1. 서 론
2. 설계법과 해석법
2.1 설계법
2.2 해석법
3. 시공 단면을 활용한 설계법과 해석법 고찰
3.1 사례 단면
3.2 설계정수
3.3 벽체 경사에 따른 설계법 적용 결과
3.4 벽체 경사에 따른 해석법 적용 결과
3.5 고찰
4. 매개변수 연구
4.1 배면 상재하중의 영향
4.2 배면 토질의 영향
4.3 배면 점착력의 영향(인장균열)
4.4 흙막이벽 강도의 영향
4.5 흙막이벽 두께의 영향(휨강성)
5. 결 론
1. 서 론
경사 흙막이공법은 흙막이벽을 경사지게 시공 함으로써 굴착깊이 약 4m 이상에서도 지보공이 필요없는 자립식 흙막이공법이다(Fig. 1). 경사 자립식 흙막이공법으로는 쉬트파일을 경사로 시공하는 방법(Fig. 1(a)), 엄지말뚝과 토류판을 경사로 설치하는 방법(Fig. 1(b)), 연속식 중층혼합처리벽체를 경사로 시공하는 방법(Fig. 1(c))이 있다.
경사 자립식 흙막이공법은 지보공이 없기 때문에 중간말뚝이나 띠장 등이 필요없어 구조물 벽체의 품질이 크게 향상된다. 또한, 내부 굴착 및 구조물 구축속도가 빠르므로 공기단축 및 공사비를 절감할 수 있다. 일반 연직 자립식 흙막이벽 대비 굴착 시 발생되는 수평변위 역시 작다는 장점을 가지고 있다. 특히, 연속벽식 중층혼합처리공법(Fig. 1(c))의 경우 시멘트혼합처리토가 고화되기 전에 흙막이벽을 폐합할 수 있어 전체적으로 차수성이 높은 흙막이벽 구축이 가능하다는 추가 장점을 가지고 있다.
본 연구에서 대상으로 하는 시멘트혼합 방식의 경사 자립식 흙막이벽은 OO발전소 LNG 1호기 신설 공사 중 컬버트를 설치하는 배수로 공사(杉江茂彦, 2015)에 처음 적용된 이후 시공사례가 증가하고 있다.
경사 자립식 흙막이 공법과 관련되어 高橋真一, 嶋田洋一(2010)에 의해 경사 자립식 흙막이벽의 우수성이 원심모형 실험으로 검증되었지만, 이는 쉬트파일을 활용한 흙막이공법으로 시멘트혼합 방식에 적용하기에는 한계가 있다. Maeda et al.(2021)에 의해 직립, 쉬트파일 방식의 경사 흙막이벽, 시멘트혼합방식의 경사 흙막이벽에 대한 효과가 원심모형 실험으로 검증되었고, 관련 설계법과 수치해석 결과가 제시된 바 있다. 그러나, 제안된 설계법은 이론적 방법보다는 경험적 방법에 가깝다.
국내의 경우는 중층혼합처리공법을 이용한 경사 자립식 흙막이벽이 적용된 바 없어 관련 연구가 전무한 상황에 있다. 그러나, 최근 중층혼합처리공법을 이용한 직립식(연직 자립식) 흙막이(V-DCM) 사례가 증가함에 따라 추후 경사식 흙막이공에서의 적용이 예상되는 바 관련 설계법과 해석법에 대한 연구가 필요한 실정이다. 본 연구에서는 시멘트혼합 처리공법, 경사 옹벽 그리고 쉬트파일이나 엄지말뚝 방식에 대하여 제안된 기존 경사 자립식 흙막이공법에 대한 설계법과 해석법을 지반개량체 방식으로 실제 시공된 단면에 대하여 적용하여 분석하였고, 추후 시멘트혼합처리토를 활용한 경사 자립식 흙막이공법에 대한 설계 및 해석법으로 제시하였다.
2. 설계법과 해석법
2.1 설계법
지반개량체를 활용한 자립식 흙막이공법은 일반 흙막이공법과 같이 토압과 수압 등에 의한 외력에 대하여 전도, 활동, 원호활동, 지지력 등의 외적안정성과 압축, 전단, 휨 인장에 대한 내적안정성을 모두 확보하도록 설계해야 한다(CERC, 2004).
