1. 서론
2. 실내시험 방법과 시료특성
2.1 교란 압밀시험 방법
2.2 사용시료의 물리 및 압밀특성
3. 실내시험 결과 및 분석
3.1 시료 및 교란도별 압밀시험결과 및 분석
3.2 교란도와 초기간극비의 관계분석
3.3 소성도에 따른 초기간극비와 보정압축지수의 관계
4. 결론
1. 서론
최근 교통 등 사회간접자본의 편의성 및 토지의 효율적인 이용을 위해 공학적으로 불리한 연약지반의 개발이 활발히 이루어지고 있다. 이에 따라 많은 관련 연구기관에서 연약지반의 정확한 공학적 특성을 판단하기 위한 연구들이 많이 진행되었으며, 특히 액성한계(LL), 자연 함수비(ω), 초기 간극비(e0) 그리고 소성지수(PI)와 같은 기본 물성값을 사용하여 제시되고 있다. 그 이유로 압축지수는 등가 간극비를 가지고 있는 콜로이트 점토에 영향이 크며, 단위질량당 큰 표면적을 갖는 콜로이드 입자와 점토의 간극이 클수록 많은 양의 물을 함유할 수 있기 때문이다(Al-khafaji and Andersland, 1992). 국외 진행된 연구들을 살펴보면, Terzaghi and Peck(1967), Azzouz et al.(1976), Mayne(1980)등이 액성한계(LL)와의 상관관계에 대한 연구를 수행하였고, Koppula(1981), Rendon-Herrero(1983)등이 자연함수비(ωn)와의 상관관계에 대한 연구를 수행하였으며, Nishida(1956), Cozzolino(1961)등이 초기간극비(e0)와의 상관관계에 대한 연구를 수행하였다. 또한, Nacci et al.(1975), Nakase et al.(1988)등이 소성지수(PI)와의 상관관계에 대한 연구를 수행하였다.
국내에서는 Jeong(1985)이 되 비빔한 점토의 압축지수를 Schmertmann(1955)이 제안한 값과 비교・분석을 하였다. 실무에서의 한계성을 극복하기 위하여 국내에서는 Song (1988)이 우리나라 서남해안에서 시행된 토질조사 결과를 토대로 554개의 자연시료에 대한 토질 물성치와 압축지수의 상관관계를 검토하여 단일변수의 형태로 압축지수 추정을 위한 경험식을 제안하였으며, Jang et al.(2001) 은 경남해안지역의 압축지수가 Terzaghi & Peck의 제안식을 적용할 수 없음을 검증하고, 초기간극비의 상관식을 제안 하였으며, Kim et al.(2003) 등은 대형 항만공사 자료를 이용하여 회귀모델을 산정하고, 물리적 특성과 압축지수의 상관성을 나타내는 최적의 회귀모형은 토질정수의 누승식 또는 지수능식 형태의 비선형 회귀식임을 주장하였다. Yoon and Kim(2003)은 1,800여개 시료에 대한 압밀시험 결과를 근거로 단일 및 다중회귀 통계분석을 수행하고, 그 결과에 따른 경험상관식을 개발하였고, Kang(2003)는 점토의 간극비-압력관계에 있어서 교란의 영향을 받은 점토의 보정압축지수에 대한 연구를 수행하였다. Bae and Kim (2009)은 광양점토를 대상으로 불확실성을 최소화하고 신뢰성을 확보하기 위해 변수가 변화된 회귀모형을 통한 물리정수와 압축지수의 상관식에 대한 모형식을 제안하였다. 또한 Jeong(2017)은 국내 해성점토 지반에 대한 선행압밀압력 평가방법의 적용성을 연구하였다. 기존 연구들을 비교・분석하면 특정지역에 대한 시험내용이거나 특정기준을 갖는 범위내의 시험을 진행한 사례가 많아 다양한 지반에 적용하는 것은 어렵다고 판단된다. 따라서 본 연구에서는 Schmertmann이 제안한 0.42e0 보정압축지수에 대하여, 국내 연약지반의 소성지수를 반영한 보정압축지수를 재산정하고 기존의 제안식과 경험식간의 상관성을 비교・분석하여 국내지반에서 적용 가능한 기초적인 추정식을 제시하고자 한다.
