1. 서 론
2. 시험의 계획
2.1 시험체의 형상
2.2 지반조건별 시험계획
2.3 계측기 설치계획
3. 지반정수 산정
3.1 설계지반정수 산정 방법
3.2 설계지반정수 산정 결과
4. 지반 및 하중조건에 따른 거동 분석
4.1 A지역 거동 분석
4.2 B지역 거동 분석
5. 결 론
1. 서 론
사회기반 시설물에 대한 역사와 경험이 깊이지면서 보다 경제적이고 합리적인 설계법의 변화를 요구하고 있다. 이에 맞추어 90년대 이후 북미지역과 유럽을 포함한 선진국에서는 구조물 설계와 관련하여 각각 신뢰성 기반의 하중저항계수설계법(Load and Resistance Factor Design, LRFD)을 도입하여 기준을 정비하고 있고, 우리나라 또한 2005년 건설교통부 국가 R&D 사업의 일환으로 “LRFD 기초구조물 설계를 위한 저항계수결정연구(KAIA, 2008)”과제가 수행되어 말뚝과 직접확대기초에 대한 연구가 이루어졌으며, 도로교설계기준 해설편(KSCE, 2008) 및 구조물기초설계기준(KGS, 2009)에 하중저항계수설계법의 기본 개념 및 저항계수가 소개되었다. 그러나, 현재 설계기준은 주로 압축력에 대한 연구와 시험의 결과를 바탕으로 저항계수 및 설계법을 제시하고 있다. 화석연료의 사용을 줄이고 전기의 활용이 증가되고 있는 미래사회에서의 중요한 사회구조물에 송전철탑을 배재할 수 없을 것이고 구조물의 특성상 기초의 형태가 인발력에 지배되는 것을 감안하였을 때, 기초구조물의 인발하중과 수평하중에 대한 현장시험 데이터의 확보가 반드시 필요하다.
2. 시험의 계획
사회기반 시설물 중 천문학적인 경제영향을 미치는 대형 송전철탑 구조물이 설치되는 주요 지역은 토사층이 깊은 논, 밭 등의 평지와 암반을 동반하게 되는 산악지형으로 나눌 수 있을 것이다. 이에 따라 현장시험을 위한 계획 부지를 풍화토 지역인 “A지역”과 기반암을 포함한 “B지역”으로 구분하였다. 또한, 시험체의 거동을 분석에 신뢰성을 위하여 지반과 시험체의 형상비에 대한 변수만을 적용하여 동일한 시험체를 3기 이상 제작하여 시험하였다.
2.1 시험체의 형상
현장시험을 위한 시험체의 형상 결정을 위하여 인발하중의 영향을 가장 많이 받는 송전철탑 기초구조물을 한국전력공사의 가공송전선용 철탑기초 설계기준(KEPCO, 2011)의 심형기초를 기준으로 하였으며 그 형상은 Fig. 1과 같이 우물통형태의 구체부를 원형기초로 계획하였다.
2.2 지반조건별 시험계획
일반적으로 기반암층에 대한 연구자료는 활발한데 비하여 토사층의 인발저항에 대한 연구자료가 미비하여 “A지역”의 시험체는 DS-1110에서 제안하는 가장 작은 형상비(직경:길이)인 1:2의 축소모형(1/2)의 시험체를 인발하중과 수평하중에 대한 평가를 위해 각 3기씩 제작하였으며, 가장 널리 사용되는 형상비 1:3의 축소모형(1/2)의 시험체를 인발하중과 수평하중에 대하여 각 3기씩 설계하였다. “B지역”의 경우 풍화토, 풍화암, 연암의 고른 분포를 위하여 형상비 1:3이상의 축소모형(1/2)의 시험체를 인발하중과 수평하중 시험을 위해 각 4기씩 제작하여 설계하였으며, 그 계획은 아래의 Table 1에 정리하였다.
Table 1.
Plan of Test
2.3 계측기 설치계획
지반의 종류에 따라 하중에 저항하는 특성의 비교가 필요하여 설치되는 주철근의 양쪽에 0.5m 간격의 철근 변형률 게이지를 설치하여 하중에 따른 변위와 각 지층에서의 축력분포, 단위 주면 마찰력 등을 분석할 수 있도록 하였다.
3. 지반정수 산정
지반 굴착 설계를 위한 설계지반정수는 현장시추 및 실내시험을 토대로 토질 및 암반의 역학적 성질을 비교・분석하여 합리적으로 산정하였다.
3.1 설계지반정수 산정 방법
현장실증시험을 위한 “A”지역과 “B”지역의 부지를 중심으로 시험 계획에 따른 시험체의 위치별 시추조사를 수행하였다. 회전수세식(유압식) 시추장비를 투입하여 원위치 시험 및 토사/암반 시료채취를 통한 육안확인(ASTM D-2487) 등 다양한 방식에서 접근하여 정확성을 향상시켜 설계지반정수를 산정하였다.
