1. 연구 배경 및 목적
2. 수치 해석
2.1 해석 조건
2.2 지반 물성치 산정
2.3 2차원과 3차원 해석 비교 방법
3. 유한요소해석 결과
4. 해석 결과에 대한 고찰
4.1 성토 높이에 따른 변화
4.2 연약지반의 심도에 따른 변화
4.3 치환율에 따른 변화
5. 결 론
1. 연구 배경 및 목적
삼면이 바다를 둘러싸고 있는 반도 국가로써 지반 특성 상 연약지반이 다수 존재하는 실정으로 연약지반 상 시공 중 연약지반 개량 설계 시 안정성 확보와 효율적인 시공을 위한 연구가 필요하다.
DCM(Deep Cement Mixing)공법은 2축 및 다축의 교반날개를 이용하여 심층의 지반을 제거하지 않고, 시멘트와 물을 혼합한 안정처리재를 저압으로 원지반에 주입하며, 고화시킨 말뚝체를 조성하여 지반을 강화시키는 공법으로 주입재의 이탈 및 환경오염 없이 주입재료가 상대적으로 적게 소요되기에 공사비를 절감하는 장점을 가지고 있다. 또한 점토층에서 교반효과, 강도 발현과 장기강도발현이 우수하여 연약지반 상 건물 및 구조물을 지탱하기에 원지반의 하중 지지력을 높이는데 사용되어지고 있다. DCM공법은 점성토, 생석회, 소석회 등의 고결재료를 적용함으로써 1967년부터 모형시험을 거쳐 1975년 일본에서 첫 현장시험이 실시되었고, 우리나라의 경우 1988년 부산항 컨테이너터미널 부두축조공사에서 시공되기 시작하여 주로 남해안 개발에 적용되어 그 후, DCM공법에 대한 많은 연구 발전을 이루어 왔다.
DCM공법에 대하여 Cheon(2010)은 육상공사 적용 시 대표적 형식으로 블록식 개량형식과 말뚝식 개량 형식으로 분류하여 블록식 개량의 경우 타 개량형식에 비해 개량율이 증가함에 따라 공사비용이 높고, 전 개량체를 중첩시켜야 하는 문제로 인하여 공기가 길어진다고 하였다. 또한 말뚝식 개량의 경우 짧은 공기와 낮은 개량율로 타 개량형식에 비하여 경제적이지만, 정확한 기둥위치를 위해 정밀 시공관리가 필요하다 하였다.
Hwang(2013)은 현장에서 적용이 용이한 시멘트를 사용하여 단기 및 장기 양생에 대한 배합실험을 검토하였으며, DCM 개량체의 강도 및 변형계수를 데이터화 하여 유사한 지반 및 구조물에 적용 시 활용할 수 있는 기초자료를 제시하였다.
Kim et al.(1993)은 심층혼합공법의 실내실험(혼합토의 강도실험 및 모형실험)을 통하여 혼합토의 강도특성과 개량지반의 거동을 분석하고, 수치해석을 실시하였다.
Lee and Jung(2012)은 DCM 기둥으로 지지된 성토체에 대한 수치해석을 통해 DCM 기둥의 침하량 및 측방변위 감소효과에 대하여 평가하였다.
Shin(2008)은 말뚝의 배치형태가 지반의 거동에 미치는 영향을 파악하기 위해 3차원 수치해석과 일면 전단시험 및 모형토조실험을 실시하여 복합지반 및 주변 지반의 거동과 지지력, 전단응력을 분석하였다.
Oh(2014)는 현장시험과 실내시험을 통하여 얻어낸 지반의 물성을 토대로 DCM 설계 시 경제성을 높일 수 있는 적합한 치환율을 도출하기 위해 수치해석을 통하여 검토하였다.