2. 실내시험 방법과 시료특성
2.1 교란 압밀시험 방법
본 연구에서 Schmertmann의 압축지수 수정방법을 재검증하고, 교란효과가 제거된 현장 원위치 압축지수를 산정하기 위해 인위적으로 교란영역을 조성하여 압밀 시험을 실시하였다. 시료의 교란을 가능한 줄이기 위해서 튜브샘플러에서 시료 채취 후 10cm를 제거하고 시료를 사용하였으며, 표준압밀시험방법(KS F 2316)과 동일하게 시행하여, 재하하중 10, 20, 40, 80, 160, 320, 640, 1280kPa을 각각 24시간 동안 재하하고 침하를 측정하였다. 교란도를 평가하기 위하여 Fig. 1과 같이 불교란 시료와 25, 50, 75, 100% 교란시료를 인위적으로 조성하였다. 교란영역을 조성하는 방법은 Fig. 2와 같이 압밀링의 높이가 2cm인 것을 감안하여 시료를 압밀링에 세팅한 후 인위적인 교란을 시켰다. 본 시험을 위해 별도의 교란장치를 고안하였는데, 이 교란장치는 충분한 교란을 위해 약 50개의 교란용 핀(L=0.25, 0.5, 0.75mm)을 무작위로 배치하여, 스트로폼에 고정하여 사용하였다. 교란시료의 제작방법은 불교란 시료가 세팅된 압밀링에 교란장치를 부착하여 각각의 핀 높이만큼 교란영역이 발생되도록 유도하였다.
2.2 사용시료의 물리 및 압밀특성
2.2.1 사용시료의 물리적 특성
본 연구에서는 통일분류법에 의한 분류상 ML, CL, CH로 구분되는 시료를 사용하였으며(Table 1), ML시료의 경우 액성한계 N.P∼41.6%, 소성한계 N.P∼27.1%, 소성지수 N.P∼14.5%이었으며, CL시료의 경우 액성한계 36.5∼47.7%, 소성한계 18.9∼21.3%, 소성지수 16.5∼27.7%이며, CH시료의 경우 액성한계 66.1∼74.2%, 소성한계 25.9∼29.4%, 소성지수 40.2∼46.4% 범위를 갖는 것으로 분석되었다.
Table 1. Properties of soil samples
2.2.2 사용시료의 압밀특성
표준압밀시험을 통해서 압축지수(Cc), 선행압밀하중(Pc), Schmertmann이 제시한 수정 압축지수(Cc(schmertmann))등을 얻을 수 있으며, 이를 통해 지반의 압밀침하량 및 압밀시간을 계산할 뿐 아니라, 유효상재압을 계산하여 선행압밀하중과의 관계로부터 과압밀비(OCR)를 산정하여 흙의 응력이력을 파악할 수 있다. 특히, Schmertmann이 제시한 Newyork clay의 경우 선행압밀하중(Pc)은 226∼419kPa을 나타냈고, 초기간극비(e0)는 2.24∼3.08에서 분포하는 것으로 보고되었다. 이러한 흙들을 기준으로 Schmertmann은 초기 간극비의 40∼60% 범위에 해당되는 위치에서 교란 정도가 각각 다른 시료의 압밀 곡선이 서로 교차하게 되는 것을 파악하였다.
그러나 Table 2에 나타낸 바와 같이, 국내 해성 점성토를 통해서 얻어진 시험결과는 Schmertmann의 결과와 일치하지 않는 것을 알 수 있다. 우선 ML시료의 경우 선행압밀하중은 170.2∼211.2kPa, 압축지수는 0.193∼0.301, Schmertmann이 제안한 수정압축지수은 0.220∼0.411를 초기간극비는 0.883∼1.112에서 분포하였다. CL시료의 경우 선행압밀하중은 85.1∼236.0kPa, 압축지수는 0.335∼0.434, Schmertmann이 제안한 수정압축지수는 0.419∼0.714를 초기간극비는 1.084∼1.304에서 분포하였다. CH시료는 선행압밀하중은 42.4∼159.2kPa, 압축지수는 0.635∼ 0.752, Schmertmann이 제안한 수정압축지수은 0.747∼0.917를 초기간극비는 1.621∼2.274에서 분포하였다. 따라서 ML, CL, CH의 순으로 선행압밀하중 값은 감소하며, 압축지수 값과 초기간극비는 증가하는 경향을 나타냈다. 그러나, Schmertmann이 분석한 Newyork clay에 비해 금회 시험에 사용된 점토의 물리적 특성은 상당한 차이를 나타내며, 이로 인해 Schmertmann이 제안한 값 0.42e0는 국내 지반 조건에는 적합하지 않다고 판단된다.
