1. 서 론
2. 이론적 배경
2.1 물유리계 약액의 특성
2.2 물유리계 약액의 용탈현상
3. 합성폴리머 실리카졸 그라우트의 특성
3.1 개요
3.2 합성폴리머 실리카졸의 특성
4. 실내시험
4.1 개요
4.2 일축압축강도시험
4.3 삼축투수시험
4.4 길이변화실험
4.5 어독성시험
4.6 용탈시험
5. 결 론
1. 서 론
일반적으로 차수 그라우팅 공법과 구조물 보강공사로 국내에서 광범위하게 사용되는 약액주입공법으로는 규산소다를 급결제로 하는 물유리계 그라우팅 공법인 SGR(Space Grouting Rocket System)공법 및 LW(Labiless Wasser glass)공법 등이 있다(Kim et al., 2010). 이러한 물유리계 주입공법은 겔타임조절이 용이하고 지반주입시 침투성능이 좋다는 장점이 있으나 용탈현상과 내구성 저하 등의 문제가 발생하므로, 가시설 구조물에는 사용이 가능하나 영구적인 지반보강 및 차수를 위한 재료로서는 본질적인 문제점을 가지고 있다(Ryu, 2008). 기존에 많은 연구들을 통해 물유리계 약액의 용탈현상과 차수효과 저하, 장기적인 강도 측정의 불리함을 인지하고 규산소다를 사용하지 않거나 그 비율을 줄인 공법들을 개발 중에 있으나 환경성 및 내구성 대한 연구는 미비한 실정이다(Jang et al., 2016). 이에 일본을 포함한 선진국에서는 기존의 공법들보다 개선된 주입공법인 실라카졸계 등 여러 가지 주입공법을 사용하고 있다(Jo et al., 2015). 한편 Kim(2017)은 친환경 약액주입공법인 실리카졸 기반의 PCF(Packer Clean Firm)공법을 개발하고 기존 약액주입공법과 비교를 통해 주입재의 환경성과 시공성, 경제성 등을 분석하였다. 그 결과 기존 약액주입공법인 LW공법 대비 강도의 증진 및 환경성과 차수성능이 우수한 공법임을 확인하였으나 실리카졸의 지속적인 연구의 중요성을 시사하였다. 또한 Sögaard et al.(2018)은 그라우팅 목적을 위한 실리카졸의 설계 및 개선에 중요성을 시사하였다. 따라서 실리카졸 기반의 차수그라우트에 대한 추가적인 연구가 필요한 시점이다.
본 연구에서는 물유리계 그라우팅 공법의 문제점인 용탈현상을 방지하고 내구성과 투수성, 환경성을 확보할 수 있는 합성폴리머 실리카졸 그라우트(Synthetic Polymer-Silica Sol, 이하 SPSS)를 개발하였다. 또한 기존 차수그라우팅 공법인 SGR공법과의 공학적 특성을 비교하기 위해 일축압축강도시험, 삼축투수시험, 길이변화실험, 어독성시험, 용탈시험 등의 실내시험을 수행하였으며, 실내실험을 통해 합성폴리머 실리카졸의 차수그라우팅 성능을 확인하였다.
2. 이론적 배경
2.1 물유리계 약액의 특성
물유리란 규산 등을 수산화나트륨(NaOH) 또는 탄산나트륨(Na2CO3)으로 용해한 것이다(Yang et al., 2012). 기존 차수그라우팅 공법에는 물유리계 약액인 규산소다 즉 Na2O와 SiO2가 여러 가지 비율로 결합된 것을 사용한다. 몰비에 따라 규산 1호, 2호, 3호, 4호 등으로 분류되며, 대체적으로 차수 그라우팅에 사용되는 규산은 규산3호이다. 규산3호를 사용하는 대표적인 그라우팅 공법으로는 LW공법과 SGR공법 두 가지 공법이 있으며, LW공법은 규산3호용액과 시멘트 현탁액을 혼합하여 지반보강 및 차수 목적을 얻기 위해 사용되는 공법으로 시공이 단순한 반면 겔타임의 조절이 용이하지 못하고 적용 토질에도 한계가 있어 투수성이 큰 지반에서는 적합한 차수효과를 기대하기에 한계점을 지닌다. 또한 SGR공법은 시공은 단순하지만 겔타임 조절이 용이하다. 그러나 저압주입이므로 지반의 교란과 주변 구조물에 미치는 영향이 적고 차수성능은 양호하나 지반의 강도증대는 다소 미미하다. Table 1은 규산 3호의 성분을 표로 보여주고 있다.
