1. 서 론
2. 이론적 고찰
2.1 압밀도 및 시간계수
2.2 Cam-clay 모델
2.3 국내 아이소크론(Isochrone) 연구사례
3. 현장 시험시공 및 계측결과
3.1 지반특성
3.2 시험시공
3.3 계측결과
4. 설계예측 침하량 및 침하시간 분석
4.1 침하량 및 침하시간 검토 결과
4.2 1차원 압밀해석을 이용한 침하량 역해석
4.3 수치해석을 이용한 침하량 역해석
4.4 역해석에 의한 침하시간의 적정성 분석
5. 침하시간 결정을 위한 압밀도 분석
5.1 침하량에 의한 압밀도 분석결과
5.2 아이소크론 분석에 의한 압밀 중심축 및 배수형태 분석
5.3 간극수압에 의한 압밀도 분석결과
6. 현장 지반특성을 고려한 압밀도 및 시간계수 분석
6.1 침하량에 의한 평균 압밀도-시간계수 곡선
6.2 현장 지반특성을 고려한 압밀도-시간계수의 적정성 평가
7. 결 론
1. 서 론
국내 연약지반 설계는 연약지반에 작용하는 하중의 크기, 압밀층의 두께, 그리고 흙의 압축특성 등에 따라 발생하는 압밀침하가 공사기간 내에 발생되도록 설계하고 있지만 대부분의 현장에서는 설계시 예측한 침하량 및 침하기간이 실제 현장계측치와 상당한 차이를 보이므로 연약지반 개량이 완료되는 종료시기를 결정하는데 어려움을 겪고 있다. 이러한 문제는 연약지반 설계에서 일반적으로 사용되고 있는 1차원 압밀해석에서 침하시간을 결정할 때, 프로그램에 내장된 Terzaghi(1943)가 제안한 압밀도-시간계수를 대상지반의 압밀특성을 고려하지 않고 일률적으로 사용하는 등 다양한 원인 때문이다. 이를 위해 본 연구는 국내 연약지반 설계에서 일반적으로 사용되고 있는 Terzaghi 압밀이론에 의한 1차원 압밀해석과 계측치의 차이로 인해 발생하는 문제점을 보완하기 위해 시험시공을 통해 결정된 계측자료를 이용하여 다양한 해석기법을 통해 압밀도 및 시간계수 결정방법을 연구하였다.
본 연구와 관련된 점토의 압밀특성 연구는 준설토를 대상으로 Gibson et al.(1981)이 제안한 유한변형 압밀이론을 이용한 Lee et al.(1994)의 준설토의 침강 그리고 자중압밀에 대한 모형시험 결과와 준설토 지반의 압밀거동 연구가 있으며, Terzaghi의 선형 1차원 압밀이론과 Gibson의 비선형 압밀이론을 이용한 유한차분해석을 실시한 Yoo et al.(1995)의 연구는 각 압밀이론의 차이와 현장 적용성에 대하여 심도 있게 다루고 있다. 또한 Lee et al.(2019)은 Terzaghi 압밀이론에 의한 시간계수의 적용성을 검증하기 위해 압밀층에 작용하는 하중의 재하 폭, 압밀층 두께 그리고 배수조건을 변화시켜 수치해석을 이용한 아이소크론과 압밀도-시간계수 곡선을 결정하고, 압밀층 형태에 따른 압밀시간 결정방법을 제안하였다.
본 연구에 활용된 계측자료는 K-water(2016)에서 시행한 송산그린시티 서측지구 현장시험 및 계측자료이며 이 지역에서 실시한 지반조사보고서를 통하여 연약지반 분포특성과 연약지반의 지반특성을 파악하고, 현장에서 실제 발생된 성토고별 시간-침하량 계측자료를 확보하여 설계 예측 침하량 및 침하시간의 적정성을 평가하는 침하량 및 침하시간의 기준으로 활용하였다. 현장 지반특성을 고려한 압밀도-시간계수는 압밀도, 침하시간, 시간계수의 관계를 이용하여 결정할 수 있으므로 송산그린시티 현장에서 측정된 시간-침하량 곡선을 수치해석기법으로 역해석하여 현장과 동일한 압밀거동이 재현될 때의 시간-침하량과 시간-과잉간극수압 데이터를 산정하고, 각 침하시간에 대한 침하량과 과잉간극수압을 이용하여 침하량과 과잉간극수압에 의한 압밀도-시간계수를 산정하였다.