3.2 설계지반정수 산정 결과
기초지반의 특성을 고려하기 위하여 연구 대상 “A”지역과 “B”지역에 대하여 시험체 고유의 거동을 파악하기 위하여 설계지반정수를 KS F 2503, Hoek (1994), ASTM D2845 등으로 산정하였으며, 그 결과는 다음과 같다(Table 2, Table 3 참조).
Table 2.
Estimation of soil parameters (A area)
Table 3.
Estimation of soil parameters (B area)
4. 지반 및 하중조건에 따른 거동 분석
4.1 A지역 거동 분석
4.1.1 인발재하시험
“A”지역에서 수행한 인발시험에 대하여 하중-변위 분석, 축력분포 분석, 주면마찰력 분석, 분절변형 분석 등을 통하여 항복하중 및 지층에서의 거동을 분석하였으며, 시험 결과에 따른 하중-변위 그래프는 Figs. 2∼3과 같다.
하중-변위 그래프 분석을 통해 시험조건에 따른 극한지지력을 판정하고, Fuller’s method를 통해 항복하중을 판정한 결과, 시험체 A-T-001∼003은 예상지지력(DS-1110) 기준으로 452kN으로 예상되었으나, 812kN∼1,566kN의 극한지지력이 산정되었다. 시험체 A-T-004~006의 경우 예상지지력 755kN에 비해, 2,618kN∼3,492kN의 극한지지력이 산정되었다. 기반암이 없는 풍화토층을 대상하는 하는 지역임에 불구하고 형상비에 따라 2~3배, 3~5배의 극한지지력이 산정되었다. 이를 통해 현재, 인발하중에 대한 풍화토층의 저항력에 대하여 매우 보수적으로 설계에 반영되고 있다는 것을 확인 할 수 있다.
“A”지역에서 수행한 인발시험을 통해 깊이에 따른 위치에서의 축력분포 곡선은 Figs. 4∼5와 같다.
축력분포 곡선을 분석한 결과, 작은 하중(Step 4)이전에서는 전체적인 층에서 유사하게 분포하였고, 하중의 단계가 올라가 하중이 증가할수록 정착장 1/2지점 이하에서 지지력의 증가가 나타났다. 이는 풍화토층 내부에서도 N치에 따라 축력의 분포가 달라지며, N치의 증가에 따른 하중저항 능력도 증가하는 것을 확인할 수 있다.
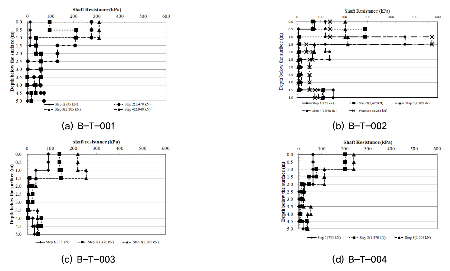
“A”지역에서 수행한 인발시험의 깊이별 주면마찰력을 분석한 결과를 Figs. 6∼7에 나타내었다.
주면마찰력 분포를 분석한 결과, 상부와 하부에 다양하게 나타나는 것을 확인하였다. 특히 상대적으로 형상비가 짧은 A-T-001∼003에서 분포의 양상을 분석하기 어려웠으며, A-T-004∼006의 경우 하중단계가 증가할수록 주면마찰력이 크게 나타는 층의 구분이 명확하였다. 앞서 축력분포 곡선과 함께 본다면, 기반암이 없는 풍화토층만으로 충분히 정착장의 역할을 할 수 있다고 판단되지만, N치에 따른 주면마찰력의 산정식을 제안하기에는 어려움이 있다.
“A”지역에서 수행한 인발시험을 통해 시험체의 깊이별 변위를 응력과 함께 도식한 결과는 Figs. 8∼9와 같다.
하중단계에 따른 깊이별 변위를 그래프로 도식화하여 분석한 결과 , 일정한 깊이에서 변위가 발현되기 보다는 시험체의 개별특성에 따라 각각 특정깊이에서 변위가 발생하였다.
4.1.2 수평재하시험
“A”지역에서 수행한 수평시험은 총 6기이다. 각각의 시험에 대하여 상・하부 변위측정을 포함한 하중-변위를 분석하였으며 하중-변위의 양상은 아래 Figs. 10∼11과 같다.
하중-변위 그래프 분석을 통해 시험조건에 따른 상부/하부 변위를 측정하여 기울기를 유추할 수 있도록 하였고, 허용변위 기준(DS-1110) 15mm이상을 적용하여 수행한 결과 동일한 직경이라도 시험체의 형상비에 따라 약 10%∼60%의 지지력 증가를 보였다. 이를 통해, 수평에 대한 저항력이 단순히 저항단면의 크기만으로 설계하는 현재의 방식이 보수적인 것을 확인할 수 있었고 기초의 저항깊이 등을 연구하여 보다 합리적인 수평저항 설계법을 개발 할 수 있을 것으로 판단된다.