Table 1.
Characteristic of DiSodium TriSilicate (Yang et al., 2012)
| Specific gravity (20°C) | SiO2 (%) | Na2O (%) | Fe (%) | Water insoluble amount (%) |
| 1.380 | 28~38 | 9~10 | 0.02 | 0.01 |
2.2 물유리계 약액의 용탈현상
물유리계 그라우트의 경우, 대부분의 나트륨이 함유된 규산소다류의 규산염이 사용되고 있다. 그러나 최종 고결체에 다량으로 남아있게 되는 나트륨은 지하수나 수중상태에서의 수분과 반응하게 되어 고결체 밖으로 빠져나오는 용탈 현상이 발생한다. 그 결과 고결체 체적감소에 따라 차수역할을 제공할 수 없을 뿐 아니라 고결체의 강도 저하의 원인이 된다. 물유리의 주된 용탈 성분은 Na2O(산화나트륨)로서, 용탈 현상이 발생함에 따라 물유리계약액의 일축압축강도가 재령 2~3년 이내에 50% 전후가 감소하며, 투수계수가 주입률에 따라 102~103배로 증가하게 된다. 식 (1)에서 용액형 비알칼리계 물유리의 용탈 메카니즘을 보여주고 있고 식 (2)에서 용액형 알칼리계 물유리의 용탈 메카니즘을 보여주고 있으며, Fig. 1은 용탈현상에 의한 고결체의 수축을 보여주고 있다(Chun, 2011).
여기서, 용탈물질 :
불용탈물질 :
여기서, 용탈물질 :
불용탈물질 :
3. 합성폴리머 실리카졸 그라우트의 특성
3.1 개요
실리카졸은 공해문제를 해결하기 위해 개발된 약액으로서 알칼리성 폐액을 처리할 때 폐액이 유산 등의 산성제로 중화되어 배수하는 것에서 착안되었다. 또한 물유리 중의 알칼리를 산으로 중화하여 주입하면 환경적으로 유리하며, 겔화되는 성질의 안정성 높은 지반 고결법이 된다는 점에서 착안되었다(Lee et al., 2010). 알칼리를 제거한 물유리는 산성 영역으로 조정하면 실리카졸을 형성하며, 겔화되는 성질을 가진다. 이런 실리카졸을 주입목적에 적합하게 고결시키기 위해 알칼리성을 나타내는 경화제를 첨가하면 중성 영역에서 겔화되는 성질을 가지게 되는데 이는 종래의 알칼리 물유리계 약액과는 다른 효과를 발휘하는 주입재가 된다. 일반적인 실리카졸의 생산과정에서는 황산나트륨을 사용하며, 다량의 미반응 황산나트륨 및 Na이온은 실리카졸의 겔화 반응에서 구형의 입자 구조 외부를 둘러싸는 형상으로 존재하게 된다. 이는 시멘트 수화물인 수산화칼슘과 반응하여 석고를 생성하고 생성된 석고는 알루민산 3석회의 수화물과 반응하여 체적팽창 및 수산화칼슘 등의 용출 원인이 되며, 지하에 포함된 수분 및 잉여수 등과의 반응으로 고결체 밖으로 빠져나오는 용탈 현상이 발생한다(Jo et al., 2015). Table 2는 SPSS 약액의 성분을 표로 보여주고 있다.
Table 2.
