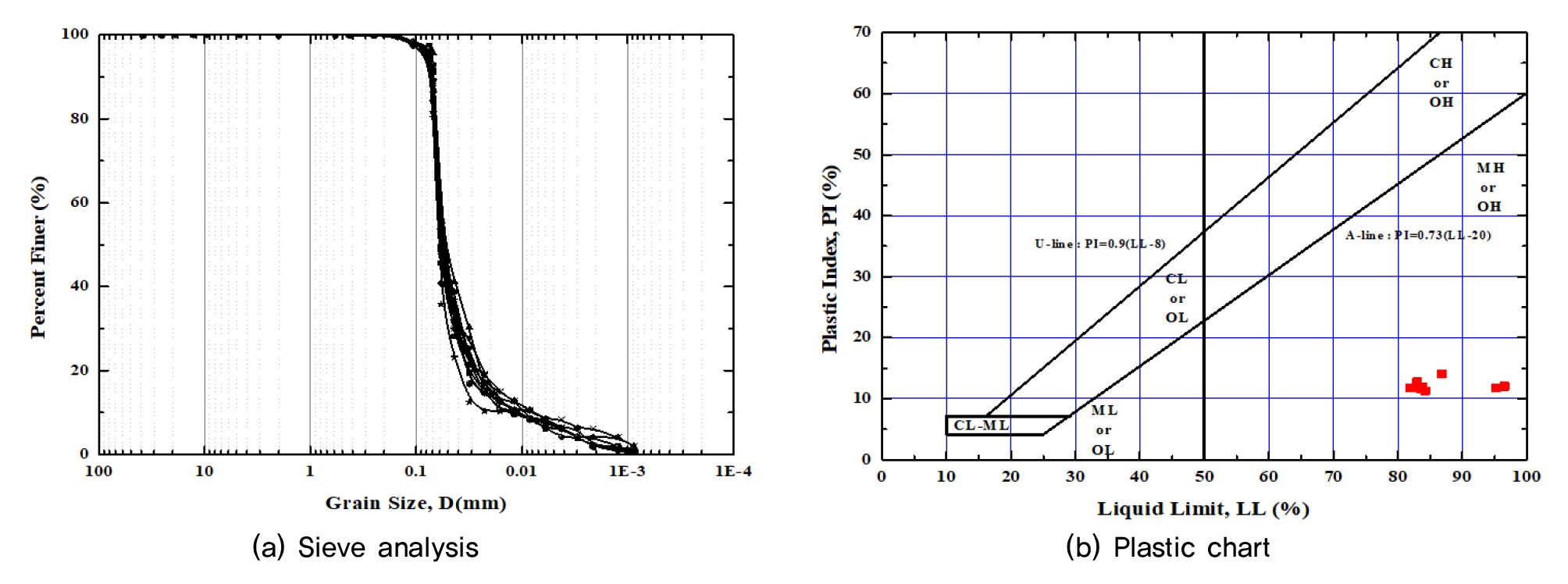
매립장 폐석회의 물리적 특성 시험결과 함수비는 72.26%로서 인천지역의 점토 및 실트질 토질에 비해 높게 나타났으며, 비중은 2.24로서 실트나 점토가 가지는 값보다 낮게 나타났다. 폐석회의 토질특성은 MH 계열의 토질로 1차 압밀침하가 주로 발생할 것으로 예상되었으며, 복토재로 사용한 토질은 SP 계열의 토질로 즉시침하가 주로 발생하는 토질에 해당한다. 폐석회 매립시설을 구성하는 토사의 물리적 특성시험 결과는 Table 2와 같다.
Table 2.
Physical properties of the waste landfill material
| Soil Type |
Water Content, wn(%) |
Gravity, Gs |
Liquid Limit, LL(%) |
Plastic Index, PI(%) |
Passing Ratio, No. 200 | USCS |
| Waste lime | 72.26 | 2.24 | 83.77 | 11.92 | 95.7 | MH-OH |
| Cover soil | 14.58 | 2.61 | 30.92 | 12.2 | 6.1 | SP-SC |
소성도에 따른 토질분류 결과 폐석회는 MH-OH로 분류되었으며 비중계분석 결과 침강되는 대부분의 입경은 대부분 실트질로 나타났다. 토질분류 및 입도분석 결과는 Fig. 4과 같다(Shin and Lee, 2016).
