1. 서 론
2. 팽창재료를 이용한 지반함몰 긴급복구 공법
2.1 팽창재료를 이용한 긴급복구 공법 개요
2.2 팽창재료
3. 실내실험을 통한 팽창재료의 팽창압 평가
4. 공동형상별 팽창재료의 압력이 공동 내부에 미치는 영향
4.1 수치해석 모델링
4.2 팽창압력이 주변 지반 및 아스팔트 포장층 하부에 미치는 영향
4.3 팽창압력이 도로 상단부에 미치는 영향
5. 결 론
1. 서 론
2014년 서울특별시 송파구 인근 도로에서 소형 도로함몰이 발견된 이후 지반침하 사고의 빈도가 증가하여 도심지를 중심으로 국민들의 지중안전성에 대한 불안감이 증가하였다. 오늘날 도로 함몰 위험이 있어 보수 및 보강을 한 지역에도 다시 반복적으로 도로함몰이 발생하여 지반함몰이 발생되지 않은 지역에서도 지반함몰에 대한 사회적 불안감이 가중되고 있다(Han et al., 2016).
현재 주로 사용되는 지반함몰 복구 방법으로는 흙되메움 공법과 그라우팅 공법이 있다. 흙되메움 공법은 지반함몰이 일어난 도로의 주변을 통제하고, 해당 부분을 굴착하여 균질한 흙을 넣어 공동을 채우는 것이다. 하지만 해당 공법은 굴착 과정에서 원지반이 교란되고, 공사비와 시공시간이 많이 소요되며, 통행제한에 대한 민원 발생으로 인하여 개선이 필요하다. 그라우팅 공법은 흙되메움 공법과는 달리 굴착을 하지 않는 비개착식 공법으로 선호되고 있지만, 폐관으로 시멘트계 충전재의 유출에 따른 충전재의 유실이 발생 할 수 있으며, 이에 따른 중금속이 유출될 가능성이 있어 환경적인 면에서 사용이 제한적이다. 실제로 검증되지 않은 시멘트계 충전재를 공동 복구에 사용할 경우, 발암물질 중 하나인 6가 크롬(Cr6+)의 유출이 발생하기도 하였다(Yu et al., 2017).
따라서 기존 지반함몰 복구 공법들의 단점을 해결하기 위한 새로운 기술개발이 필요한 실정이다. 본 연구에서는 지하공동에 팽창재료를 주입하여 공동을 충전하고 재료의 유실도 최소화할 수 있는 방법을 고안하였다. 해당 공법은 지반함몰이 발생하거나 이를 유발할 수 있는 지하공동이 확인될 경우 긴급 복구가 가능한 재료로 우레탄 계열의 팽창재료를 개발하고 이를 공동의 채움 재료로써 사용하는 공법이다. 팽창재료를 이용한 지반함몰 복구공법에 대한 연구는 현재까지 많이 진행되어왔다. Lee et al.(2007)은 팽창재료의 강도, 내화학성, 지지력 등의 특성에 대한 연구를 진행하였으며, Hwang et al.(2005)는 아스팔트 포장층에 발생한 구멍(pothole)의 응급 보수재로 팽창재료를 활용하여, 실제 현장에서 기존 포장과의 부착력을 증진시킬 것으로 판단하였다. Shin et al.(2011)은 고밀도 급속 팽창성 물질을 이용하여 도로 침하 복원에 관한 실험적 연구를 진행하였으며, 주입물질의 팽창력으로 지반을 압밀시켜 지지력을 증가시키기 보다는 벽체의 형태로 고결된 후 지반과 콘크리트 슬래브 사이로 침투된 물질이 팽창되어 침하가 복원된다는 결론을 얻었다.
하지만 본 연구에서 사용된 지반함몰 복구공법은 팽창재료의 팽창압을 통해 주변 지반에 다지면서 지지력을 확보하는 기술이다. 따라서 이러한 공법의 성능을 수치해석적으로 평가하고자 공동내부에 팽창압이 작용하였을 경우 주변 지반 거동에 대해 분석하였다. 이를 위해 다양한 형상의 공동에 팽창재료를 충진시켜 공동면에 팽창압을 발현시켰다. 팽창압은 실제 팽창재료의 팽창압을 실험을 통하여 측정하였고, 공동내부에서 팽창압이 발현되었을 때 공동 주변 지반 및 아스팔트 포장층에 미치는 영향을 분석하였다. 이에 따라 팽창재료의 공동 채움 재료로서의 사용성을 검토하고자 하였다.