Characteristic of Synthetic Polymer-Silica Sol
| Specific gravity (20°C) | SiO2 (%) | Na2O (%) | Fe (%) | Water insoluble amount (%) |
| 1.396 | 28.4 | 8.5 | 0.01 | 0.00 |
3.2 합성폴리머 실리카졸의 특성
규산나트륨 수화물의 용탈현상은 규산나트륨의 규산염화 반응으로 인한 시멘트 슬러리의 겔화 고결체에 다량 잔존하는 나트륨(Na)이 잉여수 또는 지반에 지하수와 같은 수분과 반응하여 고결체 밖으로 빠져나오는 현상이 발생하게 되는데 이때 고결체 체적 감소에 따라 균열 및 내구성 저하가 나타나는 현상이 용탈현상이다. 이를 보완하기 위해 SPSS 주입재의 생산과정에서는 실리실산을 사용한다. 실리실산은 유기산의 하나로 유기합성 등에 많이 쓰이는 물질로써 이를 이용하여 실리카졸 생산 공정에 사용되는 다량의 황산나트륨을 대체하여 사용하면 미반응 황산나트륨 및 Na이온의 시멘트계 그라우트와 반응에 따른 용탈 현상 저감으로 기존 차수 그라우트 대비 성능 개선이 가능하다. 또한 규산염 반응으로 인해 생성된 Na 수화물의 Na이온이 잉여수 등과 반응으로 발생되는 용탈을 금속이온과 Na이온의 생성 수화물이 중금속 이온을 잡아 두거나 제거하기 위해 금속과 결합하는 킬레이트 화 및 규산염 개시제 등의 선택적 반응으로 인한 Na-금속 이온 수화물 생성 및 용탈을 방지하였다. Fig. 2은 SPSS의 Na이온 용탈저감 현상을 그림으로 보여주고 있다.
4. 실내시험
4.1 개요
실내시험은 기존에 사용되었던 차수그라우트인 SGR 주입재와 SPSS의 내구성 및 투수성, 환경성을 비교·분석하기 위해 수행하였다. 내구성을 분석하기 위해 습윤양생과 수중양생에서의 일축압축강도시험과 기건양생, 습윤양생, 수중양생에서의 길이변화실험을 수행하였고, 투수성을 분석하기 위해 삼축투수시험을 수행하였으며, 환경성을 분석하기 위해 어독성시험 및 pH 측정을 수행하였다. 또한 용탈현상에 따른 그라우트의 공학적 특성을 분석하기 위해 용탈시험을 수행하였다. 시험의 조건은 SGR 주입재와 SPSS의 배합비에 따라 급결과 완결로 구분하였다. SPSS 배합비의 경우 물시멘트비와 SPSS 약액의 배합량에 따라 구분하였으며, SGR 주입재 배합비의 경우 첨가제의 종류로 구분하였다. Table 3는 시험조건의 종류를 표로 보여주고 있고 Table 4와 Table 5는 각각 SPSS의 배합비와 SGR 주입재의 배합비를 표로 보여주고 있다.
Table 3.
Type of case
| Case 1 | Case 2 | Case 3 | Case 4 |
|
SPSS (Short type) |
SPSS (Middle type) |
SGR (Short type) |
SGR (Middle type) |
Table 4.
SPSS mix proportion
| SPSS (Short type) | SPSS (Middle type) | ||
| A | Water (L) | 154 | 161 |
| Cement (kgf) | 140 | 120 | |
| B | SPSS (L) | 55 | 35 |
| Water (L) | 145 | 165 |
Table 5.
SGR mix proportion
| SGR (Short type) | SGR (Middle type) | ||
| A | Water (L) | 100 | 100 |
| Disodium TriSilicate (kgf) | 100 | 100 | |
| B | SGR additive 7 (kgf) | 24 | - |
| SGR additive 8 (kgf) | - | 24 | |
| Water (L) | 168 | 168 | |
| Cement (kgf) | 60 | 60 |
4.2 일축압축강도시험
일축압축강도시험은 SPSS와 SGR 주입재의 내구성을 평가하며, 차수그라우트로서 지반보강용으로 적용할 수 있는지를 판단할 수 있는 중요한 기준이 된다. 본 연구에서는 기존 차수그라우트인 SGR 주입재와 본 연구에서 개발한 SPSS의 일축압축강도를 비교·분석하기 위해 주입재 별로 공시체를 제작하여 재령과 양생방법에 따른 일축압축강도 변화를 측정하였다. 양생방법의 분류는 그라우트의 용탈, 수축, 균열 등의 원인으로 발생되는 내구성 및 강도 변화를 측정하고 지하수 유입 및 수중상태의 그라우트의 내구성을 파악하고자 수중양생과 습윤양생 두 가지 양생법을 통해 양생을 실시하였다. 또한 공시체의 재령을 1일, 3일, 7일, 28일로 측정함으로서 시간경과에 따른 공시체의 초기강도 및 장기강도를 비교·분석하였다.