이러한 해석의 산정 결과는 압밀도-시간계수 곡선에 의한 침하시간을 1차원 압밀해석에서 산정된 최종침하량 결과와 조합하여 사용한다면 실제 현장의 압밀침하 특성을 재현할 수 있다. 따라서 본 연구 결과를 통해 연약지반 침하량 및 침하시간 예측의 정확도와 신뢰성을 높일 수 있으며, 연약지반 시공계획의 변경을 최소화할 수 있고 더불어 연약지반 개량공사 시행 및 적정한 종료시기에 대한 신뢰성이 향상되기 때문에 설계변경으로 인한 공사비 증가를 방지할 수 있을 것으로 기대된다.
2. 이론적 고찰
2.1 압밀도 및 시간계수
압밀도(Uz)는 압밀층에 하중(△P)이 작용하고 임의의 시간(t)이 경과한 후에 발생된 압밀의 정도를 나타낸 것으로 식 (1)과 같이 표현할 수 있다.
여기서, ue는 과잉간극수압, ui는 초기 과잉간극수압을 나타낸다.
Terzaghi(1943)는 압밀이론을 이용하여 시간계수(T)와 평균 압밀도()의 관계를 평균 압밀도 52.6%를 기준으로 식 (2)와 (3)과 같이 나타내었다.
그 후, Taylor(1948)는 시간계수와 압밀도의 관계를 평균 압밀도 60%를 기준으로 > 60%인 경우에는 Terzaghi가 제안식과 유사한 산정식을 제안하였지만 < 60%인 경우에는 압밀도 33.3%를 기준으로 식 (4)∼(6)을 제안하였다.
2.2 Cam-clay 모델
점토지반의 거동을 해석할 수 있는 구성방정식 중 하나인 Cam-clay 모델(Fig. 6)은 Fig. 1과 같이 배수 및 비배수 해석에 대해 적은 수의 매개변수를 이용하여 강도와 압축거동에 탄·소성 응력경화 모델을 적용하여 점토의 거동을 해석한다. 점토지반에 Cam-clay 모델을 적용하기 위해서는 첫 번째, 항복궤적이 등방압축 선에 집중된다는 가정에 반해 비등방 압밀된 점토는 근사적으로 Ko 압밀선에 집중하는 항복궤적이 존재하고, 두 번째, 항복궤적 내에서는 비등방 탄성거동이라기 보다는 등방탄성거동을 한다고 가정하며, 세 번째, 등방성 토질에 대해서는 적용이 가능하지만, 실제의 비등방 자연점토의 거동을 표현할 수 없는 관련 흐름법칙을 가정하여야 한다는 제한이 있다. 이와 같은 가정에도 Cam-clay 모델은 많은 나라에서 지속적으로 사용되고 있으며, 그 이유는 모델자체가 수학적으로 간단하고 적은 수의 지반정수를 이용하여 해석이 가능하기 때문이다.
2.3 국내 아이소크론(Isochrone) 연구사례
국내 아이소크론 연구로는 Lee et al.(2019)의 수치해석을 이용한 아이소크론 분석과 압밀시간 결정에 관한 연구가 있다. 이 논문은 연약지반의 압밀침하가 연약 점토층 상ㆍ하부에 분포하는 배수조건(경계조건), 점토층의 두께, 그리고 하중의 영향 등에 따라 간극수압 분포특성이 달라짐에도 불구하고, 국내 연약지반설계의 대부분은 점토층의 깊이에 따른 초기 간극비가 일정하다는 가정 하에 Terzaghi 1차원 압밀이론에 의해 제안된 아이소크론(Isochrone)을 이용하여 압밀침하에 소요되는 시간을 산정하고 있는 문제를 지적하고 있다. 또한 과거부터 최근까지 현장계측을 통한 과잉 간극수압 소산, 침하량, 침하기간에 대한 연구사례는 설계와 시공의 괴리에 의한 현장 문제점을 노출해야 하므로 많은 연구가 시행되지는 않았지만 Song et al.(1992)과 Lee and Lim(2002)의 현장계측사례를 통한 과잉간극수압 소산에 관한 연구를 진행하였다.
