1. 서 론
2. 사질토 지반에서 현장타설말뚝의 설계지지력 산정방법
2.1 Meyerhof의 제안식(1976)
2.2 NAVFAC DM-7의 제안식(1986)
2.3 FHWA 제안식(O’neill and Reese, 1999)
3. 설계지지력에 미치는 영향인자 분석
3.1 지지력 산정 결과
3.2 지지력 산정 결과의 비교・고찰
4. 결 론
1. 서 론
건축구조물의 설계에 있어서, 토사지반 상부에 건설되는 구조물의 경우에 규모가 증가함에 따라 작용하는 하중의 크기가 커지게 되면, 구조물을 지지하는 기초의 설계가 구조물 안정성에 매우 중요한 요소로 작용하게 된다(Cho and Kim, 2010; Park et al., 2017; Yang et al., 2015). 즉, 구조물의 하중과 지반의 상태를 고려하여 얕은 기초 또는 깊은 기초를 적용하게 되는데, 최근 건축물의 하중이 증가하는 점을 고려하면, 대부분 깊은 기초가 적용되고 있다. 깊은 기초는 재료에 따라 현장타설말뚝, 기성말뚝 등이 활용되고 있지만, 국내의 경우에는 기성말뚝을 선호하는 편이다.
말뚝기초는 지지특성에 따라 선단지지말뚝과 마찰말뚝으로 구분할 수 있는데, 선단지지말뚝은 축하중의 대부분을 말뚝 선단을 통해 기초지반의 지지층에 전달하는 지지특성을 보유하고 있다. 반면에, 마찰말뚝은 지지층의 깊이가 매우 깊어 말뚝 선단이 기초지반의 지지층에 도달할 수 없는 경우, 지반특성을 고려하여 말뚝의 주면 마찰력에 의해서 하중을 지지하는 형태이다. 이와 같은 말뚝의 지지형식에 따른 적용은 말뚝이 시공되는 지반의 공학적 특성을 고려하여 설계하중을 산정한 후 요구 지지력에 따라 그 형식이 결정된다. 국내 대부분의 설계에서는 암반을 일부 굴착 후 거치시키는 선단지지형 말뚝을 적용하고 있는데, 건축구조물의 경우에는 현장타설말뚝의 특성을 고려하여 토사지반에서 주면마찰지지 형식으로 적용하는 경우에 보다 경제적인 기초구조물의 설계가 이루어질 수 있다(Yoon, 2017). 즉, 현장타설말뚝은 토사지반에서 충분한 마찰지지력이 발현되는 경우에 경제성을 확보할 수 있는 기초구조물로의 적용이 가능하기 때문에, 국외에서는 건축구조물 뿐만 아니라, 중・소형 토목구조물에서도 많이 적용되고 있지만, 국내에서는 설계/시공의 편이성 및 품질관리 정밀성의 저하로 인해 아직 활성화되지 못하고 있는 실정이다(Gong et al., 2017; Hong et al., 2018). 그러나 최근 다양한 환경조건의 변화로 인하여 건축구조물 대한 내진성능 향상이 요구되고 있고, 부상 방지용 기초, 철탑 기초, 초고층 구조물 기초, 해양 플랫폼 기초 등과 같이 인발 하중에 대해서도 동시에 저항할 수 있는 기초구조물의 기능 향상이 요구되고 있는 추세이다. 즉, 앞서 언급한 다양한 요구성능에 효과적인 현장타설말뚝의 적용이 대두되고 있으며, 최근에는 건축 및 토목구조물에 적용이 가능한 중구경 현장타설말뚝의 활용가치도 증가하고 있다(You et al., 2017). 이에 마찰저항에 대한 효과를 고려한 경제적이고 합리적인 말뚝기초의 설계를 위해서는 국내의 환경에 부합할 수 있는 설계지지력 산정방안이 필요한 실정이고, 이를 위하여 말뚝기초의 지지거동 특성에 관한 다양한 연구가 수행된 바 있다. 대표적으로, Lim and Seo(2002)는 해양 구조물 기초로 사용되는 현장타설말뚝의 단방향 인발주기 하중패턴에 대한 지지거동 특성 평가를 위한 실험적 연구를 수행하였으며, Kim(2008)은 지반의 공학적 특성 및 경사도에 따라 말뚝의 마찰저항 특성을 평가한 바 있다. 그리고 Cho and Kim(2010)은 선단확장형말뚝을 이용하여 실험적・수치해석적 연구를 통해 주면마찰력을 고려한 하중분담효과를 분석하였다.