Table 2. Consolidation parameters of soil samples
3. 실내시험 결과 및 분석
3.1 시료 및 교란도별 압밀시험결과 및 분석
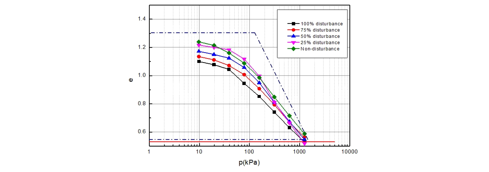
ML-1, CL-1, CH-1의 시료에 대하여 교란도별(25, 50, 75, 100%) 압밀시험을 실시하였다. Fig. 3, 4는 ML-1시료의 시험결과를 나타낸 것으로 간극비 0.411∼0.516에서 교차하며 초기간극비의 0.46∼0.57배의 값을 나타내어 Schmertmann이 제시한 0.42보다는 큰 범위를 나타내는 것을 확인 할 수 있다. Fig. 5, 6은 CL-1시료의 압밀시험결과로서 간극비 0.485∼0.535에서 교차하며 초기간극비의 0.37∼0.41배의 값을 나타내는 것을 확인하였다. 또한 Fig. 7, 8은 CH-1시료의 시험결과로서 간극비 0.750∼0.836에서 교차하며 초기간극비의 0.46∼0.51배의 값을 나타내었다. 이와 같이, 각 시료별로 흙의 물리적 특성에 따라 압밀의 특성이 달라져 Schmertmann이 제안한 값과 다소 차이를 보이는 것을 알 수 있다. 흙의 물리적 특성에 따른 경향을 파악하는데 초점을 맞추기 위해서 추후 시험은 교란도 50, 100%로 조성된 시료에 대해 초기 간극비의 차이를 찾기 위한 시험을 진행하였다.
3.2 교란도와 초기간극비의 관계분석
Fig. 9∼Fig. 13은 교란도와 초기간극비의 관계를 분석하기 위하여 ML 시료에 대해 각각 100% 완전교란 압밀시험은 2회, 50% 압밀시험은 1회씩 진행하였다. 시험결과 100%교란된 시료는 평균 70%, 50% 교란된 시료는 평균 82%, 불교란 시료의 압축지수보다 작게 나타났다. ML 불교란 시료의 압축지수는 0.193∼0.301의 값을 나타냈으나, 100%교란에서는 0.135∼0.209의 값을 50% 교란도에서는 0.157∼0.251의 값을 나타내었다. 압축지수의 교차점을 초기간극비에 대해 정리하면 ML시료는 평균적으로 0.48∼0.55배에서 압축지수가 교차하는 것을 확인하였다.
Fig. 14∼Fig. 18은 CL시료에 대해 교란도와 초기간극비 관계를 나타낸 것으로 시험결과 100%교란된 시료는 평균 82%, 50% 교란된 시료는 평균 99%로 불교란 시료의 압축지수보다 작게 나타났다. CL 불교란 시료의 압축지수는 0.180∼0.434의 값을 보였으나 100% 교란시료에서는 0.147∼0.358의 값을 50% 교란시료에서는 0.168∼0.457의 값을 나타내었다. 압축지수의 교차점을 초기간극비에 대해 정리하면 CL시료는 평균적으로 0.38∼0.42배에서 압축지수가 교차하는 것을 확인할 수 있다. CL시료는 ML시료와는 다르게 0.42배 보다는 다소 작은 값을 나타내었다.