4.2.1 일축압축강도시험 방법
본 시험은 KS L 5105 시험법에 의거하여 시험을 진행하였으며, 공시체는 50×50×50(mm)의 정육면체 시편으로 제작하였다. 공시체의 배합은 A액과 B액의 배합비에 따른 질량비로 개량하였고 겔타임의 80%까지 교반한 직후 사전에 준비된 몰드에 성형 후 양생하였다. 수중양생의 경우 22°C 온도의 물이 있는 용기에 넣어 완전히 잠기도록 양생하였으며, 습윤양생의 경우 공시체의 습기가 공급될 수 있도록 공시체를 방수팩에 밀봉하여 수분을 분무하며 양생하였다. 재령별로 공시체를 제작한 후, 3개의 공시체의 강도를 측정하여 평균값을 산정하였다. Fig. 3는 양생방법과 일축압축강도측정을 그림으로 보여주고 있다.
4.2.2 일축압축강도시험 결과
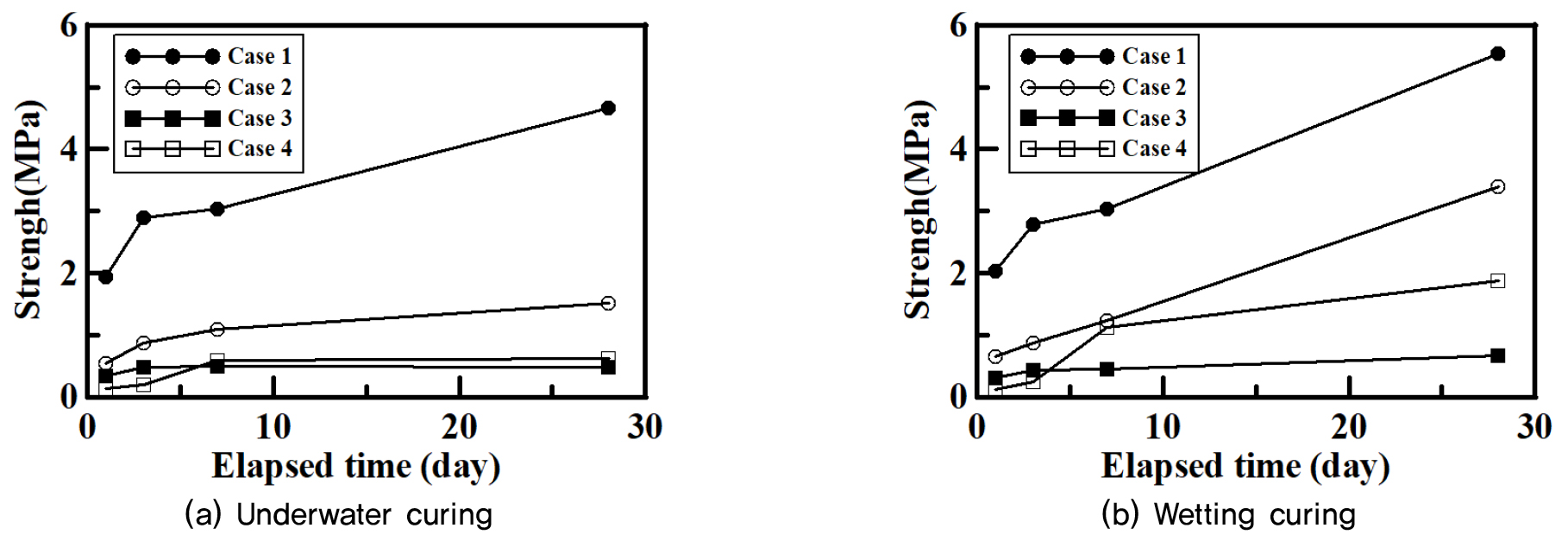
SPSS와 SGR 주입재의 일축압축강도 비교결과 공법별로 재령시간에 따라 강도가 증가하였으나 SGR 주입재 급결 수중양생의 경우 재령 7일에서 28일로 경과 시 강도가 0.5MPa에서 0.49MPa로 감소하는 것으로 확인되었다. 또한 재령 28일 일축압축강도의 경우 SPSS는 가장 큰 강도인 5.54MPa로 측정된 반면 SGR 주입재는 0.67MPa로 비교적 낮은 강도로 측정되었다. 수중양생과 습윤양생에서의 일축압축강도 비교결과 재령 28일에서 SPSS의 경우 수중양생의 일축압축강도가 4.67MPa, 습윤양생은 5.54MPa로 1.18배 차이가 났지만 SGR 주입재의 경우 수중양생의 일축압축강도가 0.62MPa, 습윤양생은 1.88MPa로 3.03배 차이가 났다. 이는 SGR 주입재의 수중양생이 진행됨에 따라 그라우트의 용탈 및 수축현상으로 인해 강도저하가 나타났다고 판단되고 SPSS의 경우 1.18배의 차이로 용탈 및 수축현상이 발생하지 않아 강도저하에 영향이 없었다고 판단된다. Table 6과 Fig. 4는 일축압축강도 시험결과를 표와 그림으로 나타내고 있다.