따라서 본 연구에서는 현장타설말뚝이 사질토 지반에서 지지되는 경우에 있어서, 마찰저항 효과를 적절하게 반영할 수 있도록, 지반 조건에 따른 지지력 분담 특성을 평가하고자 하였다. 이에 설계지지력 산정을 위해 적용되고 있는 다양한 제안식을 바탕으로 사질토 지반의 N값과 말뚝의 길이비가 설계지지력에 미치는 영향을 고찰하였다.
2. 사질토 지반에서 현장타설말뚝의 설계지지력 산정방법
Meyerhof에 의한 제안식은 지반의 N값을 이용하여 지지력 산정에 소요되는 시간이 적고, 간편하기 때문에 예비설계단계에서 주로 이용되고 있으며, 식 (1)과 같이 표현된다.
| $$Q_u=mN_bA_b+nNA_s\left(t\right),\;\;(m=\frac{4L_b}B\leq15,\;0.1N\leq5t/m^2)$$ | (1) |
여기서, 선단지지력은 mNbAb이고, Nb는 말뚝 선단부의 N값, Ab는 말뚝 선단 지지면적이다. 그리고 주면마찰력은 nNAs (t)이고, n=0.1, N은 지반의 평균 N값, As는 말뚝의 겉면적이다.
NAVFAC DM-7의 제안식에 의한 극한지지력은 지반 조건을 고려한 선단 및 주면의 저항이 연직 유효응력 po에 비례하여 증가하다가 한계깊이 이상에서는 더 이상 증가하지 않는다. 그리고 한계깊이는 지반의 상대밀도와 지하수위에 따라 달라지며 말뚝직경의 10배에서 40배 사이에서 나타는 것으로 제안되었다. 사질토 지반에서의 극한지지력 산정식은 식 (2)와 같이 제안되었으며, 이때, po는 말뚝직경의 20D의 근입깊이까지는 선형적으로 증가하지만, 20D를 초과하는 근입깊이에서는 더 이상 증가하지 않는 것으로 산정된다.
| $$Q_{ult}=p_bN_qA_b+\sum_{H=H_0}^{H=H_0+D}K_0\;P_0(s)\;\tan\delta$$ | (2) |
여기서, 선단지지력은 pbNqAb이고, pb는 선단부의 유효상재응력, Nq는 지지력계수, Ab는 선단면적이다. 그리고 주면마찰력은 이고, K0는 시공조건에 따른 토압계수, P0는 근입깊이에 대한 유효상재하중, δ는 말뚝과 흙 사이의 마찰각, s는 단위길이당 말뚝의 표면적이다.
2.3 FHWA 제안식(O’neill and Reese, 1999)
FHWA에서 제안한 지지력 산정식은 Reese and O’Neill (1988)에 의해 제안된 후 O’neill and Reese(1999)에 의해 수정되었으며, 이를 통해 주면마찰력은 식 (3)과 같이 나타낼 수 있다.
| $$f_s=K\;\sigma_v'\tan\phi\leq200kPa$$ | (3) |
여기서, K는 초기토압계수를 나타내고, σv′는 유효수직응력, ∅는 내부마찰각을 나타낸다. 내부마찰각과 토압계수는 B의 요소로 식 (4)와 같이 나타낼 수 있다.
| $$B=K\;\tan\;\phi$$ | (4) |
파일부분의 요소를 나타내는 B의 범위는 0.25~1.2의 범위이며 N값의 범위에 따라 다음 식 (5) 및 식 (6)과 같다.
| $$B=1.5-0.135Z^{0.5},\;N\geq15$$ | (5) |
| $$B=\frac N{15}(1.5-0.135z^{0.5}),\;\;N<15$$ | (6) |
여기서, Z는 지표면으로부터 지층의 중간 혹은 파일의 중간까지의 길이이다.
