1. 서 론
지진에 의해 지반이 액상화 또는 전단변형의 위험에 노출이 되면 지하에 매설되어 있는 여러 종류의 구조물에 구조적인 손상이 야기됨으로써 그 기능은 수개월간 발휘되지 못한다. 특히, 시민의 생활과 직접적으로 관련이 있는 lifeline system으로써 상․하수도 및 가스공급배관과 같은 지하구조물은 얕은 지반에 매설되어 있으며, 지진이 발생하면 지반-구조물 상호작용에 의해서 부상 혹은 침하하는 피해가 발생한다. 일반적으로 하수시스템은 자연유하에 의해 처리장까지 운반되는 체계이며, 하수시스템의 부상으로 인해 이 기능이 마비되면 장시간 시민의 생활에 큰 불편을 준다. 또한, 지표면으로 돌출된 지하구조물의 경우는 지진 직후에 구급차량의 통행을 방해하는 경우도 빈번히 발생한다. 이러한 지하구조물의 경우는 도시 전체에 광범위하게 설치되어있기 때문에 일단 피해가 발생하게 되면 단시간에 복구하는 것은 불가능하며 복구작업을 위해서는 피해지역의 모든 지하구조물을 개착하여야 하므로 경제적으로도 막대한 손실을 야기한다.
2004년 10월 23일 니가타켄 츄에츠 지방에서는 Mw=6.6의 대지진이 발생하였고, 1995년 고베 지진 이후로 인적·경제적인 피해가 가장 큰 지진으로 알려졌다. 이 지진으로 인해서 다수의 산사태가 발생하여 나가오카시와 오지야시 등에 큰 피해를 입혔으며, 특히 나가오카시(면적 84km2, 인구 194,414명)에서는 1,000개소 이상의 가옥들이 붕괴되었고, 고속도로를 포함한 도로의 손상은 6,000개소 이상이었다(Scawthorn et al., 2006). 또한, 그 지방에 분포되어 있는 지하구조물로써 다수의 맨홀구조물과 매설관이 부상하는 피해가 발생하였다. Fig. 1에서 나타나듯이 맨홀구조물의 부상은 수 cm부터 1.5m정도까지 부상하였다(Yasuda and Kiku 2006; Konishi et al., 2008). 이러한 일련의 피해의 심각성을 인식하여 일본 국토 교통성에서는 2006년 “하수도 지진 대책 긴급 정비사업”을 창설하여 “하수도 지진 대책 계획”에 의해 단계적인 목표를 정하고 하수도시설의 내진화를 도모하고 있다. 특히, 지하구조물과 관련하여 맨홀구조물의 부상과 하수관과의 접속부의 내진설계는 “하수도 지진 대책 긴급정비계획”으로 시급을 요하는 목표로 추진되고 있다(Konishi et al., 2008).
일반적으로 하수시스템과 같은 지하구조물은 원지반을 굴착하여 트렌치를 제작하고 그 내부에 구조물을 설치한다. 그리고 시공성이 편리한 모래질 지반으로 뒤채움을 하는 경우가 대부분이다. 지금까지의 연구에 의하면 이러한 지하구조물과 매설관 부상의 주요인으로 뒤채움의 액상화에 의해 기인하며 지하수위가 낮은 지역에서 부상현상이 많이 발견되었다. 또한, 하수시스템의 시공시에 매설관의 손상을 피하기 위해 뒤채움을 충분히 다지지 못하는 경우가 있기 때문에 지진 발생시 뒤채움의 액상화가 발생할 가능성이 상당히 높은 편이다.
지진에 의한 지하구조물의 부상현상은 지반 액상화와 밀접한 관련이 있는 뒤채움의 상대밀도와 지진규모가 주원인이 되지만, 본 연구에서는 지하구조물의 부상현상에 영향을 주는 요인으로 주로 트렌치 주변의 원지반에 대한 지질학적 특성에 대해서 나가오카시의 피해사례를 바탕으로 연구가 수행되었다. 다시 말해서, 피해규모와 피해지역 주변의 SPT시추공 logs와의 상관관계를 분석함으로써 원지반의 어떠한 인자가 지하구조물의 부상량에 영향을 미치는지에 대해서 검토하였다.
2. 대상지역의 지질학적 특성
2004년 니가타켄 츄에츠 지진으로 니가타 행정구역에서의 하수시스템 피해는 Table 1 에 나타낸 것처럼 총 연장 3,293km중 152km가 피해를 입었으며, 지중에 매설된 1,453개의 맨홀구조물이 부상하였다. 특히 나가오카시는 가장 피해가 큰 지역으로 총 연장 1,258km중 63km가 손상되었으며, 436개의 맨홀구조물이 부상을 하여 큰 피해를 입었다.
