1. 서 론
2. 데이터 확보
2.1 시료 샘플링
2.2 영상 온도 데이터
2.3 영하 온도에서 다짐 데이터
3. 영하 온도에서의 다짐 특성
3.1 건조단위중량 감소율
3.2 다짐도
4. 건조단위중량 추정 알고리즘 개발
4.1 개요
4.2 알고리즘 제안
4.3 결과 검증
5. 결 론
1. 서 론
다짐(Compaction)은 성토체의 강도 및 강성 확보, 침하 억제, 투수성 저감 등 토공 품질을 좌우하는 핵심 공정이며, 표준 다짐 시험(ASTM D698-12, 2021)으로 상온에서 최적 함수비(Optimal Water Content, OWC)와 최대 건조단위중량을 규정하는 것이 일반적이다. 일반적으로 상온(비동결) 조건에서는 함수비 증가에 따라 건조단위중량이 증가하다가 OWC 부근에서 정점을 보이는 포물선형 곡선이 측정되나, 겨울철 영하 조건에서는 공극수의 결빙과 부동수분(unfrozen water)의 감소, 그리고 국부적인 얼음 결합 등이 동시에 일어나, 같은 다짐에너지를 가해도 체적 감소로 전환되는 효율이 낮아질 수 있다(Andersland and Ladanyi, 2004). 이러한 동결토의 특성은 다양한 문헌에서 폭넓게 다루어져 왔으며, 동절기 지반의 거동은 상온 상태와 비교하여 차이가 명확하게 존재한다.
이러한 차이는 주로 다음과 같은 단순하지만 중요한 메커니즘이 겹쳐 발생하기 때문이다(Konrad and Morgenstern, 1980; Devoie et al., 2022; Bi et al., 2023). 첫째, 공극 크기 효과로 인해 빈틈이 작은 흙부터 더 낮은 온도에서 얼기 시작하여, 적은 온도 변화만으로도 시료마다 동결 진행 정도가 크게 달라진다. 둘째, 시편 내부에 온도차가 생기면 물이 더 찬 쪽으로 끌려가는 경향이 나타나 얼음층(ice lens)이 생성되며 배수 또는 공기가 배출되는 간격을 막고 골재의 재배열을 방해한다. 셋째, 충분한 대기 시간이 확보되지 않으면 내부에 온도·수분 구배가 남아 부분적인 동결 또는 비동결 층이 공존하고, 같은 표면온도여도 다짐에 대한 결과가 상이해진다. 넷째, 같은 온도일지라도 이전에 어떻게 얼고 녹았는지에 따라 남아 있는 부동수분 및 얼음의 양이 달라져 다짐 효율의 차이가 발생한다. 즉, 영하 온도에서는 아주 작은 온도 변화와 내부 물 이동, 평형 시간, 이력에 의해 다짐 성능이 예상보다 크게 변화 할 수 있다.
한편 상온에서 지반 물성과 다짐 특성과의 상관관계는 비교적 일관되게 보고되어 왔다. 선행연구에 따르면, 소성지수(PI) 및 200번체 통과율(0.075mm)의 증가는 최적 함수비를 증가시키고 최대 건조단위중량을 감소시키는 경향이 일관되게 보고되었다. 반면 높은 입도 균등성(Cu)은 최대 건조단위중량을 증대시키는 방향으로 작용하며, 이러한 경향을 이용하여 입도지표와 Atterberg 한계만으로 건조단위중량과 최적 함수비를 예측하는 회귀식 및 머신러닝 모델이 다수 제안되어 왔다(Wagner et al., 1994; Guerrero, 2004; Saikia et al., 2017; Adunoye et al., 2020; Khatti and Grover, 2023). 하지만 해당 연구들은 대부분 상온(비동결) 조건에서 얻은 데이터만을 대상으로 하여 영하 온도(동결)를 반영하지 못했고, 주로 최적 함수비와 최대 건조단위중량 같은 정점 지표만 예측한다는 점에서 다짐 곡선 전체의 거동을 다루지 못한다는 단점이 있다.
