1. 서 론
2. 복층터널 분기구간 안정성 평가 방법
2.1 국내 병설터널 이격거리 안정성 설계기준
2.2 Peck의 방법(1969)
2.3 Matsuda의 방법(1988)
2.4 강도-응력비를 이용한 방법
2.5 간섭체적비를 이용한 방법
3. 복층터널 분기구간의 암반 필라부 안정성 분석
3.1 터널 모델링
3.2 터널거동 검토
3.3 경험식에 의한 안정성 검토결과
3.4 강도응력비 검토결과
3.5 간섭체적비 검토결과
4. 안정성 분석 결과 고찰
5. 결 론
1. 서 론
국내에서 터널건설이 본격적으로 시작된 지 40여년이 지난 현재, 기하급수적으로 늘어난 교통량으로 인하여 도심지 내에서 상습적인 정체구간이 발생하여 차량들을 원활히 소통시키는데 어려움을 겪고 있다. 이에 대한 대책으로 신설터널을 건설하거나 기존 도로를 확충하는 등의 많은 투자가 이루어지고 있으나 도심지 내에서는 부지매입, 환경훼손, 발파진동 및 소음에 대한 민원 등의 어려움을 겪고 있어 신설터널 건설에 많은 제약이 존재한다. 이러한 문제들로 인해 해외 일부 국가에서는 도로터널을 지하화 하여 시공 및 운영 중에 있으며 그 중 복층터널은 지상공간 영향의 최소화, 경제성 증진 등의 이유로 도심지 터널계획시 적용성이 우수한 것으로 알려져 있다. 최근 국내에서도 복층터널에 관한 관심이 증가하고 있으나 복층터널의 계획에 관한 제반사항을 규정하고 있는 설계기준 및 지침이 미비한 상태이다(Kim et al., 2010). 또한, 도심지에서 지하화된 복층터널이 도로의 기능을 수행하기 위해서는 지상 도로와 연결되는 진ㆍ출입로가 필요하며 이에 따라 터널 내에 분기구간이 존재하여 진․출입로 역할을 담당하게 된다.
터널 내 분기부의 설계시 필라의 폭은 분류 및 합류되는 각도와 상관성을 가지며, 이에 따라 도로의 선형, 공사비, 주행성, 시공성 등에 커다란 영향을 미치게 된다(Kang et al., 2014). 특히, 복층터널의 분기구간은 필라의 안정성이 확보되지 않는 단면에 대하여 터널의 형상이 모자 형태의 대단면으로 일반 또는 병설터널의 분기시와 상이하며 터널의 설계와 시공 조건이 복잡하고 그에 따른 안정성 확보에 어려움이 존재할 수 있다. 또한, 암반 필라의 안정성이 확보되는 일정거리 이상의 이격거리가 발생하여야 기존 병설터널과 같이 분리된 형태로 설계 및 시공할 수 있는가를 판단할 수 있다. 본 연구에서는 암반에서 시공되는 대심도 2차로 본선 복층터널에서 1차로 단층터널로 분기가 일어나는 조건을 대상으로 본선터널과 분기터널간의 간격에 따라서, 그리고 암반상태에 따라서 터널의 거동과 안정성을 검토하였으며, 이를 통해 궁극적으로 분기구간 본선 복층터널과 분기터널의 적절한 단면 결정을 위한 기초 자료로 활용될 수 있도록 하고자 하였다.