국외의 동향으로는 연약지반 상 건설된 제방에서의 DCM보강 해석 시 DCM 기둥 간격, 제방의 변형성, DCM의 변형성 등 일부 매개변수가 침하 및 지반 변형 문제에 미치는 영향에 대해 분석하였고(Oliveira et al., 2011), 말뚝으로 지지된 성토 사면의 안정성을 평가하기 위해 모형실험을 수행하여 보강영역의 위치가 성토제방의 안정성에 미치는 효과와 면적치환비를 변화시켜 분석하였다(Mikaya et al., 1993). 또한 DCM공법으로 제방이 시공된 기초의 안정성에 대한 신뢰성 분석과 제방에 따른 DCM 기둥에 대한 적절한 설계를 위해서 수치 분석과 신뢰성 분석을 진행하여 연구하였다(Navin et al., 2005).
이외에도 심층혼합공법에 대한 모형실험과 수치해석의 비교 및 분석은 많은 연구가 수행 되어졌지만, 수치해석 시 2차원 및 3차원에 대한 비교 연구는 부족한 실정이다. 그로 인하여 본 연구에서는 각 조건에 따른 2차원 및 3차원 해석과 말뚝지반 및 복합지반 해석 비교에 따라 지반 개량형식인 복합식 지반과 말뚝식 지반에 대해 유한요소 해석을 실시하였고, 도출된 해석결과 분석을 통하여 심층혼합공법 설계 시 적합한 개량형식을 제시하고자 하였다.
2. 수치 해석
본 연구에서 이용한 프로그램인 GTS-NX(midas, 2017)는 연약지반의 압밀해석과 사질토 및 암반지반의 경우에도 적용이 가능하며, 2차원 및 3차원 해석을 통한 그래픽 도출과 집적된 해석 기술로 만들어진 지반 분야 범용 해석 시스템으로 이러한 프로그램을 통하여 유한요소해석을 진행하였고, 해석을 위하여 각각의 조건을 설정하여 그에 대한 결과를 도출하였다.
2.1 해석 조건
해석 결과 비교를 위하여 성토 높이, 연약지반의 심도, 보강구간의 치환율, 개량 형식과 2차원 및 3차원으로 해석 조건을 설정하였으며, 그 외의 해석에 영향을 미치는 인자를 동일하게 설정하여 수치해석을 실시하였다. 성토 높이로는 2m차이(4m, 6m, 8m)로 구분하였고, 연약지반 심도는 5m차이(10m, 15m, 20m), 보강구간의 개량 형식으로는 복합지반해석과 말뚝지반해석으로 나누어 각각의 지반의 치환율을 30%, 40%, 50% 내외로 동일하게 설정하여 Table 1과 같이 나타내었다.
Table 1. Analysis of Conditions
보강이 필요한 단면의 경우 구배 1:2로 설정된 성토층과 연약지반인 점토층, 하부모래층으로 구성되어 있으며, 지하수위는 지표에 지하수위를 생성하여 완전 포화된 점토층으로 가정한 복합식 형태와 말뚝식 형태는 Fig. 1과 같이 나타내었다.
말뚝개량지반의 각 말뚝체 치환율은 91.96%로 산출되었으며, 말뚝체의 간격인 C.T.C(Center To Center)가 5m일 경우 보강구간의 치환율은 33.1%로 산출되고, 4m인 경우 41.4%, 3m의 경우 치환율 49.7%로 산출됨에 따라 복합지반으로 해석하는 보강구간 또한 동일한 치환율을 설정하였다.
2.2 지반 물성치 산정
DCM재료의 정수에 대한 많은 실험적 연구를 통하여 자료 수집을 실시한 결과 모델의 지반정수는 복합지반과 말뚝지반의 성토층과 점토층, 하부 모래층의 지반 정수를 동일하게 설정하였고, DCM재료 정수의 경우 안정재 혼합비에 따른 심층혼합시료의 압축강도에 관한 실험적 연구(Park et al., 2014)와 심층혼합 시료의 탄성계수에 관한 실험적 연구(Park and Park, 2018)를 통하여 양생기간 28일 때의 안정재 혼합비 10%의 압축강도와 탄성계수 결과 값을 적용하여 해석하였으며, 복합지반의 경우 각각의 치환율에 따른 적용 DCM의 지반정수를 Table 2에 나타내었다.