실무적으로 겨울철 현장에서 최적 함수비가 관측되지 않는 문제가 빈번하며, 품질관리 측면에서 주어진 온도와 함수비, 그리고 현장에서 이미 확보 가능한 기본 물성(입도, 소성지수, 비중, USCS 분류) 및 상온 다짐 결과(최적 함수비, 최대 건조단위중량) 만으로 해당 조건의 건조단위중량을 신속하게 추정할 수 있는 절차가 요구되고 있다. 이에 따라 본 연구에서는 20, 0, -5, -10, -20 °C에서의 다짐시험으로 영하 조건의 곡선 전환과 민감도를 실험적으로 제시하고, 상온 기준 특성과 기본 물성을 바탕으로 현장의 온도 및 함수비 조건에서 건조단위중량을 직접 추정하는 물리 규칙 반영(physics-informed) 머신러닝 알고리즘을 제안하고자 한다. 해당 알고리즘은 온도-함수비의 비선형적인 상호작용을 특징으로 포함하고, 예측 단계에서 영공기간극곡선(Zero Air Void Curve, ZAVC)을 초과하지 않는 특성과 인위적인 이상치를 억제 및 보정함으로써, 상온 및 영하 온도에서 일관성을 확보하도록 설계하였다.
2. 데이터 확보
2.1 시료 샘플링
본 연구에 사용된 시료는 인천 송도 소재 건설현장에서 채취한 서로 다른 4종류의 사질토로서, 명칭은 각각 Sample A, Sample B, Sample C, Sample D로 설정하였다. 각 샘플의 전처리 과정으로 다짐 및 물성시험에 앞서 건조 단계가 흙의 거동에 미치는 영향을 최소화하기 위해, Fig. 1(a)와 같이 자연건조(natural drying) 방식으로 수행하였다. 이는 상온에서 얇게 펼친 후 주기적으로 뒤섞어 공기와 접촉면을 균일화하는 방법으로 5일간 자연 건조하는 방법으로 오븐건조(oven drying)로 인한 조직 재배열 및 소성 저하 가능성을 회피하고자 하였다. 채취한 샘플의 유기질 또는 일부 점토광물의 존재를 배제 할 수 없으며, 몇몇의 연구에서 오븐건조는 유기물 함유토나 일부 점토성 광물을 포함한 토질에서 액성 및 소성한계, 이에 따른 소성지수의 저하를 유발하고, 결과적으로 다짐 및 일관성 지수에 변화가 발생할 수 있음을 보고하기도 하였다 (Basma et al., 1994; Huvaj and Uyeturk, 2018).
추가적으로 영하 온도별 다짐을 수행함에 있어 영상 온도에서는 시편에 물을 첨가하는 시험이 가능하나, 영하 온도에서는 물이 결빙되어 균질한 혼합이 불가능하다. 이에 본 연구에서는 우선 상온에서 자연건조한 토사에 대하여 목표 함수비를 3, 6, 9, 12, 15 %로 설정하고, 물과 토사를 충분히 교반하여 균질하게 혼합한 뒤, 밀봉 비닐백에 보관하여 함수비를 안정화하였다. 이후 각 시편은 0, -5, -10, -20 °C의 냉동 챔버에 보관하며, 이후 해당 온도에 도달하면, 다짐시험을 수행하였다. 이와 같은 ‘상온 혼합–밀봉–목표 온도 조건화’ 방법은 영하 구간에서 온도 변수의 영향만을 비교적 공정하게 분리하여 평가할 수 있다는 장점을 갖는다.
2.2 영상 온도 데이터
Fig. 1(a)의 자연 건조된 시료를 대상으로 기본 물성시험을 수행하였다. 수행된 시험은 입도분포시험(ASTM D69 13/D6913M-17, 2017), 비중시험(ASTM D854-23, 2023), 액·소성한계(ASTM D4318-17e1, 2017)이며, 모든 시험은 20 ± 1°C로 유지되는 실내 실험실에서 진행하였다. 시험 결과는 Table 1과 같고, 통일분류법(ASTM D2487-17, 2025)상 Sample A는 소성지수(PI)가 12를 초과하여 SC(Clayey sand)로 분류되며, Sample B와 C는 SW(Well-graded sands), Sample D는 균등계수(Cu)가 6 미만으로 Sp(Poorly-graded sand)로 분류된다.
Table 1.
Material properties of samples
영상 온도에서 다짐시험(ASTM D698-12, 2021)은 작업자 오차를 고려하여 각 시료당 3번씩 수행하였으며, 결과는 Fig. 2와 같다. 모든 시료에서 전형적인 볼록형 포물선 그래프가 확인되었고, 최적 함수비는 12%에서 측정되었다. 이때, 반복 시험간의 오차는 대체적으로 미미한 것으로 판단된다.