본 연구의 대상지역인 나가오카시는 시나노강(Shinano River)이 남쪽에서 북쪽으로 흐르고 있으며, 우노강(Uno River)은 서쪽에서부터 대상지역의 시나노강과 합류하여 흐른다. 이 강유역은 1964년 니가타 지진이 발생하였을 때 액상화에 의한 피해가 많았던 지역으로 선신세(Pliocene) 및 홍적세(Pleistocene)의 퇴적토로 구성되어 있다(Yanagisawa et al., 1986). 강유역의 충적토(alluvium)는 주로 모래 및 실트질 자갈이며 나가오카 지역의 지질도(Kobayashi et al., 1991)를 바탕으로 제작된 액상화 재해 위험도를 근거로 하여 Yanagisawa et al.(1986)은 시나노강과 우노강의 충적토에서 액상화가 주로 발생하고 집중되어 있다고 밝혔다(Rathje et al., 2006).
또한, 원지반의 현장조사(SPT)결과 지표로 부타 약 3m정도 까지는 점토 또는 실트가 분포하고 있으며 그 하부로는 실트 및 모래가 분포하고 있다. 그리고 지하구조물의 부상거동에 영향을 미칠 것으로 예상되는 깊이(10m)에서의 SPT-N치는 대부분 1~10으로 분포하는 경향이 나타났다.
지진 발생 후 실시된 피해조사에 따르면 맨홀과 같은 지하구조물의 부상요인은 뒤채움의 액상화에 기인한다는 사실이 알려졌다(Yasuda and Kiku 2006). Fig. 2는 나가오카시에서의 하수시스템의 복구작업에서 획득된 뒤채움에 대한 입도분포곡선을 나타내며, 물리적 특성으로써 Gs=2.67, emax=0.99, emin =0.59이다. 통일분류법으로는 “Poorly graded sand(SP)”에 속한다. 이러한 모래질 뒤채움은 시공시 취급이 용이하기 때문에 널리 이용되고 있는 실정이지만, 뒤채움의 충분한 다짐에 의한 안정성이 확보되지 않았을 경우 지진 발생시 지반 액상화의 위험에 노출되어 있다.
2.1 나가오카 시에서의 피해현황
지진 발생 후 나가오카시에서는 개착공법에 의한 피해조사 및 복구작업을 실시하였다. 대상지역은 시나노강의 동쪽 편에 위치하며 표고는 15m~20m정도이다. Table 2는 피해조사결과에 따른 대상지역의 피해현황을 나타낸다. 총 연장은 4.8km이며 지하구조물과 매설관의 최대 부상량은 각각 0.432m와 1.67m이다. 대상지역에서의 지하구조물의 개수는 173개이며, 대상지역에 존재하는 SPT는 총 28개이다.
Fig. 3은 나가오카시 내의 조사지역의 일부분을 나타내며 본 연구에서의 대상지역이다. 이 그림에는 지하구조물의 위치와 SPT시추공의 위치를 나타내고 있고, 지하구조물 사이에 매설관이 설치되어 있다. 대상지역은 진앙으로부터 20km 북쪽에 위치한 평야지역이며, Fig. 3에서 나타난 것처럼 삼각형이 SPT시추공, 원모양이 부상한 지하구조물, 사각형이 침하한 지하구조물, 그리고 십자가모양은 피해가 없었던 지하구조물을 나타낸다. Fig. 3에 나타나듯이 시나노강의 부근의 지하구조물은 주로 부상 혹은 침하하였으며, 시나노강으로부터 약 4km이상 떨어져있는 장소에서는 피해가 발생하지 않았다.
부상 혹은 침하한 지하구조물은 시나노강 근처에 집중을 하고 있는데 이 지역의 원지반은 SPT N치가 10이하의 느슨한 모래질 지반이며 1964년 니가타 지진이 발생하였을 때 액상화에 의한 다수의 피해가 발생한 지역이다. 이러한 경향은 원지반에서의 액상화는 지하구조물의 부상 혹은 피해에 큰 영향을 미치는 것을 알 수 있다. Fig. 4는 지하구조물 피해규모에 대한 히스토그램을 나타낸다. 이 그림에서 전체 지하구조물의 31%가 부상을 하였으며 44%가 침하, 그리고 단지 지하구조물의 25%만이 피해가 없었다.