주요 외력으로 작용하는 토압을 구하는 방법으로는 Coulomb나 Rankine 등의 이론적 방법이나 정지토압을 이용하는 PARI법(CERC, 2004), 시행쐐기법(Kim et al., 2014) 등 여러 가지가 있으나, 그 중에서도 Rankine이론과 Coulomb이론이 통상적으로 사용되고 있다. Rankine이론은 벽면의 마찰이나 벽체의 경사 등을 고려 할 수 없다. 이에 Coulomb이론이 비교적 측정치에 가까운 값을 보여 일반적으로 권장되고 있다. 다만, 본 방법은 원래 점착력을 고려할 수 없지만, 원심모형 실험 등의 결과 등을 고려하여 실무에서는 Rankine의 점착력 항을 추가하여 적용하고 있다(Maeda et al., 2021). 아래 식 (1)은 점착력을 고려한 주동측압을 산정할 수 있는 식을 제시한 것이다.
여기서, Pa : 주동측압
Ø : 흙의 내부 마찰각(°)
δ : 벽면 마찰각(°)
α : 벽면과 연직면이 이루는 각(°)
β : 지표면이 수평면과 이루는 각(°)
∑γh : 계산점에서의 지반 총 토압
q : 상재하중
pw : 계산점에서의 간극수압
c : 계산점에서의 점착력
Ka : Coulomb의 주동토압 계수
지반굴착에 따른 흙막이벽의 안정성에 저항력으로 작용하는 수동토압은 주동토압과 동일하게 Coulomb이론을 적용 할 수 있다.
경사 자립식 흙막이벽에 Coulomb이론을 적용할 경우, 일반적인 직립식 옹벽이나 흙막이벽과 달리 벽체의 경사(Negative value)와 자중을 고려한다는 것이 가장 큰 차이점이면서 장점이 된다(Fig. 2). 예를 들면, 배면측 벽체 경사와 연직면이 이루는 각을 α=-10°로 함으로써 주동토압계수가 Ka=0.244(φ=30°)가 되어 직립(α=0°)으로 했을 경우의 주동토압계수 Ka=0.308보다 약 21% 작아진다.
또한, 자중이 큰 벽체에서는 흙막이벽을 배면측으로 경사지게 함으로써 굴착측으로의 흙막이벽의 변형을 억제하는 방향의 힘으로 작용하므로 이를 고려할 필요가 있다. 예를 들면, 배면측 벽체의 경사와 연직면이 이루는 각 α=-10°로 함으로써 흙막이벽 자중에 대한 수직방향 성분(=sin 10°=벽체 자중의 0.17배, δ=0)의 힘이 주동측압으로부터 공제되어 활동력이 그만큼 저감된다.
이상과 같은 외력을 적용하여 내적안정성과 외적안정성을 검토하는 방법은 다음의 Table 1~Table 2와 같이 요약된다.
기존 설계법의 경우 외력 산정시 적용토압에 대하여 사질토의 경우 Coulomb이론에 점착력을 고려한 방법을 적용하였고, 점성토의 경우 일본에서 제안된 측압계수를 적용하기도 한다(Maeda et al., 2021). 그러나, 사질토와 점성토가 교호하는 경우 적용토압에 대한 기준이 모호하다.
Table 1.
The evaluation method of internal stability
Table 2.
The evaluation method of external stability
본 연구에서는 경사 흙막이벽의 경사효과와 벽마찰각을 고려할 수 있는 Coulomb토압에 점착력을 고려한 실무적인 방법을 사질토와 점성토에 모두 적용하였고, 점착력에 따라 발생되는 인장균열 깊이를 고려하였다.
또한, 쉬트파일 방식이나 엄지말뚝 방식에서와 달리 두께가 있는 시멘트혼합 방식의 경우 지지력에 대한 검토가 요구된다. 이에 지반반력은 흙막이벽을 강체로 간주하여 벽체 중심으로부터의 편심거리에 따라 사다리꼴분포나 삼각형분포를 적용할 수 있다(Fig. 3의 Case 1). 그러나, 본 방법은 편심거리가 중심으로부터 굴착측에 위치하는 경우에 적용한다(굴착측으로의 전도). 경사 자립식 흙막이벽의 경우 배면으로 기울어져 벽체의 자중이 배면측으로 작용하고(배면측으로의 전도), 배면에서의 지반반력이 발생하므로 이를 고려할 수 있는 방법이 요구된다(Fig. 3 참조). 이에 경사옹벽(기대기옹벽, 부축식옹벽)과 같이 지반계수법을 적용하여 배면에서의 지반반력을 고려해야 한다(Fig. 3의 Case 2; Ushiro, 1998).
지반계수법의 경우 수평방향 지반반력, 연직방향의 지반반력, 벽체의 지반반력을 식 (2)와 같이 산정할 수 있다(Ushiro, 1998; Fig. 4 참조). 상세한 내용은 참고문헌으로 대체한다.