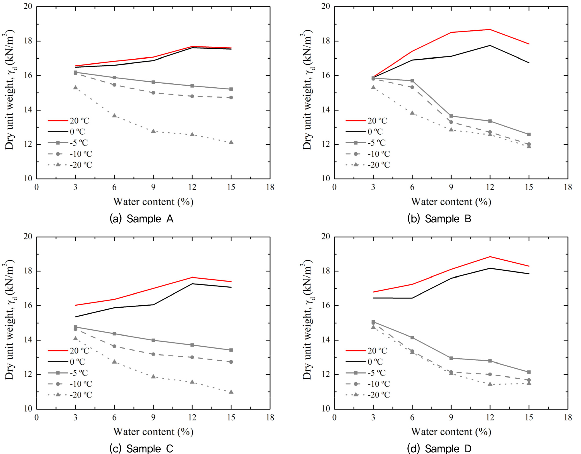
2.3 영하 온도에서 다짐 데이터
영하 온도에서 다짐시험도 각 시료마다 3번씩 반복하였으며, 건조단위중량의 평균은 Fig. 3과 같다.
0°C 조건에서는 냉동 챔버의 제어 오차(± 1°C)로 인해 실질적으로 비동결(영상 온도)에 근접하였으며, 따라서 상온과 유사한 볼록형 포물선 곡선을 보였다. 반면 영하조건(-5, -10, -20°C)에서는 기존 다짐곡선과 상이하게, 습윤측으로 갈수록 건조단위중량이 지속적으로 감소하는 하향 곡선이 확인되었다. 영하 조건에서 함수비가 증가할수록 건조단위중량이 감소하는 현상은 다음과 같은 원인에 기인한 것으로 판단된다. 첫째, 함수비가 클수록 시료 내 얼음 부피가 증가하여 입자 간 얼음결합이 형성되고, 이에 따라 다짐에너지의 상당 부분이 입자 재배열로 전환되지 못해 다짐 효과가 억제된다. 둘째, 결빙으로 다짐 과정에서 배출되어야 할 공기가 밖으로 빠져나가지 못하고 잔류함으로써 공극비가 충분히 감소하지 않는다. 셋째, 물의 결빙으로 인한 팽창과 이에 따른 강성 증가로 동일 다짐에너지 하에서 발생 가능한 부피 수축이 더 제한된다.
볼록형 포물선 곡선을 보인 20°C와 0°C의 다짐 곡선 차이는 크게 2가지로 판단 할 수 있다. 우선, 0°C에서는 부분 결빙이 발생했을 가능성이 높다. 챔버의 제어가 ±1°C이고 시편 내부에는 온도 구배가 존재하므로, 일부 미세공극에서 국부적으로 0°C 이하가 되어 얼음이 형성될 수 있다. 이러한 미소 결빙은 배수 및 공기배출 통로가 막히고 타격 에너지를 일부 흡수하게 된다. 다음은 동점성의 증가이다. Korson et al.(1969)에 따르면 0°C의 물은 1.7916 mPa.s의 동점성을 가지며, 20°C의 물은 1.0 mPa.s에 수렴한다. 100°C의 물이 0.2783 mPa.s를 가진다는 점에서 이는 매우 큰 차이라 할 수 있으며, 이와 같은 동점성 급격한 증가는 물의 유동을 둔화시키고 입자 재배열 과정에서의 윤활효과를 약화 시킬 수 있다.
추가적으로 영하 온도에서 온도 차이가 크지 않아도 다짐 곡선의 차이가 크게 벌어지는 이유는 부동수분에 따른 원인인 것으로 판단된다. Devoie et al.(2022)에 따르면 토양의 부동수분은 0°C 부근에서 작은 온도 하강(예: 0 → -5°C) 만으로도 급격히 감소하는 강한 비선형성을 보인다. 즉, 소폭의 온도 저하만으로 공극 내 얼음이 급격히 증가하고, 배수 및 공기 배출이 단절되며, 입자 재배열이 물리적으로 억제된다. 이때, 시료별로 차이가 발생하는 이유는 입자의 공극구조와 표면특성의 차이로 입도분포 특성 및 소성지수 등과 같은 기본적인 물리적 특성이 다르고, 이에 따른 부동수분과 온도 관계도 상이하기 때문이다.