또한 선단지지력은 식 (7) 및 식 (8)과 같이 표현된다.
| $$q_p(tsf)=0.6N_{60,}\;0<N_{60}\leq75$$ | (7) |
| $$q_p(tsf)=4.3MPa,\;N_{60}>75$$ | (8) |
여기서, N60은 해머효율의 60%효과에 대한 보정값이다.
3. 설계지지력에 미치는 영향인자 분석
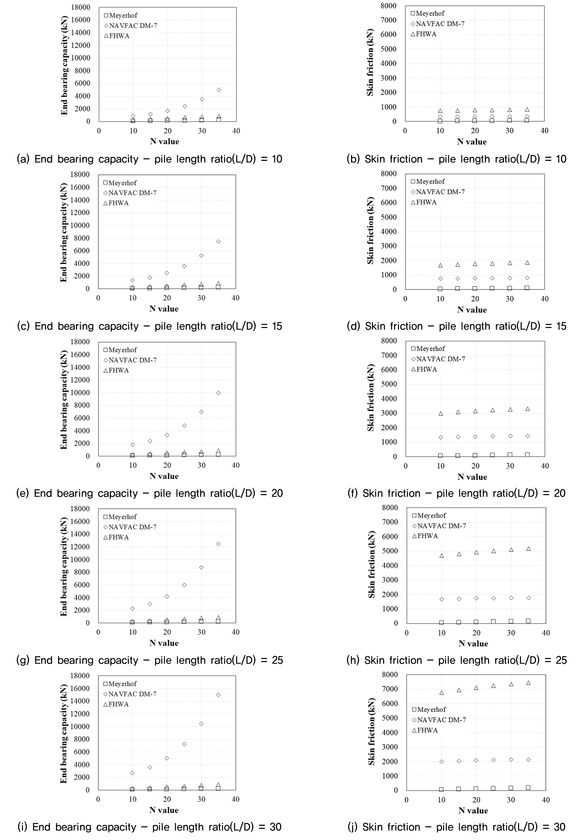
Meyerhof, NAVFAC DM-7, FHWA의 3가지 제안식을 이용하여, 사질토 지반에서의 선단지지력과 주면마찰력을 구분하여 산정하였고, 산정된 지지력 결과를 이용하여 N값과 말뚝의 길이비를 매개변수로 하여 지지력 분담특성을 평가하였다(Fig. 1참조). 이 때, 말뚝기초의 조건은 건축구조물 및 중・소형 토목구조물에서 적용할 수 있는 중구경 현장타설말뚝으로 가정하여, 직경 0.8m, 0.9m, 1.0m, 길이비(L/D)를 10D∼30D으로 적용하였다. 또한 사질토 지반의 조건은 각 제안식에서 공통 인자로 적용되는 N값에 따른 내부마찰각 및 단위중량을 이용하였다. 즉, N값은 토사지반의 특성을 고려하여 10∼35으로 적용하였으며, N값에 의한 내부마찰각 및 단위중량의 범위는 다양한 경험식 및 국내 문헌자료를 통해 각각 약 28°∼36°, 단위중량은 약 17kN/m3∼19kN/m3으로 결정하였다.