여기서, kS : 저면의 전단 지반반력계수
kV:연직 지반반력계수
kt:벽면의 수직 지반반력계수
qH:수평방향 지반반력
qV:연직방향 지반반력
qt:수직방향 지반반력
2.2 해석법
일반적으로 흙막이벽의 해석으로는 탄소성보 해석법과 유한요소 해석법을 적용할 수 있다. 탄소성보 해석법의 경우 흙막이벽을 탄성보, 배면의 지반을 탄소성체로 간주하여 해석한다. 일반적인 흙막이벽 설계 시 활용하기 쉽고 적용성이 검증된 방법이다. 그러나, 국내에서 일반적으로 활용되는 GeoXD나 Sunex의 경우 경사 자립식 벽체에 대한 해석 툴(Tool)을 제공하지 않는다. 또한, 해석결과는 수평변위, 휨모멘트, 전단력 등 내적안정성 검토만을 수행하게 되므로 시멘트혼합처리 방식의 흙막이벽이나 일반적인 옹벽과 같은 외적안정성(활동, 지지력, 원호활동) 등을 평가할 수는 없다. 다만, 모멘트비로 평가되는 근입장 안전율로 전도 안정성은 평가할 수 있다.
일반적인 쉬트파일이나 엄지말뚝 흙막이벽과는 달리 시멘트혼합 벽체의 경우의 경우 탄소성체에 근접한 거동을 나타낸다(Kim et al., 2018). 따라서, 탄소성체로써의 해석이 요구되는데, 벽체를 탄소성체로 해석할 수 있는 방법은 유한요소 해석법이다.
일반적인 유한요소해석 프로그램으로 일정 두께를 갖는 탄소성체를 구현하기 위해서는 하나의 지층으로 고려해야 한다. 이는 탄성체 Plate 또는 Beam 요소를 사용해서 얻을 수 있는 내력(압축력, 전단력, 휨모멘트 등)을 쉽게 계산할 수 없는 문제가 발생하기도 한다. 이에 벽체에서 발생되는 연직응력, 전단응력과 인장응력을 활용하여 평가해야 한다.
유한요소해석을 통해 흙막이 벽체의 내적안정성을 평가할 수 있다. 먼저, 개량체의 압축응력에 대한 안정성은 크게 두 가지 방법으로 평가할 수 있다. 첫 번째는 개량체의 최대 지반반력을 이용한 방법(Fs1=q uck/p max ≥ 2.0), 두 번째는 개량체 내부에 발생하는 축차응력의 최대치((σ1-σ3)max ))를 이용한 방법이다(Fs2=q uck/(σ1-σ3)max ≥ 2.0). 다음으로 전단응력은 최대 전단응력(σ1-σ3)/2, 인장응력은 최소 주응력(σ3)의 값을 이용한다.
또한, 일반적인 GeoXD나 Sunex와 같은 탄소성 해석에서 제공되는 근입장 안전율과 유사하게 강도감소법을 활용한 구조물과 지반을 포함한 전체에 대한 전단파괴 안정성을 평가할 수 있다.
3. 시공 단면을 활용한 설계법과 해석법 고찰
3.1 사례 단면
본 연구에서는 杉江茂彦(2015)에 의해 제시된 실제 시공 단면과 시공 후 실험 결과, 지반정수 등을 활용하였다.
Fig. 5(a)는 설계 및 시공 단면으로 지반은 표준관입시험 N값 2~3 정도의 점성토로 구성되어 있고, 점착력 20kN/m2 이하로 연약했다. 흙막이벽은 두께 1.0m, 경사 10°, 벽체 길이 8.0m로 시공되었고, 전면을 4.0m 굴착하였다.
Fig. 5(b)는 본 연구에서 수행된 유한요소 해석단면을 제시한 것이다. 해석 프로그램은 PLAXIS V.20이고, 해석 메쉬는 굴착부의 중앙을 대칭축으로 굴착 영역의 절반을 모델링하였다. 개량체, 지반 모두 15절점 3각형 요소를 적용하였고, 해석 영역은 개량체 침하와 변위가 좌/우 경계조건에 영향을 받지 않을 정도로 넓게 적용하였다. 경계조건의 경우 측방경계는 수평방향을 고정, 연직방향을 자유롭게 하고(Roller), 하방경계는 수평, 연직방향 모두 고정(Hinge)으로 하였다. 상재하중을 고려하고자 수치해석 시 선하중(Line load) 10kN/m2을 적용하였다.
