1. 서 론
2. 스트레인게이지를 부착한 토목섬유의 광폭인장강도시험
2.1 토목섬유 시료
2.2 토목섬유 종류별 스트레인게이지 부착방법
2.3 시험방법 및 종류
3. 시험결과 및 고찰
3.1 토목섬유 시료의 인장특성
3.2 스트레인게이지 실측값의 신뢰성 분석
3.2.1 지오그리드 시료
3.2.2 직포 시료
3.2.3 부직포 시료
4. 결 론
1. 서 론
토목섬유(geosynthetics)는 폴리프로필렌(polypropylene), 폴리에스테르(polyester), 폴리에틸렌(polyethylene) 등의 고분자 합성섬유를 직조하거나 제조하여 형성된 토목재료로서, 각종 토목구조물에 보강, 배수, 필터, 분리, 침식방지 등의 용도로 사용되고 있으며, 특히 1979년에 지오그리드(geogrid) 제품이 개발된 이래 보강토옹벽이나 사면/지반 보강 등을 위한 보강용도로서의 적용이 활발하다. 일반적으로 토목섬유 보강재로는 인장특성이 우수한 격자 형태의 지오그리드와 평면 형태의 직포(woven geotextile)가 사용되며, 세립분이 많고 함수비가 높은 흙으로 보강토체를 구성하는 경우나 모형실험을 하는 경우에 부직포(nonwoven geotextile)가 사용되기도 한다.
일반적으로 토목섬유 보강재를 사용한 토목구조물의 안정성 해석을 위하여 실내 모형실험이나 현장에 적용된 토목섬유에 스트레인게이지(strain gauge)를 부착하여 토목섬유의 인장변형을 측정하는 방법을 많이 사용하고 있다(Won et al., 2007, Cho et al., 2006, Yoo et al., 2006, Kim & Won, 2001). 그러나, 토목섬유의 제조방법과 강성도 및 스트레인게이지 부착방법 등에 따라, 측정된 인장변형률 값이 실제 유발된 변형률과 다르게 나타날 수 있다.
토목섬유 종류별로 스트레인게이지를 부착하는 방법으로, Koerner(1996)와 Boyle(1995) 등은 강성이 큰 지오그리드와 직포의 경우에는 전용 순간접착제를 이용하여 측정 위치에 스트레인게이지를 부착하는 것이 가능한 것으로 발표하였으며, Sluimer & Risseeuw(1982)와 Leshchinsky & Fowler(1990) 등은 실리콘을 사용하여 스트레인게이지를 직포에 부착하는 방법을 제안하였고, Huang(1998)은 게이지 시멘트를 사용하여 부직포에 스트레인게이지를 부착하는 방법을 제안하였다.
Kim & Won(2001)과 Won et al.(2007)은 연성이 좋은 클로로프렌 접착제를 매개체로 하여 스트레인게이지를 부직포에 간접적으로 부착하는 방법을 제안하고, 스트레인게이지를 부착한 광폭인장강도시험을 수행하여 시료 크기와 인장속도, 구속응력 등의 조건을 반영할 수 있는 스트레인게이지에 의한 인장변형률과 LVDT에 의해 측정된 인장변형률 사이의 상관관계식을 제시하였다. 또한, Lee et al.(2009)은 제조방법이 상이한 3종류의 지오그리드를 대상으로 순간접착제를 사용하여 스트레인게이지를 부착한 광폭인장강도시험을 수행하여 3% 이내의 인장변형률에서는 스트레인게이지에 의한 인장변형률의 신뢰도가 비교적 우수하다고 발표하였다.
본 연구에서는 현재 널리 사용되고 있는 토목섬유 종류별 스트레인게이지 부착방법에 따라 측정된 인장변형률 값의 신뢰성을 종합적으로 평가하기 위하여, 제조방법과 강성도, 인장변형이 서로 상이한 지오그리드와 직포, 부직포 등 3가지 형태의 토목섬유(인장강도와 시료방향 달리하여 총 24종)을 대상으로 스트레인게이지가 부착된 토목섬유에 대한 광폭인장강도시험을 수행하여 video exten-someter를 이용하여 측정된 인장변위로부터 산정한 인장변형률과 스트레인게이지에 의해 측정된 인장변형률을 비교, 분석하였다.