2. 복층터널 분기구간 안정성 평가 방법
필라의 안정성이 확보되지 않는 복층터널 분기구간의 단면은 Fig. 1(a)와 같이 모자형태의 대단면이 되어야 안정성 확보에 유리하고 이격거리가 충분하여 필라의 안정성이 확보되는 단면에 대하여 Fig. 1(b)와 같이 분리된 형태가 된다. 이러한 단면형상을 결정하게 하는 복층터널 분기구간의 안정성과 관련하여 기존 연구는 현재까지 복층터널에서 분기되는 지하도로의 실제 시공 사례가 없었던 관계로 국내뿐 아니라 해외에서도 찾아보기 어렵다. 그러나, 병설터널의 필라 안정성 검토 및 그에 따른 이격거리 결정에 관해서는 기존에 많은 연구가 수행된 바 있으며, 그와 관련된 여러 방법이나 이론 등이 복층터널 분기구간의 본선과 분기 터널간 필라에 대하여 적용될 수 있다. 병설터널의 이격영향을 평가하기 위한 대표적인 방법들로는 경험적 필라 안정성 평가방법인 Peck(1969)의 방법과 Matsuda(1998)의 방법, 수치해석 등을 통해 필라부에 작용하는 주응력을 구하여 암반 파괴규준에 근거한 강도-응력비를 이용하는 방법, 그리고 지표침하를 이용한 간섭체적비를 이용한 방법 등이 있다. 또한, 국내 병설터널에 관련된 규정으로는 터널표준시방서(‘09 국토해양부), 도로설계요령(‘02 한국도로공사), 터널설계 실무자료집(‘00 한국도로공사)등과 같은 규정들이 존재한다.
2.1 국내 병설터널 이격거리 안정성 설계기준
도로공사 설계실무자료집(2000)에는 ‘터널이격거리 설정시 PW=1.5D (PW:필라폭, D:터널폭)를 기준으로 터널갱구부의 지반물성치에 의한 수치해석 등의 검토를 시행하여, 갱구부 지형조건과 터널의 구조적 안정성 및 경제성(용지비, 이격거리축소에 따른 갱구부 보강공사비등) 검토 결과에 따라 적정 이격거리가 되도록 증, 감하여 적용한다’라고 명시하여 필라의 상태에 따라 적정 이격거리를 산정하도록 하였다. 동일한 심도의 병설터널에서 터널간 이격거리가 터널직경의 1배 이상일 경우, 그 영향은 10% 미만으로 알려져 있으나(Jung et al., 2007) 복층터널 분기구간의 적정 이격거리를 산정하기 위해서는 세부적인 검토가 필요하다고 볼 수 있다. Table 1은 병설터널 이격거리에 관한 설계기준을 요약하여 나타낸 것이다.
2.2 Peck의 방법(1969)
Peck의 방법은 병설터널 굴착시 필라부에 발생하는 평균응력(
)과 일축압축강도(
)의 비교를 통해 안정성을 평가하는 근사적인 기법으로서 다음과 같이 요약하여 나타낼 수 있다.
두 터널에 있어서 필라의 평균응력(
)은 다음 식 (1)과 같이 근사적으로 표현된다.
(1)
여기서,
: 단위중량 (
/m3)
H : 지표면으로부터의 터널 깊이 (m)
D : 터널폭 (m)
P : 필라폭 (m)
또한, 필라의 압축강도(
)는 다음 식 (2)와 같이 산정할 수 있다.
(2)
여기서,
C : 점착력 (
/㎡)
: 내부마찰각
따라서, 필라의 초기항복에 대한 안전율(
)은 식 (3)과 같이 나타낼 수 있다.
(3)
2.3 Matsuda의 방법(1988)
Matsuda는 토피고(상재하중)가 1D(D=터널의 폭)보다 작은 경우, 터널 상부의 전 하중이 중앙 필라부 영역의 지반에 작용하는 것으로 가정하였다. 이러한 경우 계획된 중앙 필라부 구조체의 강도가 작용 응력보다 크면 안정성을 확보하게 된다. 다소 보수적이지만, 현재 실무에서도 Matsuda 방법을 이용한 필라 안정성 검토가 수행되고 있다.
중앙벽체에 작용하는 응력(
)과 암반 필라의 안전율은 다음 식 (4)∼(6)에 의해 구해진다.
토피(H)가 터널폭(D)보다 큰 경우:
(4)
토피(H)가 터널폭(D)보다 작은 경우:
(5)
Matsuda의 안전율:
(6)
여기서,
: 단위중량 (
/m3)
H : 토피고 (m)
D : 터널폭 (m)
P : 필라폭 (m)
: 암반강도 (
/㎡)
2.4 강도-응력비를 이용한 방법
다양한 구속압력(
)에 대하여 소성파괴의 시작은 해당 재료가 Mohr-Coulomb 파괴기준을 따른다고 가정시 다음 식 (7)과 같이 표현된다.