3.2 설계정수
3.2.1 설계 지반정수
본 연구의 설계 및 해석에 적용된 관련 지반정수는 Table 3과 같다. 연약 점성토의 경우 삼축압축시험으로부터 단위중량과 전단정수가 산정되었고, 변형계수에 대해서는 N값이나 공내 수평재하시험 결과가 활용되었다(杉江茂彦, 2015). 모든 지반은 탄소성체인 Mohr-Columb 구성모델을 적용하였다.
Table 3.
Design soil parameters (杉江茂彦, 2015)
3.2.2 흙막이벽(개량체) 정수
경사 자립식 지반개량체의 정수값에 대해서는 현장 채취 코어 시료의 재령 28일의 일축압축강도 및 할렬 인장강도시험으로 평가되었다. 특히, 변형계수 E50은 280×qu가 적용되었다(杉江茂彦, 2015). Table 4에 흙막이 벽체 관련 특성값을 제시하였다. 배면 및 굴착저면 지반과 동일하게 벽체는 탄소성체인 Mohr-Columb 구성모델을 적용하였다.
Table 4.
Design wall parameters (杉江茂彦, 2015)
3.3 벽체 경사에 따른 설계법 적용 결과
3.3.1 외적안정성
전 장에서 제시된 단면과 설계법에 대한 적용 결과를 Fig. 6에 제시하였다. 벽체의 경사가 완만할수록(경사각이 증가하는 방향) 주동토압이 감소하고 수동토압이 증가하므로 활동, 전도 및 지지력의 안전율이 증가하는 것으로 나타났다. 실제 안전하게 시공완료된 경사 10°에서 활동, 전도, 지지력의 안정성이 확보되는 것으로 평가되었다. 특히, 지반지지력의 경우 배면으로의 경사로 인해 발생되는 배면의 반력효과를 고려함으로써 지반지지력의 향상에 기여하는 것으로 나타났다.
이상과 같은 결과를 벽체의 경사에 따라 정량적으로 비교하여 Table 5에 제시하였다. 벽체 경사에 비례하여 외적안전성이 증가하였고, 설계 지배인자는 지지력인 것으로 나타났다.
Table 5.
The variability of external stability with wall angle in design method
3.3.2 내적안정성
전 장에서 제시된 설계법을 적용한 내적안정성에 대한 검토 결과는 Fig. 7과 같다. 벽체의 경사가 완만할수록 주동토압이 작아지고 수동토압이 커지므로 개량체에 작용하는 압축응력, 전단응력 및 인장응력이 감소하는 것으로 나타났다. 모든 경사 조건에서 흙막이벽의 내적안정성은 확보되는 것으로 평가되었다. 벽체의 경사각 10° 이상에서는 압축력이 크게 감소하지 않는 것으로 평가되었다.