2. 스트레인게이지를 부착한 토목섬유의 광폭인장강도시험
2.1 토목섬유 시료
본 연구에서는 보강용도로 활용되고 있는 토목섬유 중에서 제조방법과 강성이 서로 상이한 3가지 형태의 토목섬유를 광폭인장강도시험 시료로 사용하였다. 강성이 작고 인장변형이 큰 부직포(150g/m2, 300g/m2, 600g/m2) 3종류와 강성은 작으나 인장변형이 작은 직포(50kN/m급, 300kN/m급, 600kN/m급) 3종류 및 강성이 크고 인장변형이 작은 지오그리드(150kN/m급, 200kN/m급) 2종류를 사용하였다. Table 1에서는 광폭인장강도시험에 사용한 토목섬유 시료의 종류 및 제조업체에서 제시한 제반 특성을 보여준다.
2.2 토목섬유 종류별 스트레인게이지 부착방법
일반적으로 토목섬유에 스트레인게이지를 부착하는 방법은 토목섬유의 강성도와 인장변형 및 표면상태 등을 고려하여 결정하는데, 본 연구에서는 다음과 같이 현재 널리 사용되고 있는 부착방법을 적용하였다. 강성이 크고 표면이 편평한 지오그리드 시료의 경우에는 깨끗하게 정리된 시료 표면의 접착력을 향상시키기 위해 사포(Sandpaper) 등을 이용하여 문지르고 이 부위에 직접 순간접착제를 바른 후 스트레인게이지를 부착하였으며, 인장변형은 작으나 표면이 울퉁불퉁한 직포 시료와 강성이 작고 인장변형이 크며 표면이 매끄럽지 않은 부직포 시료의 경우에는 시료 표면에 연성이 큰 고무접착제를 소량 바르고 경화시켜 스트레인게이지가 부착될 시료 표면을 편평하게 조성한 후에 순간접착제를 사용하여 스트레인게이지를 부착하였다.
실험에서는 스트레인게이지의 게이지계수(Gauge factor)에 의한 측정 데이터의 오차를 최소로 하기 위해 모든 토목섬유 시료에 동일한 스트레인게이지를 사용하였으며, 사용한 스트레인게이지는 Table 2에서 보여주듯이 길이 5mm의 소성게이지로 10만 strain까지 측정가능한 정밀도를 가지고 있다. 또한, Table 3과 Table 4에서는 각각 실험에 사용한 순간접착제와 고무접착제의 특성을 보여준다.
Table 2. Characteristics of strain gauges used in the test | |
Manufacturer | Tokyo Sokki Kenkyujo Co., Ltd. |
Gauge type | YFLA-5 |
Gauge length | 5 mm |
Gage factor | 2.10±2% |
Transverse sensitivity | 0.0% |
Resistance | 121±0.5Ω |
2.3 시험방법 및 종류
광폭인장강도시험은 최대 용량 300kN, 최대 폭 640mm, 인장속도 0.0005~750mm/min인 인장시험기를 사용하여 수행하였으며, 인장변위는 시험기에 설치된 Video extensometer를 이용하여 측정하였다(Fig. 1 참조). video extensometer를 이용한 방법은 측정된 인장변위값의 정밀도가 매우 높고 사용이 간편하여 최근들어 인장시험기에 많이 적용되고 있다. 본 실험에서는 모형실험이나 현장에서 실제 계측에 사용하고 있는 스트레인게이지로 측정한 인장변형률의 신뢰도를 파악하기 위해 Video exten-someter를 이용한 방법과 함께 토목섬유에 스트레인게이지를 부착하는 방법을 동시에 사용하여 인장변형률을 측정하였다.
Fig. 1에서 보여주듯이 인장시험기에 거치된 토목섬유 시료의 중앙부에 10cm 정도의 간격으로 측점을 표시한 후 Video extensometer를 이용하여 인장변위를 측정하고 이를 토대로 인장변형률을 산출하였으며, 동시에 시료의 반대편에는 중앙부에 스트레인게이지를 부착하여 인장변형률을 측정하였다. 또한, 토목섬유의 방향성에 따른 영향을 파악하기 위해 Fig. 2와 같이 토목섬유의 주방향 (Machine Direction, MD), 보조방향(Cross-Machine Direction, CD), 대각선방향(Diagonal-Machine Direction, DD)으로 각각 시료를 추출하여 광폭인장강도시험을 수행하였다. Table 5에서는 3가지 형태의 토목섬유 시료를 대상으로 수행한 광폭인장강도시험 내용을 보여준다. Table 5에서 양방향 직포(Bidirectional woven geotextile)는 보조방향이 없고 주방향이 2개이므로 MD-1, MD-2로 표현하였다.
