1. 서 론
2. 토석류 규모 및 산정방법
3. 현장 조사를 통한 토석류 규모 산정
3.1 규모산정
3.2 규모 분석
4. 상관성 분석
4.1 지형적 요인에 대한 분석
4.2 유발강우에 대한 분석
5. 결 론
1. 서 론
기후변화로 인한 국지성호우 증가로 사면 재해는 증가하고 있다. 2011년부터 2014년까지 185개소에서 사면재해가 발생하였으며, 토석류는 77개소(41.6%)로 나타나 토석류 재해에 대한 예측과 대책수립이 필요하다(Jun and Yune, 2015). 토석류는 흙, 암석, 유목 등이 물로 포화되어 중력에 의해 흐르는 현상이며, 토석류의 발생원인은 크게 강우와 지진으로 구분된다(Iverson, 1997). 국내 토석류 발생원인은 주로 집중호우에 의해 발생하여 빠른 속도로 이동하며, 계곡 바닥의 퇴적물이나 계곡 측면을 세굴 및 침식시켜 규모를 증가시켜 유하시나 퇴적시 시설 및 인명 피해를 유발한다(Kim and Jeong, 2014; Jeong et al., 2014).
토석류로 인한 피해를 효과적 대비하기 위해서는 국내의 지형, 지질 및 강우에 따라 발생하는 토석류에 대한 체계적인 정밀현장조사를 통한 D/B구축과 이를 분석하여 토석류의 발생원인, 이동경로 그리고 퇴적특성에 관한 규명이 필요하다. 또한, 사방댐과 같은 토석류 재해 제어 대책 수립 측면에서 토석류 규모 산정에 관한 연구가 필요하다. 토석류 규모 산정은 대책공법의 규모와 설치위치, 구조물 갯수 등을 결정하는 가장 기본적이면서 중요한 사항이며, 토석류 첨두유량(또는 최대유량)은 기존 도로하부에 설치된 배수로의 설계용량을 초과하는지를 판별하는데 사용할 수 있고 다른 설계변수와의 상관관계로부터 토석부피 또는 토석 흐름속도를 추정하는데 이용된다(Korea Expressway Corporation, 2007).
국내・외 연구자들에 의해 토석류 발생원인 분석 및 이동 특성에 관한 연구는 다양하게 이루어지고 있지만 국내에서 이루어진 토석류의 규모산정에 대한 연구(Kim, 2008; Kim et al., 2008;Kim et al., 2013)는 제한적인 범위에서 수행되어 보다 광범위한 연구가 요구된다.
토석류의 규모는 주로 하부에 흘러내려온 퇴적량으로 결정되며, 토석류는 유하부로 이동하는 동안 지반을 침식 또는 연행작용하여 체적을 급격하게 증가시켜 피해범위와 규모를 증가시킨다(Hungr et al., 2005; McCoy et al., 2012). 이러한 지반 침식 및 연행작용에 의한 토석류의 체적의 증가는 여러 연구자들의 현장조사에 의해 확인되었으며(Lee et al., 2016) 토석류의 체적을 예측하여 적절한 대비 시설을 구축하는 것이 필요하다(Revellino et al., 2004; Gartner et al., 2008; Guthrie et al., 2010).
본 연구에서는 토석류 발생 현장에 대하여 현장조사를 통해 토석류 규모를 산정하였으며, 토석류 규모에 영향을 주는 주요인자들을 분석하고 침식률(yield rate)을 산정하여 실제규모와 비교하였으며 토석류 영향인자와 토석류 규모의 상관성을 분석하였다.
2. 토석류 규모 및 산정방법
토석류는 다량의 토석과 유목 그리고 물이 섞인 혼합유체 형태로 계곡을 흐르게 되며 이동과정 중에 계곡바닥에서 침식된 토석의 유입과 혼합유체 내의 토석퇴적이 반복되므로 토석류 규모를 명확히 정의하기는 매우 어렵다. 토석류 규모에 대한 정의는 관점에 따라 다양한데, 특정 지점을 통과하는 첨두토석유출량(peak debris discharge) 또는 유역에서 토석류에 의해 유출되는 토석의 체적(debris volume) 그리고 토석류에 의한 피해규모 등으로 정의된다(D'Agostino et al., 2001;Jakob, 2005). 공학적 관점에서 토석류 규모는 대책시설물을 설치하는데 필요한 값이며 일반적으로 유출되는 토석의 체적으로 정의하게 된다.