이상과 같은 결과를 벽체의 경사에 따라 정량적으로 비교하여 Table 6에 제시하였다. 외적안정성과 동일하게 벽체의 경사가 완만해질수록 발생응력이 감소하여 안정성이 향상되는 것으로 나타났다.
Table 6.
The variability of internal stability with wall angle in design method
3.4 벽체 경사에 따른 해석법 적용 결과
3.4.1 수평변위
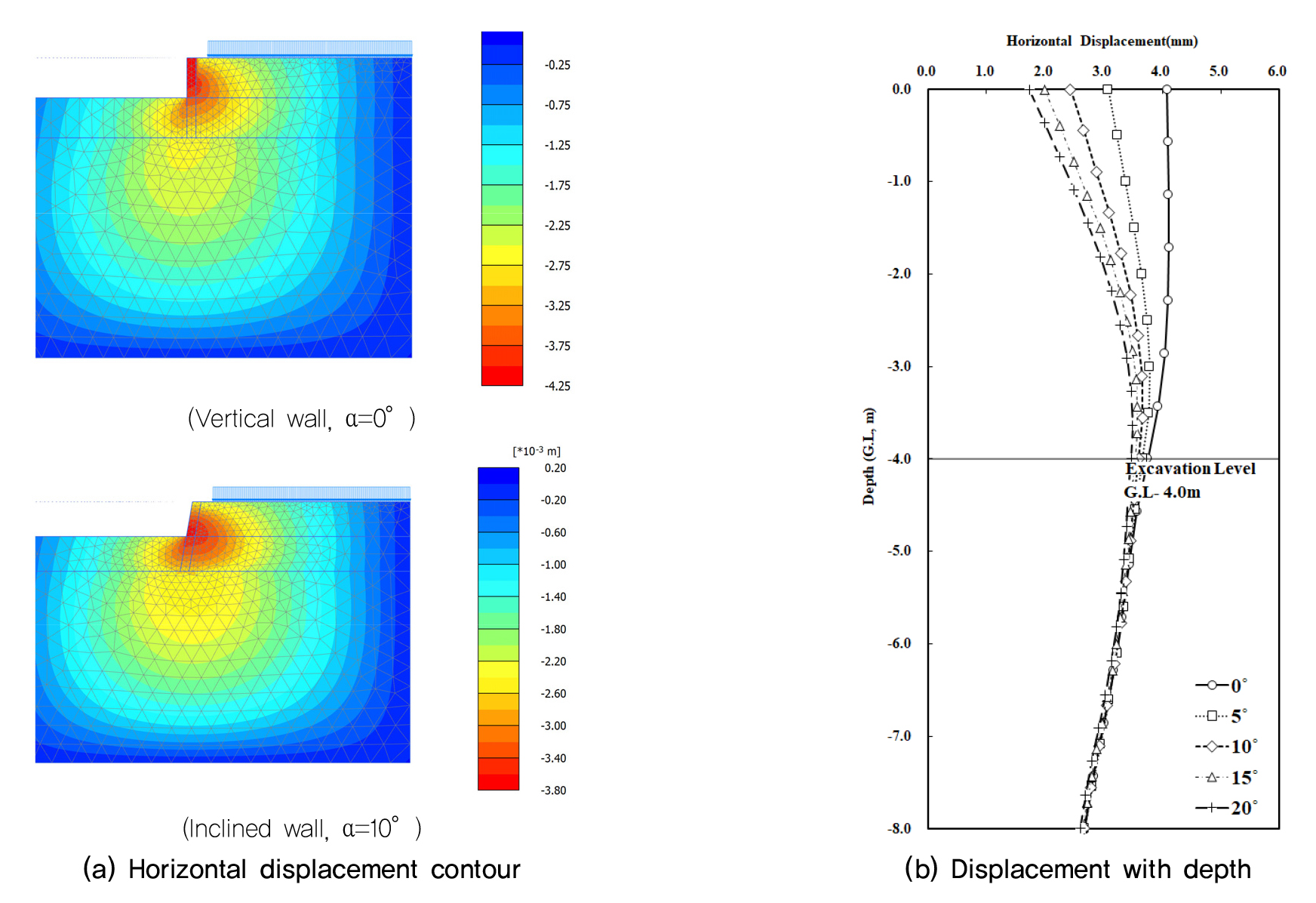
수치해석 시 흙막이벽(개량체)은 자립식 벽체이므로 원지반에 시공한 후 별도의 지보재 없이 내부 토사를 1회에 모두 굴착한 후 배면에 하중을 재하하는 조건으로 해석하였다. 해석 결과 중 수평변위를 Fig. 8에 제시하였다.
Fig. 8(a)에 제시한 바와 같이 굴착에 의한 편토압으로 벽체에 수평력이 작용하게 되고 배면의 하중으로 인해 지반이 침하되면서 벽체는 굴착측으로 변형되는 경향을 보이고 있다. 배면 지반 연직변위의 경우 개량체와 인접한 위치 즉, 굴착측에 인접할수록 집중되어 발생하였다.
흙막이벽의 변형양상을 분석하고자 최대 변위가 발생한 하중 재하 단계의 굴착측과 배면 경계부에 위치한 흙막이 벽체에서의 심도별 수평변위를 측정하였다(Fig. 8(b)). 흙막이벽 상단과 근입부 부근에서 수평변위가 크게 발생하였지만, 심도별 수평변위의 정량적 차이가 크지 않으므로 개량체와 지반이 함께 이동하는 활동(미끄러짐) 형태의 거동을 보이는 것으로 나타났다. 또한, 개량체의 경사가 완만할수록 수평변위는 감소하였고, 경사 10° 이상인 경우 근입부 부근에서 최대 수평변위가 발생하였다.
이상의 결과로부터 흙막이벽의 경사에 따라 굴착측으로의 전도파괴에서 활동파괴로의 파괴 형태 변화가 발생되고, 최적의 경사는 10°인 것을 알 수 있었다.
3.4.2 외적안정성
유한요소법을 이용하여 굴착 시 외적안정성을 평가할 수 있는 방법은 강도감소법을 활용한 흙막이 벽체를 포함한 전체의 전단파괴 안정성이다. 이를 위해 각 단면별 해석을 수행하였고, 그 결과를 Fig. 9에 제시하였다. 그림에 제시된 바와 같이 벽체의 경사에 따른 안정성 변화는 크지 않은 것으로 평가되었다. 그림에는 SLOPE/W를 이용한 한계평형해석 결과도 함께 제시하였다(Fig. 9(f)). 강도감소법과는 달리 경사에 따른 안정성 증가는 비례하였다. 그림으로부터 원호활동 안정성은 한계평형해석이 보수적인 결과를 도출하므로 추후 설계 시 본 방법으로 검토해야 하는 것으로 나타났다.