2. 팽창재료를 이용한 지반함몰 긴급복구 공법
2.1 팽창재료를 이용한 긴급복구 공법 개요
서울시에서는 도로 설계 상태와 공동 크기, 위험도에 따른 ‘서울형 공동관리 등급’을 개발하였다. 해당 등급 분류에 따르면 공동은 긴급복구, 우선복구, 일반복구, 관찰대상의 4개 등급으로 분류된다. 긴급복구 등급은 함몰 가능조건이 충족된 공동으로 탐사 도중에 공동이 확인되면 즉시 복구(4시간 이내 복구)가 필요하다. 우선복구 등급은 돌발강우와 같은 함몰 가능조건에서 함몰이 발생할 확률이 높은 공동으로 신속한 계획 수립 및 복구가 필요하다. 일반복구 등급은 우기철 이전까지 복구가 필요한 공동이며, 관찰대상 등급은 함몰 가능성이 미비하지만 관찰 이후 다음 년도의 우기 이전까지 복구가 필요한 공동을 의미한다(Seoul City, 2016). 이중에서 긴급 및 우선 등급의 경우 지반함몰 가능성이 매우 높은 공동으로 빠른 복구가 필수적이다. 기존 복구 방법의 경우 공사시간이 길고(흙되메움 개착공법), 유출 위험(그라우팅 비개착공법)이 있는 등 단점이 존재하기 때문에 새로운 형식의 긴급 복구 공법이 필요할 것으로 판단된다.
개발하고자 하는 복구 공법은 팽창재료를 이용하여 공동을 채우며 이를 도식화한 그림은 Fig. 1과 같다. 공동발생 의심 지역에 공동 탐사 이후 발견된 긴급복구 및 우선복구 등급에 한하여 최소한의 차선을 통제하고, 이후 주입장치를 이용한 급속 시공이 이루어지게 된다. GPR 탐사 이후 확인된 공동에 대해서는 천공을 통해 공동 내부를 내시경 카메라로 관찰하게 되며, 팽창재료는 별도의 개착 없이 천공된 구멍으로 공동 내부로 투입된다. 이 때 팽창재료는 지하수위 및 기타 물질에 대해 영향을 받지 않도록 하기 위해 특수한 소재의 포켓 내부에 삽입된다. 해당 포켓은 팽창재료의 팽창압이나 팽창부피에 따라 함께 거동한다. 투입된 팽창재료는 공동 내부에서 팽창하게 되며, 공동의 부피에 맞게 변형되어 공동을 채우게 된다. 해당 공법은 작업자가 많이 필요치 않으며, 별도의 기술이 없이 매뉴얼(공동 크기에 따른 팽창재료의 투입량 등)에 따라 시공 되어 공사비용을 줄일 수 있다는 장점이 존재한다.
2.2 팽창재료
우레탄계열의 팽창 약액에는 1액형 약액(수용성)과 2액형 약액(비수용성) 2가지 형태가 있다. 1액형 약액의 경우 수용성이고, 다른 첨가제와 같이 조합되어 발포시간이 형성된다. 2액형 약액은 폴리올(Polyol)을 주성분으로 하는 주제와 이소시아네이트(Isocyanate)를 주성분으로 하는 경화제로 구성되어 있다. 이 두 액간의 반응(우레탄 반응 또는 수화반응)으로 고결 및 팽창이 발생하며, 배합비 변화와 첨가제 추가 여부로 발포시간, 발포배율, 강도 등의 물성의 조절이 가능하다. 팽창재료는 환경적으로 문제가 되지 않는 물질로써 천연 생태계에 해가 되는 오염물질이 포함 여부를 분석하는 시험인 RoHs 6대 물질(카드뮴(Cd), 납(Pb), 수은(Hg), 6가크롬(Cr+6), 폴리브롬화비페닐(PBBs), 폴리브롬화 디페닐에테르류(PBDEs)) 시험 결과 검출되지 않았다.