3. 현장 시험시공 및 계측결과
3.1 지반특성
송산그린시티 서측지구 시험시공 성토부지의 점토지반 특성을 파악하기 위해 시험 전 시추조사 2공, 시험 후 시추조사 2공을 실시한 결과 서측지구 연약지반은 지표면으로부터 1.2m 깊이까지 과압밀층이 분포하고, 1.2m~17.6m에는 퇴적층(ML, CL)이 분포하며, 그 하부에는 풍화토층이 분포하는 것으로 조사되었다. 시험시공을 위한 성토가 이루어지기 전에 원지반에 대한 표준관입시험(SPT)을 실시한 결과 지표면으로부터 7.0m 하부까지는 N≤6인 연약지반이 분포하고, 그 하부 점토층은 굳은 지반으로 확인되었으며, 시험시공을 위한 성토는 2개 지점으로 1개지점에 약 9.0m, 다른 1개지점에 약 6m를 실시하였다. 연약지반 심도에 따른 비배수 전단강도를 산정하기 위하여 점토시료의 일축압축강도시험 및 삼축압축시험(CU)을 수행하여 연약지반의 비배수전단강도를 산정하였다. 또한 연약지반의 압축 및 압밀특성을 파악하기 위해 압밀시험을 수행하였으며 그 결과, 선행압밀하중(Pc)은 성토 후인 상재하중에 의해 압밀침하가 발생한 이후에 증가하는 것으로 나타났으며, 그 증가량은 상재하중 즉 성토고가 높을수록 크게 나타났다(K-water, 2016).
3.2 시험시공
3.2.1 시험시공 현황
K-water에서 시행한 송산그린시티 서측지구 시험시공은 정량적인 연약지반의 침하거동을 분석하기 위하여 Table 1과 같이 성토높이를 1.5m, 3.0m, 6.0m, 9.0m로 차등하여 Fig. 2와 같은 단면으로 시험시공을 실시하였다.
Table 1.
Construction status in field test
3.2.2 계측기설치 현황
송산그린시티 서측지구 시험시공 현장은 연약지반에 시공된 성토높이에 따라 Ⅰ~Ⅴ구간으로 나누어져 있으며, 각각의 성토높이에 따른 연약지반 압밀특성을 파악하기 위해 Table 2와 같이 지표침하계 10개소, 간극수압계 12개소, 층별침하계는 과압밀점토와 정규압밀점토로 구분하여 각 1개소씩 5개 지점에 설치하였으며, 각각의 설치위치와 단면은 Fig. 3∼Fig. 5와 같다.
Table 2.
Instrument installation status
3.3 계측결과
3.3.1 지표침하판 계측결과
연약지반 위에 하중이 작용하는 경우에는 하중의 크기에 따라 연약지반의 침하가 발생하게 되며, 성토높이와 P.P Mat 설치여부에 따른 침하량의 변화를 관찰하기 위해 지표침하판에 대한 현장시험시공 결과를 Table 3에 나타내었다. 성토높이별 침하량 계측결과 성토높이가 높을수록 연약지반에 작용하는 압밀하중의 증가로 인해 침하량도 증가하는 경향을 보였으며 P.P Mat 설치 유무에 따른 침하량 차이는 미소하고 영향이 거의 없는 것으로 평가되었다. 또한 시간경과에 따른 침하량의 변화는 성토기간 중에 침하량이 급격히 증가하는 경향을 보였으며, 계측종료 시간인 88일 경과 후에는 침하가 거의 수렴하는 것으로 나타났다.
Table 3.
Survey result of ground subsidence gauge
3.3.2 층별침하계 계측결과
층별침하계는 정규압밀점토와 과압밀점토의 압밀침하 특성을 파악하기 위해 성토높이별로 2개 지점(G.L-4m, G.L-11m)을 선정하여 계측기를 설치하였으며 그 결과는 Table 4와 같다. 대상지역 지층은 건조수축(Desiccation)에 의해 지표면으로부터 1.2m까지는 과압밀 특성을 보이며, 그 하부로부터 6.0m까지 연약점토가 분포하고, 그 아래에는 17.5m까지 굳은점토가 분포하고 있다. 성토높이별 침하량은 성토고가 높은 9.0m와 6.0m 지점에서는 침하량의 변화 경향이 나타나지만 성토고가 낮은 1.5m와 3.0m 지점에서는 침하량이 적어 뚜렷한 변화가 확인되지 않았다. 시간경과에 따른 침하량의 변화는 성토기간 중에 침하량이 증가하지만 방치기간에는 침하량의 변화가 미소한 것으로 나타났다. 또한 각 층의 침하량의 합은 지표침하판에 의해 측정된 침하량보다 작게 나타나는 것으로 확인되었다.