Table 2. Ground Properties of Finite Element Analysis
ν : Poisson's Ratio E : Modulus of Elasticity
2.3 2차원과 3차원 해석 비교 방법
국내 DCM공법 설계 시 개량체 단면이 4축인 경우 2축에 비해 시공속도가 빠르므로 경제성 측면에 유리하여(Oh, 2014) 4축으로 적용하였다. 프로그램 상 구속의 영향을 최소화하기 위하여 단면 모델의 x축은 100m, 하부 모래층은 5m로 설정하였고, 2차원 해석 및 3차원 해석 결과 비교 조건을 동일화 하여 결정된 길이방향 y축은 99.4m로 모델링은 Fig. 2와 같다.
3. 해석 결과
조건별 해석을 통하여 2차원 및 3차원에 대한 유한요소해석 결과를 도출하였다. 먼저 침하량이 가장 낮게 발생될 성토 높이 4m, 연약지반 심도 10m 단면에 대하여 유한요소해석을 실시하였으며, 2차원 해석 시 56.15cm, 3차원 해석 시 33.96cm의 침하량을 보였다. 이는 제방의 허용 침하량인 30cm 이내의 침하량을 만족하지 못한 결과 값을 가지므로 보강의 필요성을 Fig. 3과 같이 증명하였다.
또한 DCM공법을 통하여 보강된 단면의 경우 허용 침하량을 만족할 때의 가장 낮은 개량 심도를 최적 개량 심도로 정의하여 조건에 따른 최적 개량 심도를 도출하였고, 대표적인 해석 결과는 Fig. 4, Fig. 5와 같다.
3.1 유한요소해석 결과
2차원과 3차원 해석 결과로 말뚝지반과 복합지반의 최적 개량 심도를 정리하여 Table 3에 나타내었다. 2차원 상 말뚝지반 모델을 통한 해석 시 성토 높이 2m 증가에 따라 최적 개량 심도가 2m 증가하는 결과가 나타났고, 연약지반의 심도 5m 증가함에 따라 최적 개량 심도가 1m 증가하였으며, 치환율 8.3% 증가함에 따라 최적 개량 심도가 1m 감소하는 것으로 나타났다. 2차원 상 복합지반 모델을 통한 해석의 경우 성토 높이의 2m 증가함에 따라 최적 개량 심도의 경우 2m 증가, 연약지반의 심도 5m 증가에 따라 최적 개량 심도 1m 증가, 치환율 8.3% 증가함에 최적 개량 심도 1m 가 감소하였다.
Table 3. The Results of Finite Element Analysis
R : Replacement Rate L : Improvement Depth
P.G : Pile Ground C.G : Composite Ground
3차원 상 말뚝지반 모델을 통한 수치 해석 시 성토 높이 2m 증가함에 따라 개량심도 2∼3m 증가하였고, 연약지반의 심도 5m 증가로 개량심도 1∼2m 증가, 치환율 8.3% 증가함에 개량 심도 1∼2m 감소하였으며, 3차원 상 복합지반 모델 해석 시 성토 높이 2m 증가에 따라 1∼2m 증가, 연약지반의 심도 5m 증가에 따라 1m 증가, 치환율 8.3% 증가에 따라 1∼2m 감소하는 결과가 도출되었다.
4. 해석 결과에 대한 고찰
유한요소 해석 결과를 통하여 성토 높이, 연약지반의 심도, 보강구간의 치환율에 따른 변화를 분석함으로 각각의 개량비율이 산출되어 2차원 및 3차원 해석에 대한 비교와 말뚝지반 및 복합지반에 대한 비교를 도출하였다.