토석류의 규모를 전체체적
로 표현한 산정식을 Ikeya (1981)가 다음과 같이 제시하였다.
(1)
은 계곡의 길이,
는 평균 폭이며,
는 평균침식 두께로 0.5∼3.2m로 제안하였다. 이후 Hungr et al.(1984)는 침식률(
) 개념을 기본으로 식 (2)와 같은 식을 제안하였다.
(2)
는 발생부의 체적,
는 지류나 이동 중 추가되는 유량,
와
은 침식률과 계곡의 길이를 나타낸다. 여기서
는 침식률(yield rate 또는 erosion per zone length, m³/m)은 수로 길이의 단위길이당 침식량을 말하며, 산정한 실제 규모에 토석류의 총 이동거리를 나누어 산정한다. 또한, 식 (2)는 발생부를 구분하고 본류외의 추가되는 토석류를 고려할 수 있다.
Jakob(2005)은 토석류 진행 중 퇴적된 체적을 고려하여 다음과 같은 식을 제안하였다.
(3)
여기서,
는 전체 토석류의 체적,
는 발생부에서 체적,
는 유하부 체적,
는 퇴적된 체적이다.
토석류의 규모는 발생부에서 발생한 파괴 체적과 계곡을 따라 이동하면서 침식되는 규모를 알아야 하고, 유역의 지형 및 지질 그리고 이동 중 계곡부에 퇴적되는 토사량 등 다양한 조건을 고려하여 산정해야 하는 어려운 점이 있다.
본 연구에서는 침식률(yield rate)과 침식 심도 개념(erosion depth concepts)을 바탕으로 토석류 규모를 산정하였다. 현장조사시 거리측정기, GPS, 스타프(staff), 클리노미터(clinometer) 등을 이용하였으며, 토석류가 시작한 발생부의 규모를 확인하고 침식이나 퇴적이 발생한 계곡을 따라 내려오면서 발생사면의 GPS좌표, 경사, 폭, 길이, 방위, 지형형상 등에 대한 실제 제원을 측정하였다.
측정한 결과를 Jakob(2005)의 제안식에 적용하였으며, 토석류의 발생규모와 침식 및 퇴적특성을 알아보기 위하여 토석류 진행거리에 따른 침식량(+)과 퇴적량(-)의 누적된 체적을 나타내는 토적곡선을 작성하였다.
3. 현장 조사를 통한 토석류 규모 산정
3.1 규모산정
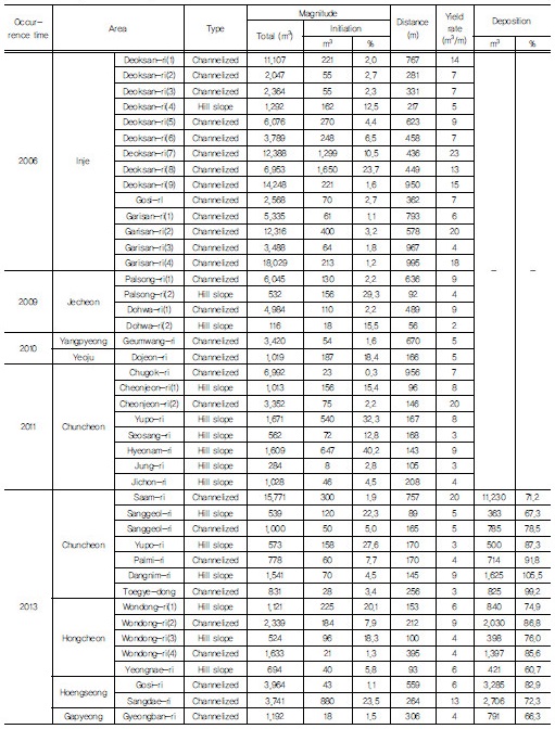
Table 1은 조사대상지에 대하여 발생년도, 발생장소, 발생형태, 토석류의 전체 규모, 발생부의 규모 및 토석류 전체에 대한 비율, 침식거리, 침식률, 퇴적된 규모를 정리하였다. 조사대상지는 총 43개소로 강원도 36개소, 충북 4개소, 경기도 3개소, 연도별로는 2006년 14개소, 2009년 4개소, 2010년 2개소, 2011년 8개소, 2013년 15개소이다. Evans (1982)은 토석류의 발생형태에 따라 사면형 토석류(hill slope debris flow)와 계곡형 토석류(channelized debris flow)로 구분하였으며, 본 연구대상지는 사면형이 총 발생 건수의 35%, 계곡형이 65%로 나타났다.