Table 4.
Survey result of floor settlement gauge
3.3.3 간극수압계 계측결과
성토높이별 점토지반의 간극수압 변화를 파악하기 위해 점토지반 상부(G.L-2.0m), 중앙(G.L-7.0m), 하부(G.L-15.0m) 또는 상부(G.L-2.0m), 하부(G.L-15.0m)에 간극수압계를 구분하여 매설하였으며, 성토높이별 각 지점에서 간극수압을 측정하였다. 포화된 연약지반에 하중이 작용하는 경우에 간극수압 손실이 없다면 이론적으로는 성토 하중만큼 과잉간극수압이 발생하여야 하며, 성토하중에 의해 발생된 과잉간극수압은 시간이 경과함에 따라 점진적으로 소산되어 침하가 완료되면 “0”에 수렴하여야 한다. 그러나 현장에서 계측한 간극수압은 이론적 간극수압 대비 27.9~45.1%의 과잉간극수압 발현율을 보이며 성토기간 중 대부분의 과잉간극수압이 소산된 것으로 나타나 계측기의 망실이나 정상적으로 거동이 이루어지지 않고 있다고 판단하여 계측자료로 사용하기에는 어려울 것으로 판단된다.
4. 설계예측 침하량 및 침하시간 분석
4.1 침하량 및 침하시간 검토 결과
설계과정에서 예측된 침하량 및 침하시간의 적정성을 확인하기 위해 현장에서 측정된 계측결과의 침하량 및 침하시간과의 비교 분석을 실시하였으며, 그 결과 실제 현장에서 발생된 침하량에 비해 설계과정에서 예측된 침하량은 성토고 1.5~9.0m구간에서 1.02~2.80배 정도 크게 발생하는 것으로 나타났다. 이로 인해 설계과정에서 결정된 목표침하량에 도달하는 시간이 장기화될 수 있는 오류를 범하고 있는 실정이었다. 시험성토 구간의 계측 침하량 및 침하시간과 설계과정에서 산정된 침하량 및 침하시간의 변화를 비교한 계측결과에 따르면 성토과정(성토기간 20일) 중에는 성토하중 증가로 침하량이 급격히 증가하는 경향을 보이지만 성토완료 이후에는 시간증가에 따른 침하량의 변화가 성토과정보다 완만하게 수렴해가는 경향을 보인다. 또한 일정한 시간동안 발생하는 침하량의 변화 폭은 현장에서 발생하는 침하량보다 설계과정에서 예측한 침하량이 더 큰 것으로 나타났다.
4.2 1차원 압밀해석을 이용한 침하량 역해석
현장 시험시공 이후 실시된 88일간 지표침하판의 침하기록을 바탕으로 확인된 현장 침하량과 일치되도록 설계지반정수의 압밀특성을 조정하여 1차원 압밀해석을 실시한 결과, 성토고 3.0m~9.0m를 적용하는 경우에는 Table 5에 나타낸 바와 같이 압축지수를 0.36에서 0.24~0.25로 조정하여야 현장과 같은 침하량이 발생하는 것으로 검토되었으며, 성토고가 작은 1.5m의 경우에는 압축지수를 0.36에서 0.43으로 조정하여야 실제 현장과 같은 침하량이 발생하는 것으로 검토되었다. 이를 이용하여 1차원 압밀해석을 이용한 역해석의 침하량 및 침하시간 산정결과는 Table 6과 같다.
Table 5.
Inverse analysis design ground constant by one-dimensional consolidation analysis
Table 6.