지반함몰 채움 재료로써 1액형 약액은 수용성이기 때문에 지반 내부로 직접 삽입할 경우 팽창물질의 성능이 지하수의 영향을 받을 수 있다. 따라서 본 연구에 사용하는 지반공동 채움 재료는 2액형 약액을 사용하였다. 2액형 약액의 반응식은 Fig. 2와 같다. 기본적인 채움 재료의 고결 반응 메커니즘은 Polyol 수산기와 Methylene Diphenyl Diisocyanate(MDI)계 이소시아네이트로 구성된 용액이 혼합 및 교반의 과정에 의해 요소 결합되는 것이다. 2액제 충전재료는 3차원의 망상 구조를 형성하며, 가교반응의 주 반응식은 “중합반응(Fig. 2(a)) → 가수반응(Fig. 2(b)) → 발포반응(Fig. 2(c)) → 가교반응(Fig. 2(d))”의 순서로 이루어진다. 중합반응은 Polyisocyanates와 Polyol의 반응으로 요소결합이라 지칭되며, 가수반응은 Polyisocyanates와 물의 반응으로 즉시 반응하여 수산화기(–OH)를 남기게 된다. 발포반응에서는 수산회기와 반응하여 이산화탄소가 발생되며, 마지막으로 가교반응을 통해 고결화 된다.
3. 실내실험을 통한 팽창재료의 팽창압 평가
팽창재료의 팽창압을 계산하기 위해 Fig. 3(a)와 같은 실내실험을 진행하였다. 실험에 사용된 장비 및 장치는 일축압축시험기와 일축압축시험기의 로드셀 직경(ø = 5cm)에 부합하는 원형 몰드이다. 바닥면으로부터 로드셀까지의 높이를 8cm로 설정하고, 몰드 내부에 팽창재료를 삽입 후 몰드를 결속시킨다. 팽창재료는 몰드 내부에서 팽창되고, 팽창에 의해 발생하는 힘이 상단 로드셀에서 측정된다. 실험방법에 따른 실험 장비의 치수는 Fig. 3(b)와 같다.
팽창재료는 157cm3인 몰드 부피내에서만 팽창하게 되고 그 이상의 팽창 부피에 대해서는 팽창압으로 환원되어 로드셀에서 측정된다. 이때 팽창재료의 주제와 경화제는 1:1로 배합하였으며, 총 배합량(팽창전 주제와 경화제 부피의 합)을 변화시켜가며 실험을 진행하였다. 구체적 실험 방법은 다음과 같다.
(1)분리된 몰드에 주제와 경화제를 1:1로 배합하여 삽입하고 몰드를 체결한다. 초기 배합량은 각각 20ml로 총량 40ml이므로 원재료 대비 최종 몰드 내에서 팽창될 부피비는 3.93배이다.
(2)최초 압력 발생 시점(해당 부피비까지 도달한 시간)을 체크하고, 이후 압력을 10초단위로 측정한다.
(3)팽창재료가 완전 경화된 후(30분 경과 후) 몰드를 해체한다.
(4)(1)∼(3)의 과정으로 총 배합량을 27ml, 20ml, 16ml, 13ml로 변화시켜 반복 실험한다. 총 배합량 27ml, 20ml, 16ml, 13ml에 대해 최종 팽창 부피비는 5.81배, 7.85배, 9.81배, 12.08배이다.
원재료 대비 최종 팽창 부피비에 따른(총 배합량 40ml, 27ml, 20ml, 16ml, 13ml에 대한) 팽창압 수렴시간(팽창완료시간) 측정 결과는 Fig. 4와 같다. 즉, 총 배합량에 따라 팽창재료가 구속된 몰드 내에서 완전히 팽창하기까지 걸리는 시간은 6초∼19.49초의 범위를 나타낸다. 전반적으로 총 배합량이 클 경우 완전히 팽창하기까지 걸리는 시간은 짧았으며, 배합량이 적을 경우 배합량 변화에 대하여 완전히 팽창하기까지 걸리는 시간의 변화는 크지 않았다. 다르게 해석하면, 팽창재료는 원재료 대비 최종 팽창 부피비가 7.85배까지는 급격하게 팽창하다가 그 이후 팽창비에 대해서는 서서히 비슷한 속도로 팽창함을 알 수 있다.