Fig. 19∼Fig. 23은 CH시료에 대해 교란도와 초기간극비 관계를 나타낸 것으로 시험 결과 100%교란된 시료에서는 평균 66%, 50%교란된 시료에서는 평균 99%로 불교란 시료의 압축지수보다 작게 나타났다. CH 불교란 시료의 압축지수는 0.635∼0.777의 값을 보였으나 100%교란시료에서는 0.405∼0.537의 값을 50%교란시료에서 0.604∼0.803의 값을 나타내었다. 다른 시료들과는 다르게 50% 교란도에서 압축지수(Cc)의 값이 불교란 시료보다 크게 나온 시료들도 존재 하였으나 시료자체가 조밀하여 50%교란을 시키는 것이 다소 어려운 부분이 있어 이러한 시료들의 교란 정도가 목표치에 도달되지 못한 원인일 수 있을 것으로 추정된다. 압축지수의 교차점을 초기간극비에 대해 정리하면 CH시료는 평균적으로 0.43∼0.49배에서 압축지수가 교차하는 것을 확인할 수 있다.
3.3 소성도에 따른 초기간극비와 보정압축지수의 관계
Table 3은 소성도에 따른 초기간극비와 보정압축지수 관계를 나타낸 것으로 교란시료와 불교란시료의 교차지점의 결과는 소성도에 따라 다른 값을 나타내는 것을 알 수 있으며, ML시료는 평균적으로 0.521e0에서 CL시료는 0.414e0, CH시료는 0.458e0의 값을 평균적으로 갖는 것으로 나타났다. 따라서 국내 지반에서의 Schmertmann이 제시한 0.42e0는 평균적으로 CL시료에 적용이 가능한 것으로 판단되지만 ML, CH시료의 경우 조금 상이한 결과를 나타내어 신중한 적용이 필요하다.
Table 3. Intersection void-ratios of consolidation curves
Fig. 24∼Fig. 26는 시험결과를 토대로 소성지수에 따른 교차 간극비의 관계를 나타낸 것으로 ML시료 0.0029PI+0.5029, CL시료 0.0011PI+0.3812, CH시료 0.0052PI+0.2362.의 관계식이 산정되었다. 각 시료별로 각각의 식을 대입하여 보정압축지수를 산정하였으며, 그 결과를 Table 4에 정리하였다. 산정결과 기존의 Schmertmann이 제시한 압축지수와 다소 차이를 보이는 것을 확인 할 수 있다.
Table 4. Comparisons of corrected compression index
4. 결론
본 연구에서 실내압밀시험을 통해 시료별 교란도에 따른 Schmermann의 제안식 0.42e0의 값이 국내 지반에 타당한지 검증하고, 소성지수에 따른 흙의 종류별 교란시료의 보정압축지수 산정을 통해 다음과 같은 결론을 얻었다.
(1) 교란 정도를 인위적으로 조성하여 압밀시험을 수행한 결과, 각각의 압밀곡선의 교차점은 ML 시료는 0.521e0, CL 시료는 0.404e0, CH 시료는 0.458e0로 평가되었으며, 이는 Schmertmann의 제안식 0.42e0와는 다소 차이가 발생하여, 국내 점토지반에 적합한 보정압축지수에 대한 연구가 필요한 것으로 판단된다.
(2) 점토별 소성지수와 교차 간극비의 관계는 ML은 0.0029PI+0.5029, CL은 0.0011PI+0.3812, CH는 0.0052PI+0.2362로 나타났으나, 시험의 비교 데이터가 적기 때문에 신뢰성 있는 교차 간극비를 산정하기 위해서는 더 많은 국내 해성점토에 대한 시험결과 등의 후속연구가 필요하다.
(3) 교차 간극비는 비중, 소성지수, 액성한계 등의 영향을 받는 것으로 판단되며, 특히 소성지수에 따른 흙 분류에 따라 영향을 많이 받고, Schmertmann의 제안식 0.42e0는 CL을 제외한 CH시료와 ML시료의 경우는 다소 차이를 보여, 국내 지반 적용시 신중한 검토가 필요할 것으로 판단된다.




