3. 시험결과 및 고찰
3.1 토목섬유 시료의 인장특성
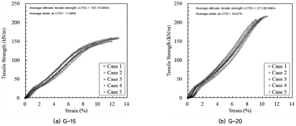
Table 6에서는 토목섬유 시료별로 시료채취방향(MD, CD, DD)에 따른 광폭인장강도시험 결과로써 평균 최대인장강도와 최대인장강도 발현시의 인장변형률의 평균값을 보여주고 있으며, Fig. 3과 Fig. 4, Fig. 5에서는 각각 대표적인 지오그리드 시료와 직포 시료, 부직포 시료의 주방향(MD)에 대한 인장-변형곡선을 보여준다. Table 6과 Fig. 3 ~Fig. 5에서 보듯이 지오그리드시료(G-15, G-20)와 직포시료(W-5, W-30, W-60)는 인장강도의 크기에 관계없이 최대인장강도가 발현되는 평균 인장변형률이 10~11% 정도로서 상대적으로 높은 탄성계수를 보여주는 반면에, 부직포시료(N-150, N-300, N-600)는 최대인장강도에서의 평균 인장변형률이 50%정도로서 매우 낮은 탄성계수를 보여줌을 알 수 있다. 또한, 시료채취방향에 따른 평균 인장변형률은 직포시료에서 MD와 CD는 11%정도를 나타내지만 DD에서는 이보다 큰 인장변형률을 나타내어 탄성계수가 작고, 부직포는 시료채취방향에 상관없이 모든 시료에서 매우 낮은 탄성계수를 나타낸다.
3.2 스트레인게이지 실측값의 신뢰성 분석
3.2.1 지오그리드 시료
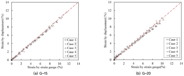
Fig. 6에서는 지오그리드 시료 2종류(G-15, G-20)에 대해 스트레인게이지를 부착하여 수행한 광폭인장강도시험 결과를 보여주는데, Video extensometer를 사용하여 측정된 인장변위로부터 산정한 인장변형률과 스트레인게이지에 의해 측정된 인장변형률이 거의 동일하게 나타남을 알 수 있다. 이는 지오그리드의 강성이 크고 표면이 편평한 토목섬유 표면에 직접 순간접착제를 사용하여 스트레인게이지를 부착하는 방법을 사용하기 때문에 지오그리드의 인장특성이 곧바로 스트레인게이지를 통해 발현되며, 또한 스트레인게이지 부착에 따른 편차가 거의 없기 때문인 것으로 판단된다.
3.2.2 직포 시료
Fig. 7~Fig. 9에서는 직포 시료 3종류(W-60, W-30, W-5)에 대해 스트레인게이지를 부착하여 수행한 광폭인장강도시험 결과를 보여주는데, 강성이 크고 표면이 편평한 지오그리드의 경우와는 다르게 MD 방향의 직포에서는 스트레인게이지에 의한 인장변형률이 Video extensometer를 사용한 인장변형률보다 작게 나타나는 경향을 나타내며, 20~30% 정도의 차이가 발생할 수 있음을 알 수 있다. 이러한 현상은 직포의 표면이 울투불퉁하여 고무접착제를 도포해서 표면을 편평하게 한 후에 순간접착제로 스트레인게이지를 부착시키는 방법을 사용하면서 연성이 큰 고무접착제를 사용하여도 직포 섬유에 고무접착제가 스며들어 굳으면서 직포의 인장특성이 탄성계수가 커지는 쪽으로 변화하기 때문으로 판단된다. 또한, 동일한 조건의 실험결과들이 편차가 크게 나타나는 것은 직포 표면을 편평하게 하기 위하여 사용되는 고무접착제의 양이 달라질 수 있고 작업자의 숙련도가 미흡하여 스트레인게이지가 직포에 완전히 부착되지 않거나 고무접착제의 연성 정도가 영향을 미치기 때문으로 판단된다. CD 방향의 직포의 경우도 MD 방향의 직포에서와 거의 유사한 결과를 얻을 수 있었다.
또한, DD 방향의 직포에서는 인장하중이 작용하는 초기에는 스트레인게이지에 의한 인장변형률이 Video exten-someter를 사용한 인장변형률보다 작게 나타나고, 인장하중이 증가함에 따라 역으로 크게 나타나는 경향을 보여주는데, 이는 대각선 방향의 시료를 인장하게 되면 시료의 뒤틀림현상 등이 발생해 일정한 경향을 보여주지 못하기 때문으로 판단된다. 따라서, MD 방향의 직포의 경우에는 고무접착제의 영향을 고려할 수 있는 상관관계식을 추출하여 인장응력을 산출하는 방법을 적용하는 것이 바람직할 것이며, DD 방향의 직포에서는 스트레인게이지에 의해 측정된 인장변형률값으로부터 인장응력을 산출하는 방법의 신뢰도가 그다지 높지 않으므로 이를 고려한 평가가 필요할 것으로 판단된다.