3.4.3 내적안정성
흙막이 벽체의 경사별 압축응력에 대한 안정성 해석 결과를 Fig. 10에 제시하였다. 해석결과 흙막이 벽체의 최대 지반반력은 158.6kPa, 흙막이 벽체 내부에 발생하는 축차응력의 최대값은 182.0kPa으로 흙막이 벽체의 허용 압축강도(σca=quck/2.0) 1,019.5kPa미만으로 나타났으며, 개량체는 압축파괴에 대한 안정성을 확보하는 것으로 평가되었다.
특히, 흙막이 벽체의 경사가 10°일 때 지반반력과 축차응력이 가장 크게 감소하여 개량체의 압축파괴에 대한 안정성 증가에 가장 효과적인 경사각인 것으로 나타났다. 즉, 본 시공 사례 단면의 경우 경사 10°가 적정했음을 나타내는 것으로 판단된다.
지반굴착 시에는 흙막이 벽체에 작용하는 수평력(전단응력)에 의하여 전단파괴가 발생할 우려가 있다. 유한요소해석을 통하여 벽체의 전단응력에 대한 안정성을 평가하였으며, 벽체에서 발생한 최대 전단응력과 허용 전단강도를 비교하여 안정성을 평가하였다. 이때, 전단면은 굴착 저면부임을 고려하여 해당 위치에서의 최대 전단응력을 도출하여 검토하였다. 검토 결과, 전단면에서의 최대 전단응력은 65.53kPa으로 개량체의 허용 전단강도(τca) 509.75kPa 미만으로 나타났으며, 흙막이 벽체는 전단파괴에 대한 안정성을 확보하는 것으로 평가되었다.
특히, 압축응력과 동일하게 경사가 10°일 때 전단응력이 가장 크게 감소하여 개량체의 전단파괴에 대한 안정성 증가에 가장 효과적인 것으로 평가되었다(Fig. 11).
흙막이 벽체에 수평력이 작용하면, 근입부가 고정된 상태에서 전도파괴 되는 경향으로 인해 휨 인장이 발생하여 흙막이 벽체의 인장파괴가 발생한다. 이를 해석결과로부터 확인하였다(Fig. 12). 일반적으로 흙막이 벽체의 휨 인장파괴는 전단면인 굴착 저면부에서 발생하는데, 수치해석 결과 굴착 저면부에서의 휨 인장응력은 0.0kPa으로 발생하지 않는 것으로 나타났다(Fig. 12(a)). 정량적 기준으로 비교하면, 개량체의 허용 인장강도(σta) 270kPa 미만으로 나타나 개량체는 휨 인장파괴에 대한 안정성을 확보하는 것으로 검토되었다. 다만, 휨 인장응력이 발생하지 않는 것은 개량체의 파괴형태가 전도보다는 수평이동에 가까운 형태를 보이기 때문이다.
3.5 고찰
본 연구에서는 흙막이 벽체의 경사별 효과를 평가하기 위하여 설계법을 활용한 계산 결과와 유한요소 수치해석 결과를 비교하였다(Fig. 13). 설계법의 경우 흙막이 벽체의 경사가 완만할수록 주동토압계수가 감소하고, 수동토압계수와 자중모멘트가 증가하여 외적안정 및 내적안정성이 증가하였으나, 지반반력과 개량체의 압축응력은 개량체의 경사보다 편심의 위치에 영향을 크게 받는 것으로 나타났다(직립조건에서는 굴착측으로의 편심, 경사조건에서는 배면측으로의 편심).
흙막이 벽체를 탄소성체로 간주한 유한요소해석 결과, 굴착에 의하여 벽체에 수평력이 작용하게 되지만, 배면의 하중으로 인해 지반이 침하되면서 벽체는 굴착측으로 수평이동하는 양상을 보였다. 개량체의 경사가 완만할수록 수평변위는 감소하였다. 또한, 흙막이 벽체의 심도별 수평변위 차이가 크지 않으므로 개량체와 지반이 함께 이동하는 수평활동(미끄러짐) 형태의 거동을 보였다. 다만, 본 사례와 달리 상재하중이 크고 근입부의 지반이 수평이동을 방지할 정도의 강성을 갖는 경우는 전도파괴 가능성이 높고 위와 다른 결과가 도출될 수 있음을 주의해야 한다. 이는 전도파괴를 전제로한 설계법에서의 인장응력이 수치해석보다 크게 산정된 결과로부터 예상 할 수 있다.