폐석회의 부피감소 현상은 간극을 채우고 있는 공기의 수축이나 간극수의 배수에 의해 발생하게 된다. 이 연구에서는 폐석회에 대한 1차원 압밀시험(KS F 2316, 2017)을 통해 압축지수, 선행압밀하중, 체적압축계수, 압밀계수를 산정하여 침하량과 침하속도를 예측하였다.
선행압밀하중은 0.36~0.44으로 나타났으며 폐석회 지반의 압축지수는 0.594~0.602, 과압밀비(OCR)은 0.479로서 압밀이 진행중인 점토의 특성을 보인다.
1차원 압밀이론에 근거할 때, 폐석회 매립층의 침하거동은 저소성의 미압밀단계에서 정규압밀단계로 진행중인 상태에 있는 것으로 나타났다. 2차 압축지수는 정규압밀점토가 가지는 범위에 있으므로 유기질 영향에 의한 압밀보다 1차 압밀에 의한 침하가 주로 발생할 것으로 판단된다. 압밀시험에 의한 결과값은 Table 3과 같다.
일축압축시험(KS F 2314, 2018)을 이용하여 복토층 하부의 내부마찰각과 점착력을 확인하고 전단저항각을 추정하였다. 토사의 강도정수는 Table 4와 같다.
Table 3.
Consolidation parameter of the waste lime
Table 4.
Mechanical properties of the soil layer at the waste landfill
| Soil layer | Unit weight, γ(kN/㎥) | Cohesion, C(kN/㎥) | Internal friction angle, ϕ(°) | Remark |
| Cover Soil | 17.0 | 20.0 | 25 | |
| Waste Lime | 14.0 | 40.0 | 20 | PI=11.92 |
| Weathered Soil | 19.0 | 10.0 | 30 | |
| Weathered Rock | 20.0 | 50.0 | 33 |
3.2 공유수면 매립시설 추가성토층의 지반정수 산정
성토층의 토질특성을 확인하기 위해 전단강도시험, 현장베인전단시험 일축압축시험을 하였다. 현장베인전단시험과 일축압축시험은 현장조건과 부합하지 않지만, 시험방법이 간단하고 지반의 전단강도 시험결과를 바로 확인할 수 있다.
현장베인전단시험(KS F 2342, 2016)은 베인을 지중에 넣은 후 일정한 속도로 베인을 회전시켜 상부 비틀림값으로 전단력을 구한다. 흙의 소성이 클수록 실제 비배수 전단강도는 과대평가하는 경향이 있으며, Bjerrum(1974)은 소성지수에 따른 전단강도 보정식을 제안하였다.
일축압축시험은 시험중 시료의 교란이 불가피하여 실제보다 안전측의 일축압축강도를 구할 수 있지만, 불포화지반의 경우 과소평가되는 경우가 많다. 일축압축시험은 현장베인전단시험 결과와 유사한 값을 도출하였다.
직접전단시험(KS F 2343, 2016)은 전단중 최대주응력의 방향이 변하므로 정확한 지반정수를 얻기 어려우나 삼축시험 결과와 크게 차이가 나지 않으므로 자주 이용하는 시험법이다. 직접전단실험 결과 내부마찰각은 33°, 점착력은 약 30kPa로 나타났다. Fig. 5는 토사성토층의 역학적 특성시험 결과이다.
성토시료의 토질특성 시험 결과 함수비 15%, 비중 2.65, 단위중량 17kN/m3으로 확인되었다. 입도분포는 균등계수가 15.7, 곡률계수가 1.3으로 입도분포가 양호한 모래질 특성을 나타낸다. #200 통과량이 8.25%로서 조립토이나 5%~13% 범위에서 실트질 성분이 확인되어 실트질과 모래질이 혼합된 토질특성을 보인다. Table 5는 폐석회매립장 상부 성토시료의 물리적 특성값이다.
4. 공유수면 매립시설의 성토에 따른 장기안정성 분석
4.1 압밀도에 따른 침하기간 및 침하량 분석
기존 폐석회 매립층 하부지반은 풍화토 이상의 견고한 지층으로 확인되어 원지반의 탄성침하나 압밀침하량은 매우 적게 나타났다. 상부 폐석회의 경우 실트질로서 1차 압밀침하가 크게 발생하였다.