Table 6.
Result of unconfined compressive strength test
4.3 삼축투수시험
삼축투수시험을 통한 투수계수 산정은 조건에 따라 구조물이나 지반의 차수, 물의 침투 및 압력의 영향을 고려하고 그에 따른 안정성을 평가하고 판단하는데 중요한 기준이 된다. 또한 차수그라우트의 투수계수가 1.0×10-5cm/sec 이하일 경우 차수효과가 있다고 판단하고 있다(Chun, 2011). 따라서 투수계수의 목표성능을 1.0×10-5cm/sec로 선정하였다. 삼축투수시험은 시료를 백 프레셔를 이용하여 압력조절을 통해 완전히 포화시킨 후 투수계수를 측정하는 실험으로 본 시험에서는 SPSS와 기존 차수그라우트 공법인 SGR 주입재의 투수계수 산정 및 비교를 위해 재령 28일의 원통형 공시체의 삼축투수시험을 실시하였다.
4.3.1 삼축투수시험 방법
본 시험은 ASTM D5084(2016)에 의거하여 시험을 진행하였으며, ∅50×100(mm)의 원통형 공시체를 재령 28일 동안 수중양생한 후 삼축투수 시험기에 거치하여 공시체를 고무막으로 씌운 후 고무링을 사용하여 고무막을 고정시켰다. 압력장치를 설치하여 시험기 하부에서 상부까지 포화시켰으며, 공시체를 포화시킨 후 유입에 따른 시간과 수위 변화량을 측정하여 투수계수를 산정하였다. 투수계수의 산정은 Darcy법칙을 이용하여 산정하였으며, 아래 식 (3), (4)와 같다. Fig. 5는 삼축투수시험의 방법을 나타내고 있다.
여기서,
P1 : 공시체 저면에서의 압력
P2 : 공시체 윗 부분에서의 압력
A : 시료의 높이(cm)
t : 유량의 통과 시간(sec)
4.3.2 삼축투수시험 결과
삼축투수시험 결과 SPSS의 급결의 경우 투수계수가 8.84×10-7cm/sec로 가장 낮은 투수계수를 보였다. 기존 차수그라우트인 SGR 주입재 급결의 경우 2.85×10-6cm/sec로 SPSS 급결 대비 약 3.2배정도 높게 측정이 되었고 SPSS 완결의 경우 6.52×10-6cm/sec로 비교적 낮은 투수계수를 보였다. 또한 SPSS 급결과 완결에서 목표성능으로 선정한 1.0×10-5cm/sec보다 낮은 투수계수가 나타났으며, SPSS 급결의 경우 투수저감 효과가 SGR주입재 대비 약 3.2배 높은 것으로 나타났다. Table 7은 삼축투수시험 결과를 표로 보여주고 있다.
Table 7.