3. 영하 온도에서의 다짐 특성
3.1 건조단위중량 감소율
확보된 데이터를 기반으로 세부적인 분석을 위해 기준 온도(20°C)를 기반으로 다짐 이후의 건조단위중량 감소율은 식 (1)과 같이 설정하였다.
여기서, : 건조단위중량 감소율
: 20°C, b%의 함수비에서 건조단위중량
: a°C, b%의 함수비에서 건조단위중량
a : 온도 (0, -5, -10, -20°C)
b : 함수비 (3, 6, 9, 12, 15%)
식 (1)을 기준으로 함수비에 따른 건조단위중량 감소율은 Fig. 4와 같다. 0°C에서 건조단위중량 감소량은 전 함수비 구간에서 작고 평탄한 반면, 영하 온도에서 모든 시료는 함수비 증가에 따라 건조단위중량 감소량이 증가하는 경향을 보였다.
식 (1)을 기준으로 온도에 따른 건조단위중량 감소율은 Fig. 5와 같다. 전반적으로 함수비가 크고, 온도가 낮을수록 건조단위중량 감소율은 크게 발생하였다. 또한 동일 시료를 기준으로 함수비가 증가함에 따라 건조단위중량 감소율 곡선은 점차 유사하였다. 시료별로는 Sample A의 경우 다른 시료에 비하면 온도 증가에 따라 다소 선형적인 감소 관계를 가졌으며, 나머지 시료(Sample B, C and D)는 영하온도(-20 → -5°C)가 변화함에 따라 대체적으로 완만한 감소율을 보이고 있다.
3.2 다짐도
다짐도(Degree of compaction)는 현장 건조단위중량이 실내 다짐시험에서 얻은 기준 최대 건조단위중량에 대해 어느 정도 달성되었는지를 나타내는 지표로서, 식 (2)와 같이 정의된다(ASTM D698-12, 2021). 다짐도는 현장 품질관리의 핵심 성능지표로, 전단강도를 비롯한 강성 증가와 침하 억제, 투수성 저감과 직결되며, 대부분의 토공에서는 목표 다짐도를 약 90–95% 이상으로 규정하고 있다.
여기서, : 다짐도
: 건조단위중량
: 최대 건조단위중량
다짐도 분석 결과는 Fig. 6과 같다. 이때 영하 온도에서의 영향성을 확대분석하기 위해 0°C의 결과는 제외하였다. 모든 시료에서 대체적으로 온도가 낮아지고, 함수비가 증가함에 따라 다짐도는 감소하였으며, 이는 온도 하강과 함께 부동수분 함량이 급감하여 공극 내 얼음 입자의 부피가 증가하고, 얼음과 흙 입자의 결합이 더 많아지기 때문이다. 그 결과, 다짐의 기능인 배수 및 공기배출이 원활하지 못해 입자 재배열이 억제되고, 동일한 다짐에너지가 가해지더라도 체적수축으로의 전환이 어려워진다.
시료간 비교를 하자면, Sample A는 동일한 온도 및 함수비 조건일 경우 가장 높은 다짐도를 보였으며, Sample D는 가장 낮은 다짐도를 기록하였다. Sample B와 Sample C의 경우에는 함수비가 6% 낮은 구간에서는 Sample B가 우세하였으나, 함수비가 9% 이상이고, 저온(-10 → -20°C) 으로 내려갈수록 Sample C의 다짐도가 부분적으로 Sample B를 상회하는 역전 현상이 관찰되었다.
단순히 USCS 분류로 보자면 SC인 Sample A가 온도와 함수비에 따른 다짐도가 준수한 수준을 유지하고 있으며, SP인 Sample D는 SW인 Sample B와 C에 비해 낮은 다짐도를 보여주었다. 이는 입도구조의 차이와 세립분에 의한 영향으로 추정된다. SC인 Sample A는 비교적 균등계수(Cu)가 크고 세립분이 공극을 충전하여 동일 다짐에너지 하에서 유효 공극비를 더 크게 감소시킬 수 있고, 그 결과 다짐도가 상대적으로 높게 유지된다. 반면 SP인 Sample D는 불량한 입도분포(좁은 분포, 작은 Cu)로 인해 입자 간 재배열 가능성이 낮아 최대 건조단위중량에 한계가 발생한다. 한편 SW(Sample B, C)는 SP보다 폭넓은 입도로 조밀한 배열이 가능해, 동일 조건에서 더 높은 건조단위중량 및 다짐도를 달성하는 경향을 보인다.