다양한 팽창비 조건에서 시간에 따른 측정된 팽창압은 Fig. 5와 같다. 동일한 몰드 부피(157cm3)에서 5가지의 총 배합량으로 실험한 결과, 원재료 대비 최종 팽창 부피비가 작을수록 팽창압은 크게 나타났다. 원재료 대비 최종 팽창 부피비가 3.93배일 경우 팽창압은 0.27MPa였고, 원재료 대비 최종 팽창 부피비가 최대인 19.49배의 경우 팽창압은 0.07MPa로 측정되어 팽창압은 최대 약 3.86배 차이를 보였다. Fig. 5에서 보듯이 다양한 배합량의 시료는 대부분 90초 이내에서 팽창이 완료되며, 이후 경화가 이루어짐을 알 수 있다. 긴급복구공법은 비개착식으로 진행되는 만큼 공기의 단축성이 중요하다. 따라서 본 연구에서 수행중인 팽창재료를 이용한 긴급복구공법은 공동을 채움에 있어서 단시간 내에 발휘될 수 있으므로 다른 공법(흙되메움 공법, 그라우팅 공법 등)에 비해 급속시공이 가능할 것이라 판단된다.
4. 공동형상별 팽창재료의 압력이 공동 내부에 미치는 영향
4.1 수치해석 모델링
포장층 하부에 존재하는 공동형상별 팽창재료의 압력이 공동 내부에 미치는 영향을 수치해석적으로 분석하기 위하여 Fig. 6과 같이 모델링하였다. 지반 및 도로의 모델링과 물성치는 Seo et al.(2002)의 연구에서 제시된 값(Table 1)과 같다고 가정하여 수치해석을 수행하였다. 지반 및 도로는 아스팔트 포장층(Asphalt layer), 보조기층(Subbase layer), 노상(Subgrade layer)으로 구성되며, 각 층의 두께는 0.2m, 0.3m, 13.36m으로 가정하였다. 본 연구에서 가정한 노상의 물성(단위중량 18.74kN/m3, 탄성계수 261.24MPa, 포아송비 0.4)은 일반적인 노상 강도 및 강성(수정CBR 10% 이상)을 만족하는 것으로 가정하였다.
공동의 위치는 긴급 및 우선 복구 등급의 공동을 대상으로 설정하였다. Seo et al.(2002)에서는 포장층 두께를 0.25m로 가정하였지만, 본 연구에서는 아스팔트 콘크리트의 포장층을 0.2m로 설정하고, 공동은 아스팔트 포장층 하단에 위치 시켰다. 포장층의 두께를 0.2m로 줄인 이유는, Seoul City(2016)에서 긴급 및 우선 복구 등급의 공동은 토피 0.3m 이내에 분포하고, 포장층의 두께가 0.2m 이내로 규정하기 때문이다. 수치해석에 사용된 프로그램은 ABAQUS(SIMULIA, 2014)이며, 공동의 형상 모사와 해석의 수월함을 위해 2D model(shell)을 사용하였고, Element type은 해석의 정확도를 높이기 위해 CPE8R(An 8-node biquadratic plane strain quadrilateral, reduced integration)로 구성하였다.
공동은 기본적으로 사각형 형태로 구성하였으며, 공동형상은 폭(가로 길이)과 높이(세로 길이)를 조절함으로써 모사하였고, 기본적으로 1m(폭) × 1m(높이) 크기의 공동을 기본 공동으로 설정하였다. 공동 폭에 따른 팽창재료의 적용성을 파악하고자 공동의 높이를 1m로 고정하고 공동의 폭을 0.4m, 1.0m, 1.6m로 변경하였으며, 공동 높이에 따른 팽창재료 복구 효과를 분석하기 위하여 같은 방법으로 폭을 1m로 고정하고 높이를 0.4m, 1.0m, 1.6m으로 변경하였다. 공동 형상별로 모델링이 완료되면 실험에 의해 측정된 팽창재료의 팽창압을 수치해석 모델에 적용시켰다. 팽창압은 0.27MPa(3.93배 팽창), 0.13MPa(7.85배 팽창), 0.07MPa(12.08배 팽창)로 가정하였다.
4.2 팽창압력이 주변 지반 및 아스팔트 포장층 하부에 미치는 영향
아스팔트 포장의 경우 지표면과 가까울수록 더 강성이 크고 강도가 큰 공학적으로 우수한 재료를 사용한다. 일반적으로 구조적으로 깊이 들어갈수록 공학적으로 약한 특성을 가진다. 공동에 팽창압을 발현시켜 채울 경우, 팽창압으로 인해 공동 주변 지반이 거동할 수 있다. 팽창압으로 인한 발생하는 지반 거동효과는 공동 측면과 하부 지반이 클 것으로 판단되지만, 아스팔트 포장층은 강성은 크지만 두께가 얇아 응력집중과 변위가 많이 발생할 수 있다.