수치해석 결과로부터 흙막이 벽체의 경사가 완만할수록 전단파괴에 대한 안정성 증가에 효과적인 것으로 나타났고, 특히 흙막이 벽체의 경사가 10°일 때 지반반력, 축차응력, 전단응력 등이 가장 크게 감소하여 개량체의 파괴에 대한 안정성 증가에 효과적인 것으로 평가되었다.
설계법과 수치해석을 분석한 결과 개량체의 경사가 완만할수록 주동토압이 감소하고 수동토압과 자중모멘트(저항력)가 증가하여 외적안정성과 내적안정성이 증가하였고, 흙막이 벽체의 경사가 10°를 초과하면 개량체의 지반반력과 축차응력이 증가하여 압축파괴에 대한 안정성이 저하되므로 개량체의 경사가 10°일 때, 외적 및 내적안정성 증가에 가장 효과적인 것으로 판단된다.
4. 매개변수 연구
4.1 배면 상재하중의 영향
흙막이 배면의 경우 공사 중 안정성 등을 위해 상재하중이 제한되는 것이 일반적이다. 그러나, 본 연구를 수행하는 과정에서 상재하중이 토압계수를 비례상수로 하여 흙막이벽의 외력에 크게 영향을 끼친다는 사실을 확인했다. 이에 본 절에서는 배면 상재하중에 따른 흙막이벽의 안정성을 분석하였다.
Fig. 14에 제시한 바와 같이 활동, 전도, 전단, 인장응력에 대한 안정성은 모든 경사에서 배면 상재하중에 비례하지만, 지지력과 압축응력의 경우 상재하중이 작은 조건에서(약 20kPa 이하) 경사 10° 이상에서는 안정성이 크게 증가하지 않음을 확인하였다.
4.2 배면 토질의 영향
흙막이벽의 배면 및 굴착저면 하부 등이 순수한 모래(φ soil)나 점토(c soil)로 구성되는 경우는 드물다. 일반적으로는 모래나 점토가 호층을 이루거나 점착력이 있는 사질토나 마찰특성이 있는 점성토 등으로 구성된다. 이에 본 절에서는 흙막이 배면의 토질 특성에 따른 경사 자립식 흙막이벽의 특징을 분석하였다.
Fig. 15에서 대부분의 토질 조건에서 경사가 증가할수록 외적안정성이나 내적안정성은 증가하는 것으로 나타났다. 다만, 점착력이 있는 경우 인장균열이 깊어 무지보 자립고가 증가하면서 전단응력과 인장응력이 발생하지 않는 경우가 발생하였다(Fig. 15(c), (f)). 또한, C-soil의 경우 벽체의 경사가 증가하면서 토압계수가 미미하지만 증가하는 효과로 인해 안정성은 다소 감소하는 것으로 나타났고, 활동과 전도에 대한 안정성도 감소할 수 있는 것으로 나타났다. 이상의 결과로부터 점착력이 있는 경우 인장균열에 의해 설계법의 적용에 주의가 필요함을 알 수 있었다.
4.3 배면 점착력의 영향(인장균열)
전 절에서 점착력이 있는 경우 특정 경사 이상에서 외적안정성과 내적안정성이 증가하지 않는 등의 결과가 도출된 바, 인장균열 고려 유・무에 따른 검토를 실시하였다. Coulomb의 토압이론은 배면의 점착력을 고려하지 않지만, 점착력을 고려하지 않는 경우 옹벽이나 흙막이벽에 작용하는 활동력이 과대, 저항력이 과소 평가되어 너무 과도한 설계 결과를 도출한다. 이에 실무적으로는 Rankine의 점착력 효과를 Coulomb 토압에 적용한다(Maeda et al., 2021). 이에 대한 타당성 즉, 점착력의 고려 유・무에 따른 설계 결과를 분석하였다(Fig. 16).
Fig. 17에 나타난 바와 같이 점토 지반에서 흙막이벽의 경사에 의해 점착력에 의한 무지보 자립고가 증가하는 효과도 있기 때문에 점착력의 크기가 흙막이 벽의 안정성에 미치는 영향이 크다. 따라서, 점착력 고려 유・무에 따라 외적안정성과 내적안정성에 큰 차이가 있으므로 설계 시 이를 고려할 필요가 있음을 확인하였다. 다만, 수치해석과 유사한 결과는 점착력을 고려한 경우임을 참고할 필요가 있다.