Result of triaxial permeability test
| Case 1 | Case 2 | Case 3 | Case 4 | |
| Coefficient of permeability (cm/sec) | 8.84×10-7 | 6.515×10-6 | 2.85×10-6 | 1.73×10-6 |
4.4 길이변화실험
길이변화실험은 SPSS와 SGR 주입재의 양생방법에 따른 공시체의 수축이나 팽창, 균열 등을 비교하고 구조물이나 지반의 적용이 가능한지에 대한 여부를 개략적으로 판단하기 위한 실험방법이다. 또한 장기적인 실험 진행 시 심한 균열이나 변형 등으로 인한 공시체의 길이변화 측정불가 상태의 재령시간을 통해 그라우트의 보수, 보강 시기를 선정할 수 있다. 본 실험은 공시체의 재령일을 1일, 3일, 7일, 28일을 측정함으로서 시간경과에 따른 공시체의 면적, 수축률을 산정하였고 측정불가 상태의 재령시간 또한 확인하였다.
4.4.1 길이변화실험 방법
실험방법은 SPSS와 SGR 주입재의 수축정도를 비교하고자 3가지 양생법에 의해 공시체의 길이변화를 측정하였다. 공시체의 배합은 A액과 B액의 배합비에 따른 질량비로 계량하였고 겔타임의 80%까지 교반한 직후 사전에 준비된 길이변화몰드에 성형 후 양생하였다. 공시체의 양생은 기건 양생, 수중 양생, 습윤 양생으로 하였다. 수중양생의 경우 22°C 온도의 물이 있는 용기에 넣어 완전히 잠기도록 양생하였고 습윤양생의 경우 공시체의 습기가 공급될 수 있도록 공시체를 방수팩에 밀봉하여 수분을 분무하며 양생하였으며, 기건양생의 경우 상온의 대기 중에서 공시체를 양생하였다. 또한 몰드의 규격은 40×40×160(mm)의 직육면체 시편으로 제작하였으며, 최초 면적 64cm2대비 재령시간에 따른 공시체의 면적을 비교하였다. 또한 길이변화의 측정은 버니어 켈리퍼스를 사용하였다. Fig. 6은 양생별 길이변화실험을 나타내고 있다.
4.4.2 길이변화실험 결과
길이변화실험 결과 기건양생 재령 28일에서 SGR 주입재는 급결에서 42.35% 수축하였고 완결의 경우 재령 14일 이후에는 측정이 불가했다. 이에 반해 SPSS는 재령 28일의 경우 15.02%, 14.44%로 비교적 작은 수축이 일어났다. 또한 습윤양생과 수중양생의 재령 28일에서 SPSS의 경우 0.63%로 더 이상의 수축이 일어나지 않은 반면 SGR 주입재는 습윤양생에서 6.79%, 4.33% 수중양생에서 10.47%, 4.33% 수축이 일어났다. 이는 시멘트와 규산의 주성분인 Na2O의 용탈현상으로 인해 공시체의 수축이 크게 일어났다고 판단된다. Table 8과 Table 9와 Fig. 7은 공시체의 수축량과 면적의 변화를 표와 그림으로 나타내고 있다.
Table 8.
Result of shrinkage measurement
Table 9.
Result of area change
4.5 어독성시험
약액주입공법은 시공 후 고결체의 용탈현상으로 인해 인근 지하수 및 지반을 오염시키고 있으므로 차수그라우팅 공사를 진행할 때는 환경성을 고려한 친환경적인 차수그라우팅 공법을 선정하여야 한다. 또한 일본 건설성에서는 주입공사 진행 이후 주변의 수질기준인 pH를 8.6 이하로 제한하고 있지만 물유리계 주입재의 경우 pH가 8.6 이상으로 물유리계 약액이 환경성에 불리한 실정이다. 이에 본 연구에서는 약액주입에 의한 환경오염의 정도를 파악하기 위해 SGR 주입재와 SPSS를 대상으로 어독성시험과 pH 측정을 실시하여 환경영향성을 평가하였다.