4. 건조단위중량 추정 알고리즘 개발
4.1 개요
본 연구에서는 건설현장에서 흙의 기본적인 물성 조건(입도분포곡선, 소성지수 및 최대 건조단위중량)을 아는 상태에서 특정 위치의 흙의 함수비와 온도를 통해 현장지반의 단위 중량을 도출 할 수 있는 알고리즘을 개발하고자 하며, 이에 대한 전반적인 메커니즘은 Fig. 7과 같다.
우선 현장 시료를 채취하여 기본 물성(입도분포곡선, 소성지수, 비중)과 상온 표준 다짐시험(20°C) 으로부터 기준 다짐곡선 및 최대 건조단위중량을 확보한다. 이후 동일한 흙이라 가정하였을 때 특정 지점의 현장 함수비와 온도를 계측하여 이 값들을 식 (3)의 건조단위중량 추정 알고리즘에 대입한다. 즉, 식(3)과 같은 건조단위중량 추정 공식은 요약하면, 상온 기준 데이터와 건조단위중량 추정 알고리즘을 분리해 결합하는 구조이며, 영하 조건에서 함수비 및 온도만으로 단위중량과 다짐도를 즉시 추정할 수 있다.
여기서, : T °C 온도 및 특정함수비에서 현장 지반의 건조단위중량
: 실내실험(20°C 온도, 최적 함수비)을 통한 해당 지반의 건조단위중량
: T °C 온도 및 특정함수비에서 현장 지반의 건조단위중량 추정 알고리즘
4.2 알고리즘 제안
학습 알고리즘에 사용할 데이터 시트는 Table 2와 같다. 모든 물성 및 다짐 곡선이 삽입되며, 다른 Sample의 경우 Excel sheet를 추가하여 같은 내용을 반복한다.
Table 2.
Data sheet of learning algorithm for 1 sample
알고리즘 모델은 Gradient Boosting Regressor를 사용하였다. 이 모델은 여러 개의 얕은 의사결정나무를 순차적으로 더해 가면서 오차를 줄여 나가며, 복잡한 곡선 형태(예: 영하에서 급락, 함수비 증가에 따른 둔화)를 비교적 잘 재현한다는 장점이 있다. 또한, 물리 규칙을 반영하여 결과의 신뢰성을 향상시키고자 하였으며, 이론적으로 ZAVC을 초과하는 건조단위중량은 나올 수 없으므로, 예측치가 해당 상한을 넘지 못하도록 하였고, 측정에서 일관되게 관찰된 바와 같이 온도가 더 낮아지거나 함수비가 더 커질수록 건조단위중량은 커지기 어렵다는 경향을 반영하였다. 이는 모델이 일부 구간에서 물리적인 현상과 어긋나는 예측을 내놓더라도, 후처리 과정에서 완만한 감소 형태를 회복할 수 있다.
해당 모델을 사용한 이유는 일반적으로 사용되는 선형/다항 회귀(Linear or polynomial regression)는 곡선 형태의 전환과 많은 물성조건 반영이 어렵고, N차원 공간에서 각 클래스 간의 거리를 최대화하는 최적의 선을 찾아 데이터를 분류하는 지도형 머신 러닝 알고리즘인 SVM(Support Vector Machine)은 파라미터별 민감도가 크고, 물리 제약에 대한 직접적인 반영이 어렵다는 단점이 있다. 또한 RF (Random Foreset) 방식은 비선형성 포착은 우수하나 Gradient Boosting 대비 세밀한 경사 수정 능력이 약해 경향성(단조) 유지가 어렵고, 평활성이 과도해 저온 구간의 급변을 따라가는 데 불리하기 때문이다.