현장조사를 통한 토석류의 특성 및 규모와 관련하여 계곡형 토석류의 규모는 평균 5,799
, 사면형은 893
으로 나타났다. 계곡형의 경우 토석류의 이동거리가 사면형보다 평균 3배정도 길고 사면형으로 시작하더라도 인접 계곡으로 유입되면서 계곡형으로 발달하기 때문에 규모는 6.5배, 발생빈도는 2배정도 많은 것으로 나타났다.
2013년 발생한 토석류에 대하여 퇴적부 토사사량을 측정하여 토석류 발생 규모에 대하여 퇴적량과 유실량을 확인하였다. 특히, Fig. 1에 도시한바와 같이 춘천 사암리 지역의 토석류 진행거리에 대하여 침식량과 퇴적량의 변화를 알 수 있다. 토석류의 토적곡선에 나타낸 바와 같이 침식량의 부분적 유실량을 고려할 때 침식량과 퇴적량의 토량균형이 맞아서 현장조사는 비교적 정확하게 이루어졌음을 알 수 있다.
3.2 규모 분석
Fig. 2는 발생규모를 지역별로 정리한 것으로 인제지역은 다른 지역에 비해 발생규모가 크게 나타났다. 인제지역은 산지의 유역면적이 넓어 다수의 발생부가 존재하여 사면형으로 시작된 토석류가 계곡으로 유입되어 계곡형 토석류로 발달하여 다른 지역보다 규모가 큰 것으로 나타났다. 춘천지역에서는 2013년 발생한 토석류 중 다수의 발생부가 존재하는 경우 토석류의 규모가 크게 발생하였다.
Fig. 3은 조사된 토석류 진행구간의 평균 폭 및 침식깊이를 나타낸 것으로 침식 깊이는 0.5∼2.6m의 범위에 분포하고 평균값은 1.7m이며, 침식 폭은 2.7∼21.7m의 범위로 깊이에 비해서 넓은 범위로 분포하고 있으며 평균값 9.5m이다. 토석류가 침식되는 깊이는 토석류의 소류력에 영향을 받기 때문에 제한된 값이며, 기반암이 노출될 경우 침식이 발생하지 않아 깊이에 대한 분포는 제한된 범위의 값인 것으로 판단된다. 이와 다르게 침식폭은 강우량에 따른 유량, 토석류의 종류, 규모 등에 따라 소류력의 변화가 크기 때문에 침식 폭의 크기는 큰 차이를 보이는 것으로 판단된다.
이러한 침식 깊이는 Ikeya(1981)가 제시한 0.5∼3.2m와 유사한 것으로 나타난다. 지역별 평균 침식 깊이는 인제 2.2m, 춘천 1.5m, 홍천 1.4m로 나타나 광역적 지형 및 지질특성과 특별한 경향성은 없으나 각 발생지역의 국부적 특성과 연계될 것으로 예상된다.
Fig. 4는 침식률을 계곡형과 사면형으로 나타낸 것으로 계곡형이 사면형에 비해 평균 약 2배 큰 것으로 나타났으며, 계곡형에서도 상호 약 2∼7배의 차이가 나타난다. 침식률이 큰 지역은 계곡 폭이 작은 지역에 비해 2∼7배의 차이를 보여 침식률 값의 변화는 계곡 폭에 따른 영향인 것으로 판단된다. 이처럼 침식두께는 일정하지만 계곡의 폭에서 큰 차이를 보여 토석류 규모와 침식률은 계곡의 침식 폭에 따라 결정되는 것을 알 수 있다.