(7)
여기서, 암반의 일축압축강도
은 식 (8)과 같이 정의된다.
(8)
또한,
에 대한
의 기울기
는 식 (9)와 같다.
(9)
여기서,
: 파괴시 축방향 응력 (강도)
: 구속응력
: 암반의 점착강도
: 암반의 내부마찰각
식 (7)을 통해서 최종적으로 강도응력비는 식 (10)과 같이 정의된다.
(10)
필라의 강도-응력비가 필라 전체의 안전율을 대변하지는 않지만, 진행성 파괴(progressive failure)나 응력 전이과정(stress transfer progress)을 고려하여 필라 중앙 단면에서의 평균 강도-응력비(average strength-stress ratio)가 1.0 이하가 되면 필라 전체가 불안해지는 것으로 알려져 있다(Hoek and Brown, 1980).
|
Fig. 2. An example of surface settlement distributions usedfor obtaining the volume of interface (Ryu, 2014) |
2.5 간섭체적비를 이용한 방법
Fig. 2에서 보는 바와 같이 인접한 1차, 2차 터널을 순차적으로 굴착할 경우 주변지반의 거동은 단일터널만을 굴착할 경우 나타나는 거동과는 상이하게 된다. 간섭체적비(Volume of Interference)란 2차터널을 단일터널로 가상시(즉, 1차 터널이 존재하지 않는 상황) 발생하는 지표면 침하의 체적에 대한 1차터널 굴착 후 2차터널의 굴착으로 인한 추가 발생 지표침하의 증가 체적의 비율을 의미하며(Kim, 1997), 이는 두 개의 인접한 터널 굴착시 상호간의 간섭 영향을 정량화해서 나타내는 지표라 할 수 있다.
3. 복층터널 분기구간의 암반 필라부 안정성 분석
본 연구에서는 복층터널 분기구간의 안정성 분석을 위하여 이에 대한 중요한 지표가 되는 암반 필라의 안정성을 터널 이격거리에 따라 검토하였으며, 검토 방법으로서 기존의 경험식들을 통해 안전율을 산정하는 방법과 수치해석을 통해 얻어진 암반 필라의 주응력값을 이용하여 강도-응력비를 산정하는 방법, 그리고 지표침하량을 이용한 간섭체적비를 산정하는 방법을 적용하였다.
3.1 터널 모델링
복층터널의 본선과 분기터널이 이격되는 거리에 따라 변화되는 필라폭과 지반조건(암반등급)을 매개변수로 하여 범용 지반 유한차분 해석프로그램인 FLAC 6.0을 사용하여 Mohr-Coulomb 파괴기준에 따른 탄소성 해석을 수행하였다. 해석 대상 터널로는 가상의 복층터널 편도 2차로의 본선 터널(폭 12m, 높이 11m)과 편도 1차로의 분기 터널(폭 6.2m, 높이 4m) 단면을 적용하였다(Fig. 3. 참조). 해석영역의 설정은 상부는 지표에서 40m, 측면은 터널 굴착영역의 3.5배 이상, 하부경계는 터널 주변으로부터 터널 높이의 4배로 설정하여 지반경계가 해석결과에 영향을 미치지 않도록 고려하였다.
터널 이격거리는 Table 2와 같이 본선터널의 직경(D) 기준으로 0.1D부터 2.0D까지 변화하는 것으로 가정하여 총 7개의 조건들에 대하여 검토하였고, 암반 등급은 1등급에서 5등급까지 Table 3에 나타낸 바와 같은 물성을 적용하였다. 터널의 굴착 및 지보는 Table 4에 나타낸 바와 같이 전단면 굴착과 암반등급에 따라 지보패턴을 달리하여 적용하고, 이격거리가 0.7D 이하로 작은 경우에 대해서는 록볼트로 인한 간섭을 피하기 위하여 실제 터널 간격이 좁은 병설터널에서 일반적으로 적용하는 방법인 타이볼트로 시공하는 것으로 모델링 하였다. 해석시 Rock mass에 가까운 4, 5등급 암반의 경우 타이볼트가 체결될 경우 지반보강 효과를 얻게 되므로 타이볼트가 체결된 영역의 지반물성이 한등급 상향되는 것으로 가정하여 해석하였고 신선암에 가까운 3등급 이상의 암반에서는 타이볼트가 단순히 연결의 역할을 하는 것으로 가정하여 해석하였다.