Calculation result of settlement and settlement period of reverse analysis using one-dimensional consolidation analysis
4.3 수치해석을 이용한 침하량 역해석
발생된 시간-침하량 곡선과 일치하도록 수치해석에 의한 압밀해석을 실시하였다. 침하량 및 침하시간 보정은 88일간 실제 발생한 침하량을 설계 침하량으로 재현하기 위하여 기본설계에서 1개로 결정한 설계지반정수를 Table 7과 같이 성토높이에 따라 다르게 조정하였다. 수치해석을 이용한 역해석의 침하량 및 침하기간 산정결과는 Table 8과 같다. 1차원 압밀해석과 수치해석에 의한 역해석의 결과를 종합하면 송도그린시티 서측지구에서 기본설계에 적용한 연약지반 압축지수는 실제 현장의 압축지수보다 크게 결정되어 실측 침하량보다 설계 예측 침하량이 과다하게 산정된 것으로 판단된다.
Table 7.
Design ground constant of inverse analysis using numerical analysis
Table 8.
Calculation result of settlement and settle period of reverse analysis using numerical analysis
4.4 역해석에 의한 침하시간의 적정성 분석
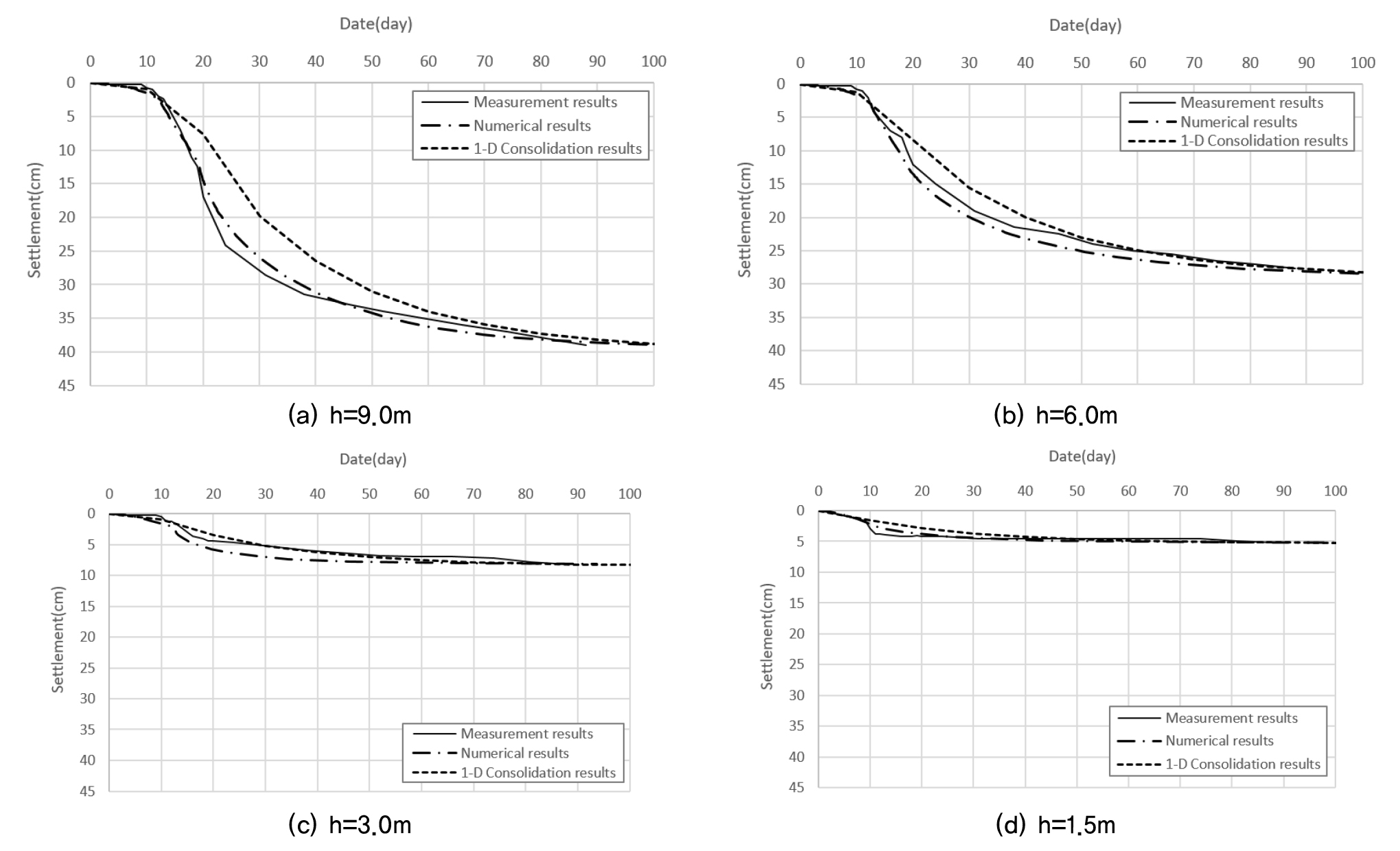
Fig. 6은 앞에서 분석된 역해석을 통해 1차원 압밀해석과 수치해석에 의한 침하량을 산정하고, 실제 현장에서 발생하는 침하량과 유사한 설계 침하량이 발생하도록 연약지반의 지반정수를 보정한 결과를 이용하여 침하-시간과의 관계를 성토높이별로 압밀해석을 한 결과를 나타낸 것이다. 그 결과 압밀 중간단계에서는 약간의 차이를 보이나 대부분 현장계측결과를 그대로 잘 모사하고 있는 것으로0 나타났다. 따라서 설계 예측 침하량 및 침하시간의 신뢰성을 높이기 위해서는 수치해석에 의한 압밀해석을 실시하거나 1차원 압밀해석시 대상지역의 압밀특성을 반영한 압밀도에 따른 시간계수를 적용하여야 할 것으로 분석되었다.