3.1 지지력 산정 결과
Table 1은 Meyerhof의 제안식을 이용하여 N값과 길이비에 대한 선단지지력, 주면마찰력 및 극한지지력을 산정한 결과이다. 동일한 길이비 조건에서 N값이 증가함에 따라 선단지지력과 주면마찰력은 증가하는 경향을 보였고, 말뚝의 길이비에 관계없이 N값의 증가에 따른 말뚝의 직경이 클수록 선단지지력과 주면마찰력은 더 큰 폭으로 증가하였다. 그리고 극한지지력은 선단지지력에 의한 영향이 지배적인 것으로 평가할 수 있었다. 이는 길이비가 증가할수록 선단지지력은 일정한 반면에, 주면마찰력이 증가함에도 불구하고, 극한지지력에 차지하는 선단지지력의 크기가 상대적으로 큰 것을 알 수 있었다.
Table 1. Calculation result of bearing capacity by Meyerhof’s formula
Tabla 2는 NAVFAC DM-7의 제안식을 이용하여 지지력 산정 결과를 나타낸 것이다. 말뚝의 길이비가 증가할수록 선단지지력과 주면마찰력 모두 증가하였지만, 선단지지력의 증가율이 더욱 크게 나타난 점을 고려하면, 선단지지력에 의한 영향이 지배적인 것으로 확인되었다. 이는 말뚝의 주면면적의 증가보다는 말뚝선단부의 유효상재압의 증가량이 더 크게 반영되었음을 의미한다. 또한 말뚝의 직경이 클수록 N값이 증가함에 따라 선단지지력의 증가폭은 더욱 크게 나타났는데, 이는 선단지지력이 말뚝의 단면적을 반영했기 때문이다. 그리고 말뚝의 직경(D)요소가 길이요소로 반영되기 때문에, 말뚝의 직경이 클수록 주면마찰력도 증가하지만, 말뚝이 근입되어 있는 지반의 N값에 의한 영향은 미미한 것으로 판단되었다. 이를 바탕으로 NAVFAC DM-7의 제안식은 말뚝의 길이요소가 주면마찰력 뿐만 아니라 선단지지력에도 영향을 미치고, 주면마찰력에 미치는 영향보다 큰 것으로 평가되었다. 이는 N값 및 말뚝의 직경에 의한 영향보다는 말뚝 길이요소가 지지력에 가장 큰 영향을 미치는 것으로 분석되었다.
Table 2. Calculation result of bearing capacity by NAVFAC DM-7’s formula
Table 3은 FHWA 제안식을 이용한 지지력 산정 결과를 나타낸 것이다. Meyerhof 및 NAVFAC DM-7의 제안식과 달리, 주면마찰력과 선단지지력은 길이비에 따라서, 그 영향이 다르게 나타났다 즉, 길이비가 10일 때의 극한지지력은 N값이 10∼35의 범위에서 주면마찰력에 의한 영향이 지배적이고, N값이 35∼40인 경우에는 선단지지력에 의한 영향이 큰 것으로 확인되었다. 그리고 길이비가 15이상인 경우에는 N값의 크기와 관계없이 주면마찰력이 극한지지력에 지대한 영향을 미치는 것을 알 수 있었다. 한편, 선단지지력은 말뚝의 길이비에 의한 영향은 거의 없는 것으로 확인되었으며, 이는 선단지지력 산정식에서 선단부의 N값만 반영되었기 때문이다. 주면마찰력은 N값이 증가할수록 커지는 경향을 보임과 동시에, 길이비가 증가할수록 증가율은 더욱 커졌으며, 말뚝의 직경이 증가하는 경우에도 동일한 경향을 보였다.
Table 3. Calculation result of bearing capacity by FHWA’s formula
3.2 지지력 산정 결과의 비교・고찰
앞서 산정된 지지력을 이용하여, 말뚝의 길이비 및 지반의 N값이 현장타설말뚝의 지지력에 미치는 영향을 고찰하였다. 이때, 말뚝의 길이비 및 지반의 N값은 각 제안식별로 선단지지력과 주면마찰력에 미치는 영향이 다르게 나타나지만, 말뚝 직경에 따른 영향은 거의 없는 점을 고려하였다. 따라서 건축구조물 및 중・소형 토목구조물의 기초로 적용될 수 있는 중구경 현장타설말뚝을 고려하여 말뚝의 직경이 0.8m인 경우를 대상으로 각 제안식에 의한 지지력 산정결과를 비교・분석하여 Fig. 2와 같이 나타내었다.