Table 2. Separation distances used in analysis | |
Separation distance | |
PW = 0.1D, 0.3D, 0.5D, 0.7D, 1.0D, 1.5D, 2.0D | |
Table 4. Tunnel support conditions | ||||||
Type | P-1 | P-2 | P-3 | P-4 | P-5 | |
Tunnel support | ||||||
Shotcrete(cm) | 5 | 5 | 8 | 12 | 16 | |
Rock bolt (m) | Length | 3 | 3 | 4 | 4 | 4 |
Interval | 2.5 | 2.0 | 1.5 | 1.5 | 1.2 | |
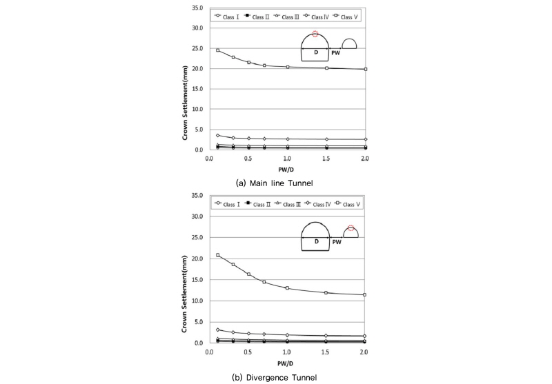
3.2 터널거동 검토
Fig. 4와 5에 이격 영향에 따른 터널 거동을 천단변위와 숏크리트 응력, 록볼트 축력으로 나타내었다. 각 케이스별 천단변위값을 확인 한 결과 필라폭이 좁아질수록 천단변위값이 크게 발생하는 경향을 나타내었다. 하지만 각각의 암반상태에 대하여 필라폭이 증가함에 따라 천단변위값이 감소되는 경향이 다르며 5등급 암반의 경우 필라폭이 0.7D 이상부터 감소율이 크게 작아지는 것을 알 수 있고 4등급 암반의 경우 필라폭이 0.3D 이상부터 감소율이 작아지며,암반상태가 좋은 1, 2, 3등급의 경우는 필라폭에 따른 감소율의 차이가 거의 없는 것을 확인하였다. 또한, 5등급 암반과 4등급 이상 암반의 천단변위값의 차이가 매우 큰 것으로 나타났고 굴착영역이 큰 본선터널이 분기터널에 비하여 천단변위값이 좀 더 크지만 감소율이 일찍 수렴하는 것을 확인하였다.
숏크리트 응력 검토결과 5등급암반의 경우 필라폭이 0.3D 이내에서, 4등급 암반의 경우 0.1D에서 28일 기준 강도에 대한 허용치(
)보다 큰 것을 확인하였고, 록볼트 축력 검토결과 5등급 암반의 경우 필라폭 1.3D 이내에서, 그리고 4등급 암반의 경우 0.3D 이내에서 허용치(SD35, D25=86kN)보다 큰 값을 갖는 것으로 나타났다.Fig. 6은 터널 주변 응력 검토결과의 일부를 나타낸 것으로 이격거리가 0.1D인 경우와 1.0D인 경우, 암반 필라에 집중되는 응력의 크기차가 매우 큰 것으로 나타났다. 또한, 이격거리가 1.0D인 경우 본선터널과 분기터널이 각각의 이완영역을 갖는 반면에 이격거리가 0.1D인 경우 본선터널과 분기터널이 하나의 이완영역에 속하는 것을 볼 수 있다.