2.2 지하구조물 부상거동
Fig. 5는 2004년 니가타켄 츄에츠 지진에 의해 나가오카시에서 관측된 지표면 가속도를 나타낸다. 지표면 가속도는 대상지역으로부터 남쪽으로 약 6km에 위치한 K-NET NIG017에서 관측되었고 최대 지반 가속도(PGA)는 4.61m/s2이다. 이러한 강한 진동에 의해 얕은 지반에 매설되어 있는 하수시스템이 크게 교란되었다. Fig. 6은 Fig. 4에서 사각형으로 표시되어 있는 지역의 지진 전후 단면도를 나타내고 있으며 이 구간은 구조물의 최대 부상량이 발생한 지역으로 해당구간에서 제일 가까운 지질주상도도 함께 표시하였다. 이 구간에서 지하구조물 길이(h)는 1.8m~3m의 범위이고, 지하구조물의 최대 부상량은 0.432m, 매설관의 최대 부상량은 0.478m이다. 지하구조물의 길이를 고려하였을 때 지표면으로부터 3m까지의 지반은 주로 투수성이 작은 점토질로 구성되어 있다.
사질토질의 뒤채움 주변의 원지반이 투수성이 낮은 점토질 지반의 경우는 지진이 발생하였을 때 비배수 상태가 되고 뒤채움은 쉽게 액상화가 발생(Yasuda and Kiku 2006)하기 때문에 이와 관련하여 지하구조물의 부상량이 증가하였을 가능성이 크다. 최대 부상량이 발생한 지역은 서쪽으로부터 약 100m에 위치한 지하구조물이며, 비교적 지하수위가 지표면에 근접하고 있는 것을 알 수 있다. 하지만 이 구간의 서쪽은 지하수위가 0.36m로 지표면에 가까이 위치함에도 불구하고 부상량은 0.005m로 아주 작은 것을 알 수 있다. 이는 이 구간에 주도로가 위치하고 있으며 보행자 및 통행차량에 의한 반복하중에 의해 뒤채움이 안정화되었기 때문이다.
지하구조물의 부상량은 북쪽이 작은 것을 알 수 있는데 이는 구조물의 길이가 짧고 지하수위가 깊은 위치에 존재하고 있기 때문이다. 구조물의 길이가 짧을수록 내부가 비어있는 지하구조물의 경우 그 단위중량이 증가하기 때문에 부상력에 대한 저항력이 증가하여 부상량이 비교적 작게 된다. 매설관의 경우는 두 가지 피해패턴이 발견되었다. 매설관 주변의 뒤채움이 액상화하여 부상한 경우와 지하구조물이 부상과 더불어 매설관과의 접속부분도 함께 부상하는 경우이다. 지하구조물과 매설관의 부상량을 비교하였을 때 매설관이 단위중량이 작고 Fig. 6에서 나타낸 것처럼 매설관은 주로 지하수위보다 깊은 위치에 존재하기 때문에 쉽게 부상하는 경향이 있고 그 최대량 또한 매설구조물보다 큰 것을 알 수 있다.
3. 지하구조물의 부상량-질학적특성(SPT logs)과의 상관분석
지하구조물의 부상량에 영향을 주는 요인에 대하여 공간 상관관계를 평가하기 위해 상관분석(Correlation Analysis)이 수행되었다. Kang(2011)에 의하면 지반 액상화에 의한 지하구조물의 부상현상에 대하여 지하구조물의 부상에 영향을 주는 인자를 직접요인과 간접요인으로 구분하여 원심모형 실험을 수행하였다. 직접원인으로써는 지하수위, 뒤채움의 상대밀도, 그리고 지진규모를 제시하였으며 간접요인으로써는 뒤채움 주변의 원지반의 상대밀도 등을 제시하였다. 본 연구에서의 상관분석은 지하구조물 부상현상에 대한 직접원인으로써 지하수위에 대해서 수행되었고 간접요인으로써 원지반의 사질토의 SPT N치, 점토지반의 두께 그리고 표층(성토 및 매립)의 두께에 대하여 지하구조물의 부상량과의 관계를 분석하였다.
공간적 상관관계를 위한 보간(Interpolation)법으로써 IDW (Inverse Distance Weighted)가 사용되었고, 본 연구에서 고려되는 지하구조물은 그 길이가 대략 1~4m이기 때문에 지표면으로부터 5m이내의 점토질 지반의 두께를 합산하여 산정하였고, SPT N치의 경우 또한 지표면으로부터 5m이내의 사질토 지반의 SPT N치를 평균하였다.