4.1 성토 높이에 따른 변화
성토 높이에 따라 연약지반에 개량이 필요한 심도의 결과를 분석하기 위하여 Fig. 6과 같이 성토 높이에 따른 해석 결과에 대한 그래프를 나타내었고, 성토 높이에 따른 개량비율에 대한 그래프를 Fig. 7에 나타내었다. 3차원 상 말뚝지반 해석 시 최소 개량비율은 23.33%, 최대 개량비율은 70.00%, 평균 개량비율은 40.93%이고, 2차원 상 말뚝지반 해석 시 최소 개량비율은 30.00%, 최대 개량비율은 80.00%, 평균 개량비율은 48.89%로 나타났다. 3차원 상 복합지반 해석 시 최소 개량비율은 13.33%, 최대 개량비율은 50.00%, 평균 개량비율은 27.59%, 2차원 상 복합지반 해석 시 최소 개량비율은 20.00%, 최대 개량비율은 60.00%, 평균 개량비율은 34.44%로 도출되었으며, 이를 통하여 성토 높이에 따른 2차원 해석의 경우 3차원 해석에 비해 6.85∼7.96% 높은 개량비율 차이를 보였고, 말뚝지반 해석의 경우 복합지반 해석에 비하여 13.34∼14.45% 높은 개량비율을 보임으로써 2차원 해석 시 3차원 해석에 비해 최적 개량 심도가 더 깊으며, 이는 프로그램 해석 상 2차원의 경우 평면 변형률로 해석되어지기 때문에 종 방향 변위 구속으로 인하여 3차원 해석 보다 과대 해석되어진다고 판단된다. 또한 말뚝지반 해석 시 복합지반 해석에 비하여 최적 개량 심도가 더 깊은 것을 확인할 수 있었다. 이러한 이유는 하나의 복합채로 이루어진 개량지반 해석과는 다르게 각각의 말뚝체로 형성되어있는 개량지반의 경우 외력으로 작용되는 성토 하중을 비균등하게 받음으로써 유한요소 해석 상 지지력 조건이 불리하여 해석 됨에 따라 침하의 심도가 더 깊어진다고 판단하였다.
4.2 연약지반의 심도에 따른 변화
보강이 필요한 연약지반 단면의 경우 연약지반 심도에 따라 개량 심도의 변화를 도출하기 위하여 Fig. 8과 같이 나타내었고, 연약지반의 심도에 따른 개량비율에 대한 그래프를 Fig. 9에 나타내었으며, 3차원 상 말뚝지반 해석 시 최소 개량비율은 30.00%, 최대 개량비율은 60.00%, 평균 개량비율은 40.74%로 나타났다. 2차원 상 말뚝지반 해석 시 최소 개량비율은 35.00%, 최대 개량비율은 70.00%, 평균 개량비율은 48.89%이며, 3차원 상 복합지반 해석 시 최소 개량비율은 20.00%, 최대 개량비율은 40.00%, 평균 개량비율은 27.59%, 2차원 상 복합지반 해석 시 최소 개량비율은 25.00%, 최대 개량비율은 50.00%, 평균 개량비율은 34.44%로 산출되었으며, 이를 통하여 성토 높이에 따른 2차원 해석의 경우 3차원 해석에 비하여 6.85∼ 8.15% 높은 개량비율 차이를 보였고, 말뚝지반 해석의 경우 복합지반 해석에 비하여 13.15 ∼14.45% 높은 개량비율을 보임으로써 성토 높이에 따른 분석 결과와 마찬가지로 연약지반의 심도에 따른 2차원 해석 시 3차원 해석에 비해 최적 개량 심도가 더 깊으며, 말뚝지반 해석 시 복합지반 해석에 비해 최적 개량 심도가 더 깊은 것을 확인할 수 있었다.