3.3 경험식에 의한 안정성 검토결과
Peck의 방법과 Matsuda의 방법을 이용하여 수치해석이 수행된 조건과 동일한 본선-분기터널 이격거리와 암반 조건들에 대하여 필라의 안전율을 산정하였으며, 그 결과는 Fig. 7에 나타낸 바와 같다. Matsuda의 방법이 Peck의 방법보다 전체적으로 안전율이 더 높게 계산되는 것으로 나타났고, 필라폭의 간격이 넓을수록 안전율이 증가하였으며, 암반강도에 따라서 변화가 큰 것으로 확인되었다. Peck 방법의 경우 5등급에서는 모두 불안정하고 4등급에서는 0.7D이내, 3등급에서 0.1D이내, 2등급에서 0.05D이내에서 불안정하였으며, Matsuda 방법의 경우 5등급에서는 0.5D이내, 4등급에서 0.1D이내에서 불안정한 것으로 나타났다. 그러나, 본 방법들에 의한 결과는 단순히 암반의 강도에 기초한 것이며, 안전율이 과대평가 될 수 있음을 감안할 때 4등급 이하 암반의 경우는 0.7D 이내에서 불안정한 것으로 볼 수 있다.
3.4 강도응력비 검토결과
앞서 기술한 2.4절의 강도-응력비 산정식과 수치해석 결과를 바탕으로 얻어진 선․후행 터널간 암반 필라부 중심부의 주응력값을 이용하여 강도-응력비를 산정하였다(Fig. 8 참조). 수치해석 결과 필라폭의 간격이 좁아질수록 최소주응력은 감소하고 최대주응력은 증가하는 경향을 보였고 1∼4등급 암반의 경우 0.5D부터 1.0 이상의 값을 나타내었으며, 5등급 암반의 경우 0.7D부터 1.0 이상의 값을 나타내었다. 1∼4등급 암반의 경우 암반 필라부 중심부의 주응력값은 상이하나 강도-응력비로 나타낼 경우 그 차이는 미미한 수준으로 필라부의 안정성에 있어서 암반강도보다는 이격거리의 영향이 더 크다는 것을 알 수 있다.
3.5 간섭체적비 검토결과
수치해석 결과를 바탕으로 얻어진 선․후행 터널 굴진시의 지표침하를 이용하여 간섭체적비를 산정 한 결과를 Fig. 10에 나타내었다. 수치해석 결과 필라폭의 간격이 좁아질수록 간섭체적비가 큰 경향을 보였으며, 모든 암반에서 0.7D부터 변곡이 생기고 간섭체적비 감소율이 작아지는 것으로 확인되었다. Fig. 9는 5등급 암반에서 이격거리가 0.1D인 경우의 지표침하와 4등급 암반에서 이격거리가 0.1D인 경우의 지표침하, 그리고 3등급 암반에서 이격거리가 0.1D인 경우의 지표침하를 도시하였다. 침하량 결과는 전체적으로 큰 차이를 보이지만 이를 간섭체적비로 나타낼 경우 1∼4등급 암반의 경우 그 차이는 미미한 수준으로 강도-응력비와 같이 암반강도보다는 이격거리의 영향이 더 크다는 것을 알 수 있다.