3.2.3 부직포 시료
Fig. 10~Fig. 12에서는 부직포 시료 3종류(N-150, N-300, N-600)에 대해 스트레인게이지를 부착하여 수행한 광폭인장강도시험 결과를 보여주는데, 지오그리드와 직포의 경우와는 다르게 시료 추출방향에 관계없이 스트레인게이지에 의한 인장변형률이 Video extensometer에 의한 인장변형률보다 확연히 작게 나타남을 알 수 있다. 또한, 이러한 현상은 동일한 부직포 시료에서 MD보다 DD의 인장변형률 차이가 크게 나타났으며, 부직포의 중량이 작을수록 이러한 차이는 크게 나타났다. 이렇게 스트레인게이지에 의한 인장변형률이 Video extensometer에 의한 인장변형률보다 작게 나타나는 이유는 강성이 약하고 신장성이 매우 큰 부직포의 경우에 시료의 표면을 편평하게 하기 위해 연성의 고무접착제를 사용하였으며, 이 고무접착제가 섬유에 스며들어 굳으면서 부직포의 탄성계수가 크게 발현되어 나타난 결과라 판단된다. 또한, 스트레인게이지를 부착하기 위해 사용한 순간접착제도 부착 면적은 작지만 부직포 시료의 강성을 높이는데 기여했을 것으로 판단된다.
|
Fig. 12. Comparison of strains measured by strain gauge and video extensometer (non-woven geotextile N-150) |
따라서, 지오그리드와 직포와는 달리 강성이 약한 부직포는 기존의 고무접착제를 사용하는 스트레인게이지 부착방법으로는 스트레인게이지에 의해 신뢰성있는 인장변형률 계측값을 기대하기 어려우므로 계측값에 대한 정량적인 분석보다는 정성적인 분석을 하는 것이 바람직하며, 이를 개선하기 위해서는 강성이 약한 부직포에 적합한 스트레인게이지의 새로운 부착방법이 개발되어야 할 것으로 사료된다.
4. 결 론
본 연구에서는 토목섬유 보강재에 부착한 스트레인게이지의 인장변형률 계측값의 신뢰성을 평가하기 위해 보강재로 사용되고 있는 지오그리드 2종류와 직포 3종류 및 부직포 3종류 등 총 8종류의 토목섬유를 대상으로 하여 시료 추출방향별(MD, CD, DD)로 스트레인게이지를 부착한 광폭인장강도시험을 다양하게 수행하였으며, 실험결과를 분석, 요약하면 다음과 같다.
(1)지오그리드에서는 표면에 직접 순간접착제를 사용하여 부착한 스트레인게이지에 의해 측정된 인장변형률이 Video extensometer를 사용하여 측정된 인장변위로부터 산정한 인장변형률과 거의 동일하게 나타나 스트레인게이지에 의한 계측값의 신뢰성이 매우 높음을 알 수 있다.
(2)MD와 CD 직포에서는 고무접착제의 영향으로 스트레인게이지에 의한 인장변형률이 Video extensometer를 사용한 인장변형률보다 작게 나타나는 경향을 나타내며, 20~30% 정도의 차이가 발생할 수 있음을 알 수 있다. 따라서, 고무접착제의 영향을 고려할 수 있는 상관관계식을 추출하여 인장응력을 산출하는 방법을 적용하는 것이 바람직할 것으로 판단된다.
(3)DD 직포에서는 시료의 대각선 방향으로 인장하게 되어 시료에 뒤틀림현상 등이 발생해 인장하중이 작용하는 초기에는 스트레인게이지에 의한 인장변형률이 Video extensometer를 사용한 인장변형률보다 작게 나타나고, 인장하중이 증가함에 따라 반대 현상이 나타나는 등 일정한 경향을 보여주지 못하므로 이를 고려한 평가가 필요할 것으로 판단된다.
(4)강성이 약하고 신장성이 매우 큰 부직포에서는 고무접착제의 영향으로 스트레인게이지에 의한 인장변형률이 Video extensometer에 의한 인장변형률보다 매우 작게 나타나고 중량이 작을수록, MD보다는 DD에서 보다 작게 나타난다. 따라서, 이러한 스트레인게이지 부착방법으로는 스트레인게이지에 의해 신뢰성 있는 인장변형률 계측값을 기대하기 어려우므로 계측값에 대한 정량적인 분석보다는 정성적인 분석을 하는 것이 바람직할 것이다.