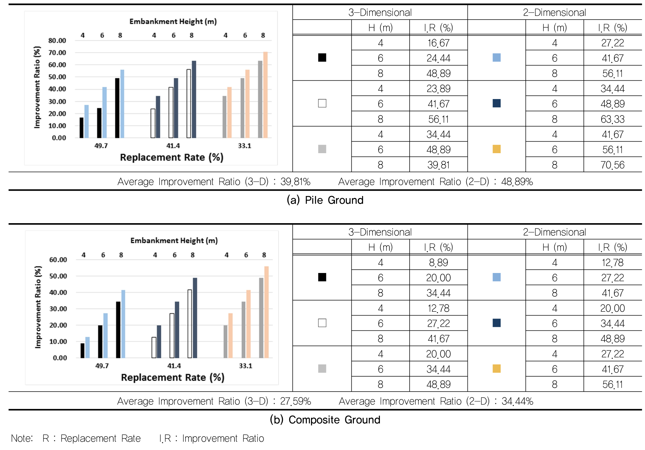
4.3 치환율에 따른 변화
유한요소해석의 결과를 토대로 보강구간의 치환율에 따라 개량이 필요한 심도의 결과를 분석하기 위하여 Fig. 10과 같이 치환율에 따른 해석 결과에 대한 그래프를 나타내었고, 보강구간의 치환율에 따른 개량비율에 대한 그래프를 Fig. 11에 나타내었다.
3차원 상 말뚝지반 해석 시 최소 개량비율은 16.67%, 최대 개량비율은 56.11%, 평균 개량비율은 39.81%이고, 2차원 상 말뚝지반 해석 시 최소 개량비율은 27.22%, 최대 개량비율은 70.56%, 평균 개량비율은 48.89%이다. 3차원 상 복합지반 해석 시 최소 개량비율은 8.89%, 최대 개량비율은 48.89%, 평균 개량비율은 27.59%이며, 2차원 상 복합지반 해석 시 최소 개량 비율은 12.78%, 최대 개량비율은 56.11%, 평균 개량비율은 34.44%로 산출되었다.
이를 통하여 성토 높이에 따른 2차원 해석의 경우 3차원 해석에 비하여 6.85∼9.08% 높은 개량비율 차이를 보였고, 말뚝지반 해석의 경우 복합지반 해석에 비하여 12.22∼14.45% 높은 개량비율을 보임으로써 보강구간의 치환율에 따른 2차원 해석 시 3차원 해석에 비하여 최적 개량 심도가 더 깊은 것으로 나타났고, 말뚝지반 해석 시 복합지반 해석에 비해 최적 개량 심도가 더 깊은 것으로 나타났다. 이는 성토 높이, 연약지반의 심도와 동일한 해석 결과가 나타남으로 인하여 변화 조건에 따른 모든 결과가 3차원 해석에 비하여 2차원 해석의 개량 심도가 깊고, 복합지반 해석에 비해 말뚝지반의 필요 개량 심도가 높은 것을 확인할 수 있었다.
5. 결 론
DCM공법 설계 시 보강 구간 개량형식과 2차원 및 3차원 설계 해석 부분의 기준에 대하여 명확한 정의를 내리는 것에 어려움이 있어 실제 설계 시에도 설계자에 따라 서로 다른 결론을 도출하고 있는 실정으로 본 연구에서는 DCM공법 해석 시 연약지반 보강 구간의 개량형식과 2차원 및 3차원 해석이 다양한 조건에서 어떠한 영향을 미치는지 나타내었고, 그에 대한 결과를 다음과 같이 제시하였다.
(1) 첫째, 성토 높이의 경우 외력으로 발생되는 성토 하중으로 인해 연약지반에 직접적인 영향을 미치는 주요 요인이며, 성토 높이가 높아짐에 따라 최적 개량 심도가 깊어지는 해석 결과를 확인할 수 있었다. 또한 성토 높이에 따른 개량비율을 통하여 3차원 해석에 비하여 2차원 해석 시 최소 6.85%, 최대 7.96% 높은 개량비율 차이를 나타났고, 말뚝지반 해석의 경우 복합지반 해석에 비하여 최소 13.34%, 최대 14.45% 높은 개량비율이 나타남으로써 2차원 해석과 말뚝지반 해석 시 3차원 해석과 복합지반 해석에 비해 최적 개량 심도가 더 깊은 것으로 분석되었다.