먼저, 선단지지력의 경우, N값이 동일한 조건하에서 Meyerhof와 FHWA의 제안식은 말뚝의 길이비와 관계없이 일정하게 산정되는 반면에, NAVFAC DM-7의 제안식은 말뚝의 길이비가 증가함에 따라 선단지지력이 증가하였다. 특히, Meyerhof 제안식에서 선단지지력 평가는 말뚝 선단부의 N값과 말뚝의 직경에 의한 영향을 받지만, 전술한 바와 같이, 말뚝의 길이요소는 반영하지 않는 것을 확인할 수 있었다. 또한 FHWA의 제안식도 길이요소를 배제하고, N값을 기반으로 일정한 상수값을 적용하기 때문에, 동일한 N값의 조건에서는 선단지지력이 같은 것을 알 수 있었다. 반면에, NAVFAC DM-7의 제안식은 말뚝선단부의 유효상재압에 의해 말뚝의 길이비가 증가할수록 말뚝선단부에서 작용하는 유효상재압이 증가하기 때문에, 모든 N값의 범위에서 NAVFAC DM-7 제안식이 선단지지력을 가장 크게 평가하였다.
주면마찰력의 경우, NAVFAC DM-7과 FHWA의 제안식에서는 말뚝의 길이비가 클수록 주면마찰력이 증가율이 확연하게 나타난 반면에, Meyerhof의 제안식은 다른 두 제안식에 비하여 현저하게 작게 평가하는 것을 알 수 있었다. 즉, 전술한 바와 같이 Meyerhof의 제안식은 주면마찰력을 평가함에 있어서, 말뚝이 근입되어 있는 사질토 지반의 평균 N값을 적용하여 산정하지만, NAVFAC DM-7은 토사지반의 내부마찰각과 지지력계수의 관계, 말뚝에 작용하는 수평응력, 토압계수, 말뚝과 흙 경계면의 마찰각 등과 같은 다양한 변수를 통해 지반과 말뚝사이에서 발생하는 상호작용을 고려한 제안식이라 판단되었다. FHWA의 제안식의 경우에는 길이비가 증가할수록 지반의 유효응력이 증가하기 때문에, 길이비 증가에 따라 주면마찰력의 증가율이 가장 크게 나타난 것을 알 수 있었다.
이를 바탕으로 극한지지력을 비교하면, 모든 제안식에 있어서 길이비가 증가함에 따라 극한지지력이 증가하지만, 앞선 분석결과와 같이 Meyerhof의 제안식은 주면마찰력 증가에 따라 극한지지력이 증가하였고, 다른 두 제안식에 비하여 지지력을 현저하게 작게 산정하는 것으로 평가되었다. 그리고 N값이 10일 때, NAVFAC DM-7의 제안식은 FHWA의 제안식과 유사하게 극한지지력을 평가하지만, N값 및 길이비가 증가할수록 FHWA에 비해 현저하게 크게 산정하는 것으로 나타났다. 이는 극한지지력에 대한 영향에 있어서 NAVFAC DM-7의 제안식이 N값에 의한 선단지지력을 매우 크게 평가했기 때문인 것으로 확인되었다.
한편, 각 제안식에 의한 지지력 분담률 산정결과를 Fig. 3∼Fig. 5에 나타내었다.