폐석회 매립층은 초기간극비가 1.606이고 압축지수는 0.602, 수직압밀계수는 6.28×10-4cm2/sec로 인천지역 점토가 가지는 일반적인 특성에 비해 값이 큰 것으로 확인되었다. 체적압축계수(mv)는 4.98×10-4cm2/kN, 투수계수(k)는 1.42×10-6cm/sec로 실트질 특성을 보인다. 폐석회 매립층과 복토층의 지반정수는 Table 6에 정리하였다.
Table 6.
Consolidation properties of the waste lime landfill
압밀침하계산은 압축지수를 이용한 방법(Cc법), 간극비를 이용한 방법(△e법), 체적압축계수를 이용한 방법(Mv법)이 있다. 압밀곡선은 e-log p 곡선, log p-log Cv 곡선, log mv–log p 곡선을 이용하여 하중에 따른 간극비, 체적, 투수계수의 변화를 확인하였다. 간극비-하중 관계 그래프와 체적압축계수-하중의 관계 그래프는 하중이 증가함에 따라 체적이 완만하게 감소하는 경향을 보인다. Fig. 6은 폐석회 매립지의 하중재하에 따른 압밀거동을 나타낸 것이다.
상부 복토층의 층두께는 1.5m로서 사질토층으로 즉시침하만 발생하므로 Debeer(1967) 식이나 Hough(1966) 도표법에 의해 탄성침하 계산을 수행하였다.
토사성토시 운영기간을 5년 이내로 할 때 토사성토 후 1년 경과시 13.11cm, 5년 경과시 29.32cm의 압밀침하가 발생할 것으로 예상되었다. 매립지반의 압밀도에 따른 침하량은 Table 7에 제시한 바와 같다.
Table 7.
Consolidation period and settlement with degree of consolidation
| Period(year) | 1 | 2 | 3 | 4 | 5 |
| Degree of consolidation(%) | 8.82 | 12.48 | 15.28 | 17.64 | 19.73 |
| Settlement(cm) | 13.11 | 18.55 | 22.71 | 26.21 | 29.32 |
4.2 폐석회층의 응력 증가에 따른 장기안정성
매립지 상부는 다짐점토, 토목섬유배수재, 복토층으로 구성되어 있기 때문에 추가성토시 폐석회에 가해지는 응력증가량은 균질한 상태의 토질에서 발생하는 응력증가량과는 다른 거동을 보일 것으로 예상되므로 층상구조에 압밀응력이 작용하는 조건을 고려하였다.
복토층의 두께는 1.5m, 복토의 단위중량은 19.2kN/m3, 폐석회의 단위중량은 14.5kN이다. 이때, 단위중량이 17.0kN인 성토재를 9m까지 성토할 때, 폐석회층 중심의 초기 유효상재응력은 69.3kPa, 응력증가량은 153kPa로 산정되었다. Table 8은 성토에 따른 압력증가량 산정결과를 나타낸 것이다(Shin et al., 2021b).
성토하중은 직사각형 면적에 작용하는 등분포 하중으로 가정하였다. 균질한 지반에서 직사각형 등분포하중의 응력증가량은 집중하중에 의한 응력증가량을 면적에 따라 적분한 값이다. 따라서, 점하중으로 유도된 집중하중은 전체 면적중 단위면적에 작용하는 집중하중으로 볼 수 있다.
Table 8.
Increase of vertical pressure due to the additional embankment soil
층상구조로 가정한 복토층 하부 폐석회 매립층의 응력증가량은 Westergaard(1938)에 의한 방법으로 추정하였다. 폐석회 층에 가해지는 응력증가량을 산정하기 위해 압밀실험을 통해 도출한 초기 유효상재 응력과 증가응력을 단위면적당 하중으로 적용하여 보강된 지층의 응력증가량을 추정하였다. 복토된 토사의 포아송 비는 식 (8)을 이용하여 근사값으로 추정하였다. 포설될 재료의 내부마찰각은 US Navy(1986) 도표를 이용하여 단위중량이 19.2kN/m3일 때 내부마찰각을 37°로 추정하였다. Table 9는 영향계수의 변화값을 이용하여 산출한 응력증가량 계산결과이다.