Fig. 5는 전체 규모에 대한 발생부 규모를 나타낸 것으로 계곡형은 주로 5%이하로 나타나며 사면형은 현장조건에 따라 다양하게 분포하는 것으로 나타났다. 사면형은 토석류 발생 및 진행의 지형적 특성상 발생부와 유하부를 명확하게 구별하기 어려운 문제점이 있다.
식 (2)의 Hungr et al.(1984)의 침식률과 식 (3)의 Jacob (2005)가 제안한 발생부와 유하부의 침식량과 퇴적부의 퇴적량을 고려한 전체 토석량 산정방법을 바탕으로 Fig. 6에 토석류의 관측값과 계산값을 비교하였다.
계곡형에서는 전체규모 10,000m3을 기준으로 10,000m3이하의 규모에서는 8m3/m의 침식률을 나타내고 10,000m3이상 규모에서는 19m3/m를 적용하여 유하거리에 침식률을 곱하여 유하부의 발생량을 산정하였다. 발생부의 발생량은 계곡형에서 전체 발생량의 5% 정도 임을 고려한 할증값으로 산정하였다. 한편, 사면형에서는 발생부와 유하부의 구분 없이 전체길이에 침식률 5m3/m를 곱하여 전체 토석류 체적을 제안하였다. 이 방법을 통해 토석류 규모의 계산값과 관측값을 Fig. 6에 보인바와 같이 비교한 결과 관측값과 계산값이 유사하게 나타났음을 알 수 있다. 따라서 침식률을 고려한 토석류 규모의 산정법은 의미있는 예측방법으로 추천되며 향후 더 많은 DB구축 및 분석과 다양한 현장조건을 고려한 체계적인 침식률의 적용 기준을 제시하여 간단한 계산식을 통하여 토석류 규모를 추정할 수 있을 것으로 판단된다.
4. 상관성 분석
4.1 지형적 요인에 대한 분석
현장조사를 통한 토석류 규모 산정식은 침식 길이, 계곡 폭, 침식 두께로 구성되며, Marchi and D’Agostino(2004)와 Rickenmann and Koschni(2010)는 규모와 유역면적 그리고 평균경사의 상관성분석을 통해 토석류 규모산정을 위한 경험식을 제안하였다. 본 장에서는 토석류 규모와 그에 영향을 미치는 인자들간의 상관관계를 분석하였다.
Fig. 7은 규모와 침식거리의 관계를 나타낸 것으로 상관성이 높은 것으로 나타났다. 또한, Fig. 8은 규모와 유역면적의 관계를 나타낸 것으로 침식거리에 비해서 상관성은 떨어지나 유역면적에 비례한다. 토석류의 진행경로를 포함하는 유역면적은 침식거리와 비례함을 보여준다.
규모 산정에 사용된 침식 폭이나 깊이는 Fig. 9와 10에 나타났으며, 침식 폭은 다소 높은 상관관계가 있는 것으로 나타났지만, 침식 깊이는 상관성이 낮은 것으로 나타났다. 이는 앞서 서술한 것과 같이 침식깊이는 0.5m∼2.6m의 범위에서 일정한 값을 보이고 있어 상관성이 없는 것으로 판단된다.
Fig. 11은 규모와 유역평균경사의 상관성을 나타낸 것으로 일반적으로 평균경사는 규모 산정에 있어 비례관계에 있는 것으로 생각되지만, 평균경사가 클수록 규모는 작아지는 것으로 나타났다. 이는 경사가 급할수록 산사태 발생확률은 높아지지만 경사가 너무 급하게 되면 토층깊이가 얕고 암반이 노출되어 토석류의 침식 깊이가 얕기 때문에 상대적으로 경사가 급한 지역에서는 토석류의 규모가 크지 않은 것으로 분석되었다(Kim et al., 2000). 따라서 유역의 평균경사는 토석류 규모에 직접적인 상관성을 확인할 수 없었다.