먼저, Fig. 3에 나타낸 Meyerhof의 제안식의 경우, 길이비가 10일 때의 선단지지력의 분담률은 전체하중의 약 80%이고, 길이비의 증가에 따라 선단지지력 분담률은 55%(길이비 30)까지 감소하였다. 주면마찰력은 반대의 결과를 나타냈으며, 전술한 바와 같이, N값에 의한 차이는 없는 것으로 확인되었다. 따라서 N값은 말뚝의 길이비에 따라 선단지지력과 주면마찰력의 크기에 영향을 미치는 인자로 판단할 수 있으며, 극한지지력에 있어서 N값에 의한 선단지지력과 주면마찰력의 분담률은 동일한 것으로 평가되었다.
NAVFAC DM-7 제안식의 경우(Fig. 4), 선단지지력의 분담률은 길이비가 10∼20범위에서는 길이비가 증가함에 따라 감소되었지만, 길이비가 20을 초과하는 범위에서는 일정하였다. 즉, 말뚝의 길이비가 20이상에서는 선단지지력과 주면마찰력이 부담하는 지지력의 차이가 없는 것으로 평가하는데, 이는 길이비가 20이상인 경우에 말뚝에 작용하는 수평력을 동일하게 적용하기 때문이다.
Fig. 5와 같이, FHWA의 제안식에 의한 결과에서 선단지지력의 분담률은 길이비가 10이고 N값이 35인 경우를 제외하면, 주면마찰력의 분담률이 선단지지력에 비하여 큰 것으로 확인되었다. 이와 같은 경향은 말뚝의 길이비가 증가하고, N값이 감소할수록 더욱 뚜렷하게 확인할 수 있었다. 즉, FHWA의 제안식은 사질토 지반에서 마찰저항효과를 크게 반영하는 것을 의미한다.
4. 결 론
본 연구에서는 현장타설말뚝이 사질토 지반에서 지지되는 경우에 대하여, 설계지지력 산정을 위해 적용되고 있는 다양한 제안식을 이용하여 말뚝의 길이비와 N값이 지지력에 미치는 영향을 분석하였으며, 그 결과를 요약하면 다음과 같다.
(1) Meyerhof의 제안식은 말뚝 선단부의 N값과 사질토 지반의 평균 N값이 동일하게 적용되어 지지력을 평가하기 때문에, 말뚝의 길이비에 따라 N값은 선단지지력과 주면마찰력의 크기에 영향을 미치는 주요인자로 평가되었다. 그러나 극한지지력에 있어서 N값에 의한 선단지지력과 주면마찰력의 분담률은 동일하게 평가하기 때문에, 지지력 분담률은 길이비에 의해서만 영향을 받는 것으로 분석되었다.
(2) NAVFAC DM-7의 제안식은 말뚝의 길이요소가 주면마찰력 뿐만 아니라 선단지지력에도 영향을 미치기는 하지만, 선단지지력에 더욱 큰 영향인자로 작용하였다. 이를 통해 N값 및 말뚝의 직경에 의한 영향보다는 말뚝 길이요소가 지지력에 가장 큰 영향을 미치는 것으로 평가할 수 있었다.
(3) FHWA의 제안식의 경우, N값이 클수록 주면마찰력이 증가하는 경향을 보임과 동시에, 길이비가 증가할수록 그 증가율은 더욱 커졌으며, 말뚝의 직경이 증가하는 경우에도 동일한 경향을 보였다. 즉, 극한지지력 평가 시에 N값에 의한 선단지지력 보다는 길이요소에 의한 주면마찰력의 영향을 다른 제안식에 비하여 더욱 크게 반영하는 것을 알 수 있었다.
상기의 결론과 같이, 사질토 지반에 지지되는 현장타설말뚝에 대하여 제안식을 이용한 지지력 평가 시에는 각각의 제안식에 영향을 미치는 인자가 다르기 때문에, 이를 고려한 지지력 평가가 수행될 필요가 있음을 확인하였다. 다만, 본 연구는 제한된 조건에서의 설계지지력 산정결과를 반영하였기 때문에, 다양한 재하시험 결과와의 비교를 통해 현장조건을 고려한 영향인자 분석이 추가로 수행되어야 할 것으로 판단된다.