4.4 흙막이벽 강도의 영향
지반개량 방식의 흙막이 벽체의 경우 사용 시멘트량 등에 따라 강도와 강성의 조절이 가능하므로, 이를 고려하면 경제적인 설계가 가능하다. 단, 이는 내적안정성 관련 항목(흙막이 벽체의 압축파괴, 전단파괴, 휨파괴)이 설계 지배인자일 경우에 해당한다.
본 절에서는 흙막이벽의 강도에 대한 영향을 평가하였다. 외적안정성은 벽체의 강도와 무관하므로 Fig. 17에는 내적안정성만을 제시하였다. 전단과 인장에 대한 안정성은 벽체의 경사에 비례하지만, 압축파괴에 대한 안정성은 경사각 10° 까지 크게 증가하다가 그 이상이 되면 증가 효과가 미미해 졌다.
4.5 흙막이벽 두께의 영향(휨강성)
흙막이벽의 강도와 함께 연속벽 방식의 경우 사용 장비나 시공 회수 등에 따라 벽체의 두께 조절이 가능하고, 이를 고려하면 경제적인 설계가 가능하다. 흙막이 벽체의 두께가 증가하면 단면2차모멘트(I)는 두께의 세제곱에 비례하기 때문에 휨강성(EI) 증대효과가 크다. 본 절에서는 흙막이벽의 두께 변화에 따른 강성에 대한 영향을 평가하고자 하였다.
Fig. 18에 제시한 바와 같이 지지력과 압축응력의 경우 벽체의 두께나 경사각에 따라 약 10° 이상에서는 수렴하는 경향을 보였다. 이는 토압 감소효과보다는 벽체 중량의 증가에 따른 활동력의 증가가 더 커지기 때문이다. 그러나, 활동, 전도, 전단, 인장에 대한 안정성은 벽체의 경사나 두께에 비례하여 크게 증가하는 것으로 분석되었다.
5. 결 론
시멘트혼합처리 벽체를 활용한 경사 자립식 흙막이공법의 적용이 확대될 것으로 예상되는 바 관련 설계법과 해석법에 대한 연구를 수행하였다. 본 연구에서는 심층혼합처리공법의 직립식 흙막이공법 그리고 경사 옹벽이나 쉬트파일공법에 대하여 제안된 설계법과 해석법을 지반개량체 방식으로 실제 시공된 단면에 대하여 적용하고 분석하였고, 다음과 같은 결과를 도출하였다.
1. 자립식 흙막이 벽체의 경사를 고려할 경우, 주동토압계수가 감소하여 외력으로 작용하는 주동측압이 감소함에 따라 전도나 활동과 같은 외적안정성이 증가하였다. 또한, 배면측으로 경사에 따른 자중 효과를 고려할 경우 주동측압이 추가 감소함을 알 수 있었다.
2. 시멘트혼합 방식의 경우 일반적인 쉬트파일이나 엄지말뚝 방식의 흙막이벽과는 달리 상당한 두께를 가지고 있어 자중을 고려할 수 있고, 탄소성체에 근접한 거동을 보이므로 유한요소 해석법이 수행되어야 함을 확인하였다.
3. 설계법과 수치해석법의 결과를 분석한 결과, 흙막이 벽체의 경사가 10°를 초과하면 개량체의 지반반력과 축차응력이 증가하여 압축파괴에 대한 안정성이 수렴되므로 개량체의 경사가 10°일 때, 시공성, 외적 및 내적안정성 측면에서 가장 효과적인 것으로 판단된다.
4. 설계법을 적용한 매개변수 연구 결과, 모든 배면 상재하중에서 활동, 전도, 전단, 인장응력의 경우 벽체의 경사에 비례하여 안정성이 증가하지만, 지지력과 압축응력의 경우 상재하중이 작은 경우(약 20kPa 이하) 경사 10° 이상에서는 안정성이 크게 증가하지 않았다. 점착력 고려 유・무에 따라 외적안정성과 내적안정성에 큰 차이가 있었고, 점착력이 있는 경우 인장균열이 깊어 무지보 자립고가 증가하면서 전단응력과 인장응력이 발생하지 않는 경우가 발생하였다. 따라서 인장균열에 대한 주의가 필요하고, 수치해석과 유사한 결과는 점착력을 고려한 경우임을 알 수 있었다.
다만, 본 연구는 주로 이론적 계산과 수치해석 결과를 활용하였으므로 향후 실제 현장에서의 거동에 관한 연구가 추가로 수행될 필요가 있다.




