(2) 둘째, 현장 시추조사를 실시할 때에 연약지반의 경우 무수히 다양한 심도를 지니고 있어 연약지반 심도의 변화에 따라 최적 개량 심도에 큰 영향을 미침으로 정밀한 시추조사를 통하여 연약지반의 심도를 파악하는 것이 중요하고, 연약지반의 심도에 따른 개량비율을 통하여 3차원 해석에 비해 2차원 해석 시 최소 6.85%, 최대 8.15% 높은 개량비율 차이를 나타냈고, 말뚝지반 해석의 경우 복합지반 해석에 비하여 최소 13.34%, 최대 14.45% 높은 개량비율이 도출됨에 따라 2차원 해석과 말뚝지반 해석 시 3차원 해석과 복합지반 해석에 비해 최적 개량 심도가 더 깊은 것으로 분석되었다.
(3) 셋째, 보강구간의 치환율을 통하여 치환율이 높아질수록 필요한 보강심도가 낮아지는 당연한 결과가 나타났으며, 보강구간의 치환율에 따른 개량비율을 통하여 2차원 해석의 경우 3차원 해석에 비해 최소 6.85%, 최대 9.08% 높은 개량비율 차이가 나타났고, 말뚝지반 해석의 경우 복합지반 해석에 비해 최소 12.22%, 최대 14.45% 높은 개량비율을 나타남으로써 2차원 해석과 말뚝지반 해석 시 3차원 해석과 복합지반 해석에 비하여 최적 개량 심도가 더 깊은 것으로 분석되었다.
(4) 넷째, 심층혼합공법에 대한 2차원 해석과 3차원 해석 비교 연구가 부족한 실정으로 설계 시 2차원 해석 결과를 도출하는 경우가 빈번하다. 그로 인하여 본 연구에서는 2차원 해석과 3차원 해석을 통하여 최적 개량 심도를 나타내었고, 각 조건에 따라 분석한 결과 모든 조건 해석 부분에서 2차원 해석의 경우 3차원 해석에 비해 최적 개량 심도가 깊은 것을 확인할 수 있었다. 이러한 결과는 2차원 해석의 경우 유한요소해석 프로그램 해석 시 평면 변형률로 해석되기 때문에 단면의 종 방향 변위 구속 조건이 이루어져 3차원 해석에 비해 과대 해석이 도출된다. 그러므로 시공 시 중요한 조건 중 공사기간과 공사비의 과대 해석으로 인한 비경제적인 설계가 실시되기에 2차원 해석이 아닌 효율적인 설계를 위하여 프로그램 상의 평면 변형률 해석에 의한 오차임을 감안한 결과 최적 개량 심도가 낮은 3차원 해석을 실시해야 된다고 판단한다.
(5)다섯째, 심층혼합공법 해석 시 대표적인 개량형식인 말뚝지반과 복합지반으로 구분하여 각 조건에 따라 최적 개량 심도를 나타내었으며, 말뚝지반의 경우 복합지반에 비해 최적 개량 심도가 깊은 것으로 도출되었다. 이는 하나의 복합체로 이루어진 개량지반과 달리 각각의 말뚝체로 이루어진 개량지반의 경우 외력으로 가해지는 성토하중을 비 균등하게 받음으로써 발생되는 침하의 심도가 더 깊어진다. 그러므로 설계 시 동일한 조건에서 개량형식의 차이를 두었을 경우 말뚝지반이 복합지반에 비하여 발생되는 침하가 더 깊어지기 때문에 공사기간과 공사비용은 증가하지만 안정성에 더 큰 중점을 두어 해석 시 말뚝식 개량지반 해석을 실시해야 된다고 판단한다.