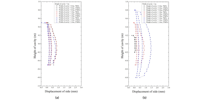
Fig. 7은 공동 내부에 팽창압력이 발현되었을 때 공동 주변부의 변위 이동량을 나타낸다. Fig. 7(a)는 지반 및 아스팔트 포장층의 가로축 방향의 변위(수평변위) 이동 정도(U1)를 나타내며, Fig. 7(b)는 지반 및 아스팔트 포장층의 세로축 방향의 변위(연직변위) 이동량(U2)을 나타낸다. 수평변위의 경우 양 측면에서 중심을 대칭으로 같은 값을 가지며, Fig. 7(a)에서 각 측면에 다른 색을 가지는 것은 변위 이동방향이 각 측면에서 다르기 때문이다. 변위 이동량의 분포 범위는 상대적으로 세로축 방향에서 큰 범위를 가지고 있으며, 가로축 방향으로는 상대적으로 작았다. 연직변위의 경우 아스팔트 층에 상대적으로 많은 변위가 발생함을 알 수 있다.
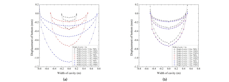
공동 형상과 팽창압에 따른 공동의 상단과 하단, 옆면의 변위 이동량은 Figs. 8∼10과 같다. 공동의 상단과 하단은 연직 방향 이동량을 측정하였으며, 옆면의 경우 공동 오른쪽과 왼쪽의 변위 이동량이 같기 때문에 오른쪽 공동면을 대상으로 수평 방향의 변위 이동량을 측정하였다. Figs. 8 ∼10에서 왼쪽 그림(Figs. 8(a), 9(a), and 10(a))은 공동의 높이가 1m이고, 공동의 폭을 0.4m, 0.6m, 0.8m로 설정하여, 공동의 폭에 따른 영향을 파악하였다. 오른쪽 그림(Figs. 8(b), 9(b), and 10(b))은 공동의 폭이 1m이고, 공동의 높이를 0.4m, 0.6m, 0.8m로 설정하고, 공동의 높이에 따른 영향을 파악한 결과이다.
Fig. 8과 Fig. 9는 각각 주어진 압력이 작용하였을 경우 공동 상단 아스팔트 포장층과 공동 하부 지반의 연직 방향 이동량(연직변위)을 나타낸다. 공동내 작용하는 압력이 클수록 연직 변위는 높게 측정되었으며 공동의 폭이 클수록 연직변위가 증가하였다. 하지만, 공동 높이에 따른 연직변위의 변화는 상대적으로 크지 않다는 것을 확인할 수 있었다.
Fig. 10은 작용된 팽창압력에서 따른 공동 측면 지반의 수평변위량을 분석한 결과이다. Fig. 10(a)에 따르면 공동내 작용하는 압력이 클수록 수평변위량이 증가하였으며, 공동의 폭이 공동 측면 지반의 수평변위에 미치는 영향은 미비하였다. 각 작용 팽창압에 대하여 0.4m의 폭을 가지는 공동의 경우 가장 적은 수평변위량이 측정되었고, 공동 폭이 1m와 1.6m일 경우 공동 측면 지반의 수평변위량은 비슷한 값을 가졌다. 또한 Fig. 10(b)에서 보는 바와 같이 팽창압이 클수록 공동 측면 지반의 수평변위량은 증가하였으며 공동의 높이가 높을수록 공동 측면 지반의 수평변위량은 큰 값을 가졌다.
공동의 폭과 높이, 작용하는 팽창압에 따른 공동 주변부의 영향을 파악하기 위해 Fig. 11과 같이 변위 이동량에 따른 면적을 구하였다. 해당 면적은 팽창압이 공동 주변부 지반에 작용하였을 경우 공동 주변부가 밀리는 면적을 의미한다. Fig. 11에 따라 공동의 폭과 높이, 팽창압에 따른 지반과 아스팔트 포장층 하부의 면적변화는 Table 2와 같이 정리된다. 면적 변화가 가장 큰 경우는 공동 높이 1m, 공동 폭 1.6m의 공동에서 270kPa의 팽창압이 작용할 경우 공동의 상단이였으며, 면적 변화가 가장 작은 경우는 공동 높이 1m, 공동 폭 0.4m의 공동에서 70kPa의 팽창압이 작용할 경우 공동의 하단이다. 또한 팽창압이 증가 할수록 모든 공동에서 면적 변화는 증가하였다.