Fig. 7은 대상지역에 대해서 지하구조물의 부상량과 각각의 요인에 대한 등고선을 나타낸다. Fig. 7(a)에서 지하구조물의 부상량의 경우는 구조물의 길이(h)에 의해 일반화함으로써 구조물 길이에 의한 영향을 소거하였다. Fig. 7(b)에서 보듯이 최대 부상량이 발생한 지역의 지하수위는 상대적으로 낮은 것을 알 수 있으며, Fig. 7(c)에서는 점토층의 총 두께가 1.5m~3m정도의 장소에서 지하구조물의 최대 부상량이 발생한 것을 알 수 있다. Fig. 7(d)와 (e)에서는 지하구조물이 사질토의 SPT N치가 10이하인 지역 그리고 표층의 두께가 0.6m~1m일 때 그 부상량부 증가한 것을 알 수 있다. 하지만 표층의 두께가 0.1m인 지역에서도 상대적으로 지하구조물의 부상량이 큰 곳도 있고 어떤 지역에서는 주변의 원지반의 지하수위가 얕은 지역, 점토층의 두께가 두꺼운 지역, SPT N치가 큰 지역에서도 부상량이 상대적으로 큰 곳도 관찰된다.
지하구조물의 부상량과 원지반의 특성의 관계를 명확하게 조사하기 위해서 Fig. 7의 각각의 등고선에서 지하구조물이 위치하는 장소에서 각각의 요인들을 축출하였다. 또한, 본 연구에서는 지하구조물의 부상량에 영향을 미치는 요인에 대해서 서술하고 있기 때문에 침하한 지하구조물은 제외 시켰다. Fig. 8은 지하구조물의 부상량과 각각의 요인들과의 관계를 보여준다. Fig. 8(a)에서 나타내듯이 지하수위가 지표면으로부터 0.7m에 위치한 지역에서 최대 부상량이 발생하였고, Fig. 8(c)에서는 사질토의 SPT N치가 3~9에서 최대 부상량이 발생하였다. Fig. 8(d)의 표층 두께의 경우는 0.6~0.8m정도일 때 최대 부상량이 발생하였다. 그리고 점토의 두께에 대해서는 총 두께가 2m정도에서 부상량이 증가하였지만 최대 부상량은 그것보다 작은 0.8m의 두께에서 발생하였다.
일련의 결과로부터 지하수위가 얕은 곳, 점토층의 두께가 두꺼운 곳, SPT N치가 작은 곳, 표층이 두껍게 분포되어 있는 지역에서 반드시 지하구조물의 부상량이 증가하는 경향을 보이지는 않는다. 예를 들어, Fig. 8(b)에서 지하수위가 0.3m정도의 얕은 곳에 위치하고 있음에도 불구하고 부상량의 거의 0에 가깝고, Fig. 8(c)에서는 SPT N치가 거의 2임에도 불구하고 지하구조물은 부상하지 않은 것을 알 수 있다. 이는 각각의 한 요소에 의해서 영향을 끼치는 것이 아니라 본 연구에서 언급한 여러 요인들의 상호작용에 의해 지하구조물의 부상량에 영향을 끼치는 것으로 간주할 수 있다.
4. 지하구조물의 부상량에 영향을 미치는 요인과의관계
전 절에서 언급한 것처럼 본 연구에서 고려된 인자에 대해서 각각의 요소들이 지하구조물의 부상에 개별적인 영향을 미치는 것 보다 각 요소들의 상호작용에 의해 복합적으로 영향을 미치는 것을 알 수 있었다. 따라서 지하구조물의 부상에 영향을 미치는 요소들을 통합하여 회귀분석(Regression Analysis)을 수행하였다.
Fig. 9는 회귀분석의 결과를 나타낸다. 세로축은 회귀분석에 의한 지하구조물의 부상량(δpredicted)를 나타내며, 가로축은 실제 현장에서 관측된 지하구조물의 부상량(δobserved)을 나타낸다. 예측 부상량(δpredicted)은 본 연구에서 고려된 지하수위, 점토층의 두께, SPT-N치, 표층의 두께를 독립변수로 하여 최소자승법에 의해 산정되었다. 그림에서 보듯이 예측치는 실측치와 서로 다른 경향을 보이고 있다. 예를 들어 회귀분석에 의한 어느 한 지점의 예측치는 0.14m인 반면, 실측치는 0.43m로 크게 차이가 나며 더욱이 예측치의 경우는 침하하는 경우에도 발생하였다. 따라서 본 연구에서 수행한 회귀분석을 통해서는 정확한 상관관계를 도출하기는 쉽지 않다. 이는 앞서 언급한 것처럼 지하구조물의 부상은 뒤채움의 액상화에 의해 발생하며, Kang (2011)에 의해 제안된 부상현상에 가장 큰 영향을 미치는 지하수위를 제외한 뒤채움의 상대밀도와 지진규모 등을 나타내는 직접요인이 제외되어 있기 때문이다. 실제로 지진이 어느 지역에 언제 어떻게 발생할지 모르기 때문에 지진이 발생하기 전에 뒤채움의 상대밀도를 추정하는 것은 불가능에 가깝다. 비록 회귀분석에 의한 결과는 지하구조물과 그에 영향을 인자들 사이에 큰 상관성이 없다는 것을 보여주지만, 이러한 결과로부터 지하구조물의 부상량에 영향을 주는 인자로써 직접요인이 큰 역할을 하는 것을 확인할 수 있었다.