4.2 B지역 거동 분석
4.2.1 인발재하시험
“B”지역에서 수행한 인발시험에 대하여 하중-변위 분석, 축력분포 분석, 주면마찰력 분석, 분절변형 분석 등을 통하여 항복하중 및 지층에서의 거동을 분석하였으며, 시험 결과에 따른 하중-변위 그래프는 Fig. 12와 같다.
하중-변위 그래프 분석을 통해 시험조건에 따른 극한지지력을 판정하고, Fuller’s method를 통해 항복하중을 판정하였다. DS-1110의 지지력 기준으로 1,485kN∼2,302kN으로 예상되었으나, 2,291kN∼3,269kN의 극한지지력이 산정되었다. 앞서 “A”지역에서의 결과와 달리, 그 동안 연구가 활발했던 기반암을 포함한 지층을 대상으로는 예상했던 지지력와 시험의 결과가 크게 나타나지 않았다. 약 1.5배의 결과차이가 있는 이유는 “B”지역에서 포함하는 풍화토층의 저항에 대한 보수적이 판단의 영향이 있는 것으로 보인다.
“B”지역에서의 시험체별 깊이에 따른 축력분포 곡선은 Fig. 13과 같다.
“B”지역에서 수행된 인발시험의 축력분포를 분석한 결과, 연암이나 풍화암부분의 정착구간에 대부분의 지지력이 발생할 것으로 예상했으나, 실제 시험체 상부의 풍화토 구간에서도 많은 지지력이 분포되는 것으로 나타났다. 앞서 “A”지역에서 언급한 바와 같이 충분한 N치를 확보한 풍화토층에서의 저항성이 확인되었다.
“B”지역에서의 시험체별 깊이에 따른 주면마찰력 분포는 아래 Fig. 14와 같다.
“B”지역에서 수행된 인발시험의 주면마찰력분포를 분석한 결과, 상부와 하부에 다양하게 나타나 분포의 양상을 분석하기 어려웠으나 상부의 풍화토층의 저항력이 작용하는 것을 각 시험체에서 나타났다. 이를 바탕으로 풍화토층에서의 좀 더 상세한 연구가 추후 필요할 것으로 판단된다.
“B”지역에서의 시험체별 깊이에 따른 변위분포는 아래 Fig. 15와 같다.
“B”지역에서 수행된 인발시험의 깊이에 따른 변위분포를 분석한 결과, 연암이나 풍화암부분 등 정착구간에 대부분의 변위가 발생하였고, 하부에서 상부로 변위의 양상이 이동하는 경향을 보였다. 하중의 증가에 따른 깊이별 변위의 증가 양상이 유사하였다.
4.2.2 수평재하시험
“B”지역에서 수행한 수평시험에 대하여 상・하부 변위측정을 포함한 하중-변위를 분석하여 Fig. 16에 나타내었다.
하중-변위 그래프 분석을 통해 시험조건에 따른 상부/하부 변위를 측정하여 기울기를 유추할 수 있도록 하였고, 최대 4,000kN의 재하하중으로 수행하였다. “B”지역 내에서 상대적으로 풍화토층이 깊고, 연암이 없는 B-L-003, B-L-004에서 작은 하중임에도 불구하고 큰 변위가 유발되었다. 단일지층을 확보하고 있는 “A”지역에서는 확인이 어려웠지만, “B”지역에서의 시험결과를 통해 수평에 저항하는 상부 지반의 중요성을 확인 할 수 있었다.
5. 결 론
본 연구에서는 현재 세계적으로 통용되고 있는 LRFD 설계법에 있어서, 상대적으로 실제 사례가 부족한 인발하중과 수평하중에 대한 현장시험을 통하여 설계법을 좀 더 합리적으로 보완할 수 있는 부분을 찾고자 하였다. 이를 위해 풍화토층 단일지역과 풍화토, 풍화암, 연암으로 구성된 혼합층의 지역에서 사회기반 시설물 중 가장 인발과 수평하중에 지배적인 송전철탑의 기초모형을 기반으로하여 1/2 축소모형을 실시하였다고 다음의 결과를 도출하였다.
현재 풍화토층에 기대하는 하중저항성은 매우 보수적인 설계로 실제시험의 결과 최소 2배의 안전율을 확보할 수 있었다. 또한, 수평저항에 있어 단면의 크기뿐만 아니라 기초구조물의 깊이 또한 거동에 영향을 미쳤으며, 수평력이 작용하는 상부지층의 종류가 저항성에 큰 영향을 미치는 것을 확인하였다.
추후 더 다양한 풍화토에서의 시험이 이루어져 풍화토층 내에서의 다양한 저항성을 구분할 수 있다면, 현재의 LRFD 설계법을 좀 더 합리화 할 수 있을 것으로 기대한다.


