4.5.1 어독성시험 방법
약액주입에 의한 환경성의 저하를 분석하기 위해 SGR 주입재와 SPSS를 대상으로 어독성시험을 실시하여 환경영향성을 평가하였다. 시험수조는 유리제로 용량이 약 30L 이상이 되도록 설계하였으며, 수조의 적정온도인 20°C를 ±2°C로 유지할 수 있도록 수조 온도 유지계를 부착하였고 공기순환을 위한 공기펌프를 부착하였다. 또한 공시어는 건강한 상태의 송사리로 하였으며, 공시어의 환경변화에 대한 대책으로 100L의 순응수조에서 7일간 순응시켰다. 공시어의 선정은 시험 조건별로 길이 2~3cm의 20마리 공시어를 선정하였다. 그 후 SGR 주입재와 SPSS의 공시체 3개를 물이 채워진 시험수조 안에 넣고 시험하였다. 측정 시기는 공시체 투입 후 24시간, 48시간, 72시간, 96시간별로 측정하였다. Fig. 8은 어독성시험 방법을 그림으로 나타내고 있다.
4.5.2 어독성시험 결과
어독성시험 결과 SPSS의 경우 급결과 완결 모두 공시어가 폐사하지 않은 반면 SGR 주입재 급결에서는 18마리가 폐사하였고 완결에서는 20마리 모두 폐사하였다. 또한 pH 측정 결과 SPSS의 급결과 완결 모두 시공 후 수질기준인 pH 8.5 이하인 pH 8.2, 8.29의 결과가 나타난 반면 SGR 주입재의 경우 최대 pH 10.04, 11.15로 기준치보다 약 2~3정도 높게 나타났다. 어독성시험 및 pH 측정 결과는 Table 10과 Fig. 9에 표와 그림으로 나타내었다.
Table 10.
Result of toxicity test
4.6 용탈시험
용탈시험은 그라우트 용탈물질인 Na2O의 시간 경과에 따른 용탈양을 측정하여 용탈현상의 발생을 직접적으로 확인하기 위한 시험으로 SPSS와 SGR 주입재의 X선을 조사해 2차적으로 발생하는 X선(형광 X선)을 이용해서 원소의 정성 ․ 정량 분석을 하는 방법이다. 또한 용탈현상은 용액 중의 녹아 있는 물질이 조금씩 용매로 이동하며 농도가 진한 곳에서 옅은 곳으로 이동되기 때문에 발생하며 용탈현상이 발생할 경우 그라우트는 본래의 내구성 및 차수효과의 저하를 초래하게 된다. 이에 본 연구에서는 SPSS와 SGR 주입재를 대상으로 시간에 따른 용탈성분의 용출량을 측정하여 용탈현상에 따른 주입재의 내구성을 비교 ․ 분석하였다.
4.6.1 용탈시험 방법
본 시험은 수중양생 중 용출되는 그라우트의 용탈성분인 Na2O의 용출량을 측정하기 위해 SGR 주입재와 SPSS 시편을 수중양생 시켰으며, 재령 1시간과 재령 180일을 측정함으로서 시간 경과에 따른 용출량의 차이를 측정하였다. 시험 방법은 KS L 3316 시험법에 의거하여 실시하였다. 시료의 분석은 시료 전량을 분쇄하여 KS A 5101–1의 체 6.7mm를 통과한 후 2분기를 사용하거나 4분법에 의하여 약 100g이 될 때까지 축분하였으며, 그 전량은 KS A 5101–1의 체 300μm을 통과할 때까지 분쇄하며 시료를 4분법에 축분하여 약 10g으로 하였다. 이를 KS A 5101–1의 체 106μm를 모두 통과할 수 있도록 미분쇄하여, 청량병에 얇게 펼친 후(100±5)°C 공기중탕에서 2시간 이상 건조시키고 데시게이터 안에 넣어 식히고 보존하였다. 정량방법은 유리디스크 제작 용기를 사용해 용융제와 함께 가열 융해하여, 유리디스크를 제작하였다. 유리디스크를 형광 X-선 분석장치에 장착하고, X-선을 조사하여, 각 성분의 형광 X-선을 발생시킨다. X-선이 시편을 타격하면 형광을 나타내며 X-선을 다시 분석기로 보낸다. 이때 검출기가 에너지 스펙트럼을 측정하게 되고 주입재 성분의 종류와 양이 측정된다.