Table 2. Surrounding foundation area (cm2) influenced by expansive material within cavity for different cavity geometries with different expansion pressure
![]() |
공동의 폭에 따른 주변 지반의 변위 발생 영향을 보면 공동의 폭이 증가할수록 공동 하단과 공동 상단의 면적변화는 증가하였으나, 공동 측면부의 경우 오히려 감소하는 경향을 보였다. 하지만 그 증감폭은 미비한 편이였으며, 공동 상단의 면적변화는 상대적으로 큰 값을 나타냈다. 공동의 높이에 따른 영향은 공동의 높이가 증가할수록 모든 공동면에서의 면적변화는 증가하였다. 하지만 공동 상단과 하단의 변화는 미세한 수준이였으나, 공동 측면부는 변화가 크게 나타났다. 해당 결과를 통해서 팽창압력이 작용할 경우 공동의 폭은 공동 상단과 하단에만 영향을 미치며, 공동의 높이는 공동 측면부에 영향을 미치는 것을 파악 할 수 있다.
4.3 팽창압력이 도로 상단부에 미치는 영향
팽창압력이 공동 내부에 작용하였을 경우 도로 상단 표층부분이 융기하거나 아스팔트 포장층의 파괴를 방지하기 위해 팽창압 공동 내부에 작용했을 때 이에 따른 도로상단 표층부분에 미치는 영향을 파악하여야 한다. 따라서, 팽창압(70kPa, 130kPa, 270kPa)를 공동 내부에 작용시키고 이에 따른 도로상단 표층부분의 변위를 측정하였다(Fig. 12). 팽창압력이 증가 할수록 도로상단 표층부분의 변위는 증가하는 경향을 보였다. 270kPa의 압력에서 공동의 높이가 1.0m, 공동의 폭이 1.6m인 공동에서 최대 13.5mm의 변위 이동량이 발생하였다. 또한 모든 팽창 압력 내에서 공동의 폭(1m)이 같을 때, 공동의 높이는 도로상단 표층부 변위에 큰 영향을 미치지 않았다.
5. 결 론
본 연구에서는 공동의 형상에 따라 새로운 지반함몰 복구공법인 팽창재료를 사용한 긴급복구 공법의 적용성을 파악하기 위해 수치해석을 통해 해당 사항을 분석하였다. 공동에 작용하는 팽창압력은 실내실험을 통해 구하였으며, 이를 다양한 공동 높이와 폭에 적용시켰다. 해석결과 얻은 결론은 다음과 같다.
(1)팽창압력 실험 결과 팽창재료는 7.85배까지는 급격히 팽창하다가 이후 팽창속도가 감소하며, 팽창 완료시간은 약 90초로 긴급복구 공법에 적합한 것으로 판단된다.
(2)팽창압력이 주변 지반 및 아스팔트 포장층 하부에 미치는 변위 영향에 대하여 분석한 결과, 공동의 폭은 공동 상단(아스팔트 포장층 하부)와 공동 하단 지반부의 연직변형에 큰 영향을 미치는 인자이며, 공동의 높이는 공동 측면부의 수평변위에 큰 영향을 미치는 인자이다. 따라서, 팽창재료를 적용한 공동 복구에서 팽창재료로 인한 아스팔트 표층 및 하부지반의 변위에 대한 영향도를 검토하기 위해서는 공동의 폭을 중요하게 파악하여야 하며, 공동 주변 측면부의 경우에는 공동의 높이를 유의하여야 한다.
(3)팽창압력의 도로상단 표층부에 대한 연직변위 영향은 공동의 높이보다는 폭과는 관련이 있었다. 공동의 폭이 같은 비율로 증가하더라도 아스팔트 표층부에 미치는 영향은 더 큰 값을 가졌으며, 이는 도로 하단에 작용하는 압력범위의 차이로 힘이 더 많이 작용하기 때문으로 판단된다.
(4)종합적인 해석 검토 결과 공동의 높이보다는 공동의 폭에 따라 팽창재료를 이용한 공동의 긴급복구 공법이 고려되어야 할 필요가 있다. 공동 주변부를 강하게 다짐하고 싶을 경우 팽창재료의 양을 늘려 팽창압력을 많이 발생시켜야 하겠지만, 이는 도로 포장층에 지대한 영향을 끼칠 수 있다. 따라서, 본 수치해석을 통한 결과를 토대로 실제 실험을 진행하고 이에 따른 공동 긴급복구 공법으로써 팽창재료의 적합성을 정밀하게 검토해야 할 필요가 있을 것으로 판단된다.
