이에 따라 선정된 Gradient Boosting Regressor의 예측 단계는 학습 때의 절차를 그대로 재현한다. 먼저, 기본 물성치 및 다짐 결과에 따른 최적 함수비와 최대 건조단위중량을 입력하고, 현장 또는 새 시료에 대한 온도와 함수비를 추가적으로 입력한다. 입력 벡터는 Table 3과 같고, 입력 벡터가 학습이 반영된 예측 알고리즘에 삽입되면, 예측 건조단위중량을 획득 할 수 있다. 만약 예측값이 물리 상한인 ZAVC를 넘는 경우에는 상한으로 잘라내고, 학습에서 구축해 둔 보정을 같은 방식으로 적용하여, 저온 및 고함수비 방향으로 예측치가 부자연스럽지 않도록 정리한다.
Table 3.
Data sheet for predicted dry unit weight at site
4.3 결과 검증
모델의 신뢰도는 예측 및 실측 건조단위중량의 결정계수(R2)로 제시하였다. Fig. 8과 같이 본 데이터셋을 대상으로 한 교차검증 결과, 제안 모델은 0.95이상 (0.9587)의 결과를 보였고, 전 구간에서 체계적 편향 없이 고르게 분포하였다. 이는 본 알고리즘이 상온에서의 재료 특성과 영하 온도에서의 급격한 변화를 동시에 잘 포착하고 있음을 의미한다.
5. 결 론
본 연구는 영하 조건에서 서로 다른 물리적 특성을 가지는 사질토들의 다짐 거동을 체계적으로 분석하고, 물리 규칙을 반영한 머신러닝 알고리즘을 구축하여 주어진 온도, 함수비, 물성 조건에서 건조단위중량을 예측할 수 있도록 하였다. 해당 과정에서 결론은 다음과 같다.
1.영상에서 영하온도로 변화하는 과정(0 → -5°C)에서 다짐곡선은 ‘포물선’에서 ‘하향형’으로 전환되었다. 이는 부동수분의 급감과 국부적 얼음결합으로 동일 다짐에너지가 입자 재배열 및 체적 감소에 끼치는 영향력이 줄어들기 때문이다. 이러한 결과를 토대로, 본 논문은 Gradient Boosting Regressor를 기반으로 하되, 온도 및 함수비의 비선형 상호작용을 학습 알고리즘 내 특징으로 추가하고, 예측값에 ZAVC의 상한 설정 및 추가 보정을 적용하는 물리적인 프레임을 적용하였다. 교차검증 과정에서 결정계수(R²)는 0.9587을 달성하였고, 해당 알고리즘이 전 영역을 안정적으로 보정하고, 과대예측 및 비 물리적인 거동을 효과적으로 억제함을 확인하였다.
2.본 접근은 기존 품질관리에서 이미 확보한 상온에서의 기본 물성과 다짐 시험 결과를 기반으로 현장의 온도 및 함수비만 있으면 된다는 적용방법이 단순하다는 장점이 있으며, 최적 함수비가 관측되지 않는 영하 온도에서도, 모델이 곡선 전환(포물선형 → 하향형)을 반영해 그 조건의 단위중량을 바로 제공한다는 점에 있다. 추가적으로 해당 알고리즘은 상시 영하권 지역(동토 지역 등)에서도 활용될 수 있으며, 이는 현지에서 대규모 추가실험 없이(또는 최소한의 소규모 교정만으로) 온도–함수비–기본 물성만으로 해당 조건의 건조단위중량을 신속하게 산정할 수 있다는 점에서 활용도가 높을 것으로 판단된다.
3.본 연구는 실험실 환경에서 정밀하게 진행된 물성 및 다짐 시험 결과에 기반하여 수행되었기 때문에 재료의 다양성과 변동성을 포함하는 현장의 여건을 충분히 포괄하지 못하였다는 단점이 있다. 또한, 대상 데이터가 적고, 다짐에너지(장비, 시공 두께), 온도 및 배수 조건, 세립분, 염분, 유기물 함유량 등 모든 현장 변수를 포함하기 때문에 일반화에는 주의가 필요하다. 따라서 향후 연구에서는 다짐에너지 변수를 포함하여 모델을 확장하고, 시료 스펙트럼과 데이터 규모를 확대하며, 외부 실험·현장 계측에 의한 교차 검증과 예측 오차범위(신뢰구간) 제시를 병행하여야 한다. 아울러 현장 적용 편차를 교정하고, 엑셀 및 웹 도구화를 통해 실무 활용성을 높이는 방향으로 고도화할 필요가 있다.