|
Fig. 9. Surface settlement distributions for separation distance 0.1D and 1.0D for three different rock conditions |
4. 안정성 분석 결과 고찰
수치해석결과 필라폭이 좁아질수록 천단변위값이 크게 발생하는 경향을 보였으나 각각의 암반상태에 대하여 필라폭이 증가함에 따라 천단변위값이 감소되는 경향이 다르고 암반상태가 좋은 1, 2, 3등급 암반의 경우는 상대적으로 4, 5등급 암반 보다 필라폭에 따른 감소율의 차이가 거의 없는 것으로 나타났다. 또한, 본선터널보다 상대적으로 작은 분기터널에서 천단변위값의 변화가 더 크게 나타났으며 모든 터널에서 5등급 암반과 4등급 이상 암반의 천단변위값의 차이가 매우 큰 양상을 나타내었다. 경험식에 따른 안전율 산정 결과, 전체적으로 Matsuda 방법에 의한 안전율이 Peck의 방법보다 큰 것으로 나타났으며, 두 방법 모두 단순히 암반의 강도에 기초하여 산정되는 것임을 감안할 때, 4등급 이하 암반의 경우는 0.7D이내에서 불안정한 것으로 나타났다. 강도-응력비 산정 결과는 1∼4등급 암반의 경우 0.5D부터, 5등급 암반의 경우 0.7D부터 1.0 이상의 값을 나타내었다. 1∼4등급 암반의 경우 암반 필라부 중심부의 주응력값은 상이하나 강도-응력비로 나타낼 경우 그 차이는 미미한 수준으로 필라부의 안정성에 이격거리가 보다 크게 영향을 미침을 알 수 있다. 간섭체적비 산정 결과, 모든 암반에서 0.7D부터 변곡이 생기며 간섭체적비 감소율이 작아지는 것으로 확인되었다. 또한, 침하량 결과는 전체적으로 큰 차이를 보이지만 이를 간섭체적비로 나타낼 경우 1∼4등급 암반의 경우 그 차이는 미미한 수준으로 역시 이격거리의 영향이 큼을 알 수 있다. 경험식의 경우 단순히 암반강도에 기초하여 안정성을 평가하므로 암반등급과 이격거리에 따라서 그 차이가 분명하게 드러나는 것을 알 수 있으나 수치해석을 이용한 방법(강도-응력비 및 간섭체적비)의 경우 암반강도보다는 이격거리가 안정성에 미치는 영향이 더욱 큼을 알 수 있다. 또한, 전체적으로 5등급 암반과 4등급 이상의 암반에 대해서 거동의 차이가 확연히 나타나는 것을 확인할 수 있었다. 결과적으로 본선과 분기터널의 이격거리가 0.7D 이하인 경우는 본선과 분기터널을 모자 형태의 하나의 대단면으로 시공하는 것이 안정성 측면에서 유리한 것으로 판단된다.
5. 결 론
본 연구에서는 지하도로를 복층터널로 건설시 본선 복층터널에서 단층터널로 분기가 되는 구간의 터널 거동과 본선(2차로)과 분기터널(1차로)간의 이격에 따른 필라 안정성을 다양한 이격조건과 암반조건에 대해서 수치해석과 그 외 여러 방법(경험식, 강도-응력비, 간섭체적비)을 이용하여 비교, 검토하였으며 그 결과를 요약하여 나타내면 다음과 같다.
(1)수치해석 결과 필라폭이 좁아질수록 전체적으로 터널의 천단변위와 암반의 이완영역이 증가하고, 5등급 암반 0.7D 이상의 이격거리에서 필라폭 증가에 따른 천단변위의 감소가 특히 큰 것으로 나타났다.
(2)경험식들을 이용한 필라 안전율 산정 결과, 경험식이 단순히 암반의 강도에 기초하여 산정되는 것임을 감안할 때, 4등급 이하 암반의 경우는 0.7D이내에서 불안정한 것으로 나타났다.
(3)강도-응력비는 1∼4등급 암반의 경우 0.5D부터, 5등급 암반의 경우 0.7D부터 1.0 이상의 값을 나타내었고, 간섭체적비 산정 결과 전 암반등급에 대하여 전체적으로 이격거리 0.7D를 중심으로 그 이하 간격에서는 이격거리가 증가함에 따른 간섭체적비의 감소가 상대적으로 크게 일어나는 반면, 그 이상의 간격에서는 감소 추세가 완만해져 점차 일정한 값으로 수렴하는 것으로 나타났다.
(4)강도-응력비와 간섭체적비 결과는 경험식을 적용한 결과와 비교했을 때 상대적으로 암반강도에 비해 이격거리가 필라 안정성에 미치는 영향이 더욱 큼을 나타내었다.
(5)이상의 결과로부터 전체적으로 본선과 분기터널의 이격거리가 0.7D 이하인 경우는 본선과 분기터널 두 개의 단면 보다는 모자 형태의 하나의 대단면으로 시공하는 것이 안정성 측면에서 유리하고, 그 이하 간격으로 본선과 독립된 분기터널을 굴착시에는 통상적인 보강 이상의 추가적인 조치가 필요할 것으로 판단된다.