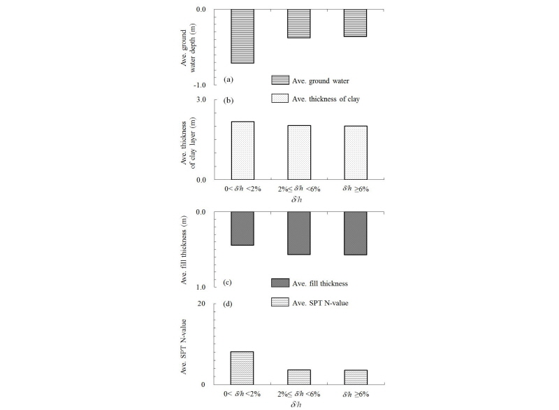
따라서 본 연구에서 고려된 간접요인이 지하구조물의 부상량에 어떠한 영향을 미치는지 평가하기 위해 Fig. 8의 부상량(δ/h)에 대해서 다음과 같은 3구간으로 나눈다. (1) 0 < δ/h ≤2%, (2) 2% ≤ δ/h < 6%, (3) 6% ≤ δ/h. 그리고 각각의 구간에 포함되는 요소들의 평균을 구하였다.
Fig.10은 지하구조물의 부상량에 대한 각각의 요인들의 평균값을 나타낸다. 그림에서 보여 지듯이 지하수위가 지표면에 가까워질수록 지하구조물의 부상은 증가하는 경향을 보이며, 표층이 두꺼울수록 지하구조물의 부상량이 증가한다. 성토 및 매립 등 지반다짐에 의해 안정화된 표층은 그 두께가 두꺼워 질수록 원지반에서 작용하는 상재하중이 증가하기 때문에 그 부상량은 증가한 것으로 간주된다. SPT N치의 경우 또한 3정도의 낮은 값에서 부상량이 증가하는 것을 알 수 있고, 이는 뒤채움과 더불어 느슨한 원지반이 함께 액상화 되었을 경우는 지하구조물의 부상량을 증가시키는 것이다. 하지만 점토층의 두께와의 관계에서는 크게 상관이 없는 것을 알 수 있다. 이는 시나노강부근의 지역에서는 사질토가 주로 퇴적되어 있으며 점토층은 그와 비교해서 국부적으로 분포하고 있기 때문이다.
5. 결 론
본 연구에서는 하수시스템으로써 얕은 지반에 매설되어 있는 지하구조물을 대상으로 2004년 니가타켄 츄에츠 지진시의 피해조사 결과를 바탕으로 어떠한 요인이 지하구조물의 부상량에 영향을 미치는지에 대해서 조사되었고, 주로 원지반의 상태에 의한 간접요인에 대해서 평가하여 다음과 같은 결론을 얻었다.
(1)지하구조물의 부상량은 지하수위가 낮을수록 증가하는 경향이 나타났다.
(2)지하구조물의 부상량은 주변 원지반이 SPT N치가 낮은 사질토가 분포되어 있을 때 증가하는 경향을 보였다. 이는 뒤채움과 더불어 원지반이 액상화되었을 경우 지하구조물의 부상량이 증가하는 것을 의미한다.
(3)지하구조물의 부상량은 주변 원지반에 성토 및 매립에 의한 표층두께가 두꺼울수록 증가하는 경향이 나타났다.
(4)원지반에서의 점토층의 두께에 대한 지하구조물의 부상량과의 관계는 명확하게 드러나지 않았지만, 본 연구의 대상지역에서 최대부상량이 관측된 단면도에 의하면 주변지반에 투수성이 낮은 점토층이 탁월할 때 지하구조물의 부상량이 증가하였다.
또한, 위의 (1)과 (2)의 지질학적 특성에 대해서는 Kang (2011)에 의한 원심모형실험과 유사한 경향의 결과를 나타냈다.