4.2 유발강우에 대한 분석
강우는 토석류 발생에 있어 매우 중요한 요인으로 토석류 유발강우에 대한 기준은 연구자 및 대상지역에 따라 차이를 보인다(Jang et al., 2017). 토석류 유발강우와 규모의 상관성 분석을 통해 토석류 강우조건이 규모에 미치는 영향을 분석하였다.
Fig. 12는 토석류 발생 규모와 연속강우량의 상관성을 나타낸 것으로 상관성이 매우 낮은 것으로 나타났다. Fig. 13은 최대강우강도와 토석류 규모의 상관성 분석 결과로 연속강우량과 같이 상관성이 낮음을 알 수 있다. 토석류 발생시간이 최대시간강우량과 일치하는 경우가 적은 것(Jang et al., 2017)도 하나의 원인으로 판단된다.
규모와 연속강우량의 관계를 좀 더 자세히 분석하기 위해 상관관계가 벗어난 지역을 Fig. 14와 같이 두 개의 그룹으로 나누어 분석하였다.
Fig. 15는 Fig. 14의 Group 1에 해당하는 지역의 강우자료로써 3일 누적강우량은 410mm이다. 하루 전 200mm에 가까운 많은 비가 내렸지만, 3일 전 이미 150mm가 넘는 많은 비가 내린 상태였다. 따라서 많은 선행강우량에 따른 지반의 포화도가 광역적으로 상승하여 사면붕괴 및 침식규모를 증가하였을 것으로 예상된다.
Fig. 16, 17, 18은 Group 2지역으로 3일간 강우량은 약 300mm정도로 토석류가 발생하기 하루에 전체강우량의 50%에 가까운 많은 비가 내렸다. Group 1에 비하여 선행강우량의 규모가 작아서 지반의 포화도가 낮기 때문에 사면붕괴 및 침식규모가 크지 않을 것으로 예측할 수 있다.
따라서, 강우와 토석류 규모의 상관성 분석결과를 보면 연속강우량과 강우강도의 증가는 토석류 발생 가능성이 클 수 있지만 강우에 따른 지반의 포화도 특성에 따라 사면붕괴 및 침식규모가 결정되어 토석류 규모와 직접적인 상관성이 낮은 것으로 분석되었다.
5. 결론
본 연구는 2006년부터 2013년까지 강원도 춘천 인근지역의 토석류 피해지역 43개소에 대한 현장조사 결과를 바탕으로 토석류의 규모를 산정하고 규모와 영향인자의 상관성을 분석하여 다음과 같은 결과를 도출하였다.
(1)토석류의 규모는 지역에 따라 차이를 보이며, 발생형태에 따라 사면형 토석류는 평균 893
, 계곡형은 평균 5,799
로 나타나 계곡형의 규모가 사면형 보다 6.5배 정도 큰 것으로 나타났다.
(2)토석류 규모산정은 발생부의 파괴 체적, 토석류가 이동하면서 침식 및 퇴적된 체적을 통해 산정하며, 계곡형에서 발생부 체적이 전체의 약 5%를 차지하였다.
(3)토석류 이동시 침식 깊이는 0.5~2.6m의 일정한 범위에 분포하며, Ikeya(1981)가 제안한 0.5~3.2m와 유사한 결과를 보였다.
(4)침식률 산정결과 계곡형은 10,000
이상의 규모에서 19
/m, 10,000
이하에서 8
/m로 나타났으며, 사면형은 5
/m로 나타났다. 이러한 결과를 바탕으로 토석류 규모를 예측한 결과 조사된 규모와 유사한 결과를 산정할 수 있었다.
(4)상관성 분석결과 유하부의 길이 및 침식 폭은 토석류 규모와 높은 상관성이 나타났지만, 평균경사와 침식 깊이는 상관성이 없는 것으로 나타났다.
(5)강우와 토석류 규모의 상관성 분석결과 연속강우량 및 최대시간강우량은 지반의 포화도에 따른 사면붕괴 및 침식규모와 연계되어 토석류 규모와 직접적인 상관성은 낮은 것으로 나타났다.