Table 9.
Incremental stress by Poisson’s ratio(Westergaard, 1938)
| Additional loading, P(kPa) | Poisson’s ratio, µs | Influence factor, I1 | Incremental stress, △σ(kPa) | Remark |
| 153 | 0.20 | 0.4244 | 28.9 | |
| 0.28 | 0.5209 | 35.4 | Eq. (8) | |
| 0.40 | 0.9550 | 64.9 |
상재압력이 153kPa 증가한 경우 Westergaard(1938)에 의한 응력증가량은 35.4kPa로 산정되었으며, 폐석회층의 응력증가량은 88.5kPa로 예상되었다. 연약층의 표층이 토목섬유로 보강된 경우 응력증가량은 보강되지 않은 경우의 응력증가량 보다 약 40% 감소되는 것으로 추산되었다.
식 (1)과 추가성토에 따른 응력증가량인 153kPa를 적용하였을 경우 폐석회 매립층에 작용하는 총침하량은 약 148.6cm가 될 것으로 예상되었다. 이 침하는 주로 1차 압밀에 의해서 발생한다. 따라서, 과도한 부등침하가 발생하지 않도록 성토속도 및 성토높이를 관리할 필요가 있다.
일반적으로 정규압밀점토의 경우 내부마찰각은 시료의 소성지수가 증가함에 따라 감소하는 경향을 보인다. Skempton(1964)은 점토입자가 섞인 다수의 점토질 흙에 대해 잔류마찰각의 변화에서 점토가 100%인 시료의 내부마찰각은 7.5°로 제시한 바 있다. 실내실험을 통해 매립지내 폐석회층의 소성지수는 11.92, 내부마찰각은 20°임을 확인하였다. 이 값은 Sorensen and Okkels(2013)가 제안한 정규압밀토와 소성지수의 상관도표와 비교하였을 때 좌측 하단에 분포하는 것으로 나타났다. 소성지수가 낮은 원인은 폐석회에 흡착된 간극수가 배수되지 않고 수분함량을 높이기 때문인 것으로 판단된다.
실내실험에 의한 폐석회의 액소성값을 고려하였을 때 폐석회의 배수마찰각은 20° 내외로 추정할 수 있다. 실험으로 확인된 폐석회의 점착력 40kPa을 고려하였을 때, 매립지 내부의 전단강도는 대략 120kPa로 내외로 추정할 수 있다. Fig. 7은 정규압밀점토의 소성지수와 내부마찰각의 상관관계를 바탕으로 폐석회 매립시설의 폐석회 특성을 비교한 것이다.
5. 결 론
이 연구에서는 공유수면 매립지내 폐석회 매립시설의 추가성토에 따른 장기침하거동을 분석하였으며 , 주요 결론은 다음과 같다.
1. 공유수면 매립시설의 지속가능한 개발을 위해 실험을 통해 토질역학적 다양한 인자를 제시하였다. 매립부지의 성토활용을 위해 폐석회의 1차원 압밀특성을 확인하고, 시간에 따른 침하거동을 분석하였다. 또한, 공유수면 매립지역에서 공통적으로 나타나는 연약지반의 특성인자를 활용하여 역학적 거동을 예측하였다.
2. 폐석회 매립시설의 추가성토에 따른 복토층 하부의 응력증가량을 분석하여 안정성을 확인하였다. 토목섬유로 보강된 매립층을 대상으로 층상지반의 응력증가량을 예측함으로써 보다 정량적인 침하량 예측방법을 제시하였다. 연약층의 표층이 토목섬유로 보강된 경우 보강되지 않은 경우보다 응력증가량이 약 40% 감소되는 것으로 추산되었다.
3. 점토의 소성지수와 배수마찰각의 상관관계를 이용하여 폐석회의 소성지수와 내부마찰각을 비교한 결과 실험군은 주로 좌측 하한에 위치하는 것으로 나타났다. 이는 폐석회의 과압밀비가 1 이하인 것과 거동이 일치한다. 따라서, 폐석회 매립층의 침하거동은 저소성의 미압밀단계에서 정규압밀단계로 진행중인 상태에 있으므로, 폐석회매립층의 장기적인 침하거동은 더 증가하는 경향을 보일 것으로 판단된다.