4.6.2 용탈시험 결과
용탈시험 결과 SPSS 급결의 경우 1시간에서 180일 경과 시 2.59gf에서 0.44gf로 2.15gf의 Na2O가 감소하였고 SPSS 완결의 경우 2.21gf에서 0.13gf로 2.08gf가 감소하였다. 이에 반해 SGR 주입재 급결의 경우는 SPSS의 약 4배 수준인 12.1gf에서 3.47gf로 8.6gf 정도가 감소하였고 완결의 경우 8.06gf에서 2.12gf로 6gf가 감소하였다. Fig. 10과 Table 11은 용탈시험 결과를 그림과 표로 보여주고 있다.
5. 결 론
본 연구에서는 기존 차수그라우팅 공법의 물유리계 재료 사용에 따른 환경성과 내구성 등의 문제를 인식하고 이를 보완한 용탈 저감 효과가 있는 SPSS을 개발하였다. 또한 실내시험을 통해 기존 차수그라우트인 SGR 주입재의 내구성과 투수성, 환경성을 비교·분석하였으며 그 내용을 요약 정리하면 다음과 같다.
1.내구성을 평가하기 위해 실시한 일축압축시험결과 SPSS의 일축압축강도는 급결의 경우 SGR 주입재 대비 약 10배 이상으로 나타났고 완결의 경우 약 2배 이상으로 나타났다. 또한 SPSS는 재령 경과에 따라 꾸준히 강도가 증가하는 반면 SGR 주입재의 경우 미미하게 강도가 증가하다가 재령 28일에서 감소하는 경향을 나타냈다. 따라서 SPSS는 보강 및 차수 그라우팅 공사 시에 차수효과와 더불어 지반보강의 효과도 기대할 수 있을 것으로 판단되며, 공사기간 또한 단축시킬 수 있을 것으로 판단된다. 또한 일축압축시험 결과를 미루어보아 SPSS는 차수 그라우트로서 활용성이 증대할 것으로 판단되고 관련분야의 적용성도 뛰어날 것으로 사료된다.
2.삼축투수시험 결과 SPSS 급결의 투수계수는 가장 낮게 나타났으며, 목표성능인 1.0×10-5cm/sec보다 약 11배 낮게 나타났다. 또한 SPSS 완결의 경우 6.52×10-6cm/sec로 비교적 낮은 투수계수를 보였다. 하지만 장기적인 투수시험과 용탈시험을 통해 SPSS 완결의 투수계수 감소에 대한 추가적인 연구가 필요할 것으로 사료된다. 또한 이러한 결과로 보아 SPSS는 차수 그라우팅 시공 후 내구성 확보에 유리하고, 차수 성능에 효과적일 것으로 판단된다.
3.SPSS의 pH는 8.4 이하의 비교적 낮은 수치를 보였다. 또한 공시어의 폐사율은 모든 조건에서 0%로 나타났다. 이를 통해 SPSS는 기존 차수그라우팅 공법 대비 용탈현상에 의한 환경성 저하 가능성이 낮은 것으로 사료되며, 최근 약액주입공법의 적용이 활발하게 이루어짐에 따라 환경성 문제가 대두되는 상황에서 SPSS는 환경적인 문제를 해결할 수 있는 약액주입공법으로 제시될 수 있다고 판단된다.
4.길이변화실험 결과 SPSS의 경우 습윤양생과 수중양생에서는 수축률이 0%에 수렴하는 경향을 보였다. 이에 반해 SGR공법의 경우 기건양생에서 28일 경과 후 측정불가 상태가 되었으며, 습윤양생과 수중양생은 6~10%의 높은 수축량을 보였다. 이는 SPSS가 용탈현상을 방지함에 따라 지하수 조건 및 수중에서 약액의 성능저하가 거의 없는 것으로 사료된다.
5.그라우트의 용탈성분인 Na2O의 용탈양 측정결과 수중양생 180일 경과 후 SPSS의 경우 SGR 주입재 대비 매우 적은 양이 용출되었다. 이는 SPSS의 Na이온 용탈저감 효과로 인해 용탈현상을 방지한 것으로 사료된다. 하지만 연구 결과를 통해 Na2O의 용탈시험만으로 그라우트 용탈과 내구성의 상관관계를 분석하기에는 미흡함으로 다양한 조건의 장기적인 용탈시험을 수행하는 등의 추가적인 연구가 필요할 것으로 사료된다.