5. 침하시간 결정을 위한 압밀도 분석
5.1 침하량에 의한 압밀도 분석결과
Table 9는 송산그린시티 서측지구 시험시공 현장에 설치된 지표침하판의 시간-침하량 계측결과에 대하여 수치해석기법을 이용한 역해석을 실시하고, 성토고 9.0m, 6.0m, 3.0m, 1.5m에 따른 최종 침하량 및 압밀도와 침하시간을 나타낸 것이다.
Table 9.
Degree of consolidation and settlement time according to the amount of settlement by fill height
5.2 아이소크론 분석에 의한 압밀 중심축 및 배수형태 분석
아이소크론은 성토직후 압밀층 내에 발생하는 최대 과잉간극수압이 임의 시간동안 소산되고 남아 있는 과잉간극수압을 동일한 압밀도로 표현한 것이며, 배수층이 위치한 경계부로부터 멀어질수록 압밀소산에 소요되는 침하시간이 길어지므로 압밀 중심축에 의해 침하시간이 좌우된다. 수치해석을 통한 각 성토높이별 침하시간에 영향을 미치는 압밀 중심축과 배수형태를 분석한 결과 Table 10과 같이 성토 높이와 관계없이 모두 양면배수조건으로 분석되었다.
Table 10.
Review results of consolidation center axis and drainage type
5.3 간극수압에 의한 압밀도 분석결과
Table 11은 송산그린시티 서측지구 시험시공 현장에 설치된 지표침하판의 시간-침하량 계측결과에 대하여 수치해석기법을 이용한 역해석을 실시하고, 성토고 9.0m, 6.0m, 3.0m, 1.5m 성토에 따른 과잉간극수압의 변화를 확인하고 Table 11과 같이 간극수압에 따른 압밀도와 침하시간 결과를 나타낸 것이다.
Table 11.
Degree of consolidation and settlement time according to the pore water pressure by fill height
6. 현장 지반특성을 고려한 압밀도 및 시간계수 분석
6.1 침하량에 의한 평균 압밀도-시간계수 곡선
송산그린시티 서측지구 현장의 압밀특성을 고려한 대표적인 압밀도-시간계수 곡선을 결정하기 위해 성토고별 압밀도에 따른 각각의 시간계수를 산정하고, 압밀도에 따른 시간계수의 평균값을 산정하여 압밀도-시간계수 곡선을 결정하였으며, Fig. 7과 같이 송산그린시티 서측지구 현장의 경우 압밀특성을 고려한 침하량에 의한 평균 압밀도-시간계수 곡선을 각 성토고 및 평균곡선으로 제시하였다. 또한 Table 12는 평균 압밀도-시간계수 곡선을 이용한 각 압밀도의 시간계수를 수치로 나타낸 것이다.
Table 12.
Average Degree of Consolidation-Time Factor by Settlement
| Division | Degree of Consolidation (%) | ||||||||
| 10 | 20 | 30 | 40 | 50 | 60 | 70 | 80 | 90 | |
| Time Factor | 0.075 | 0.094 | 0.109 | 0.117 | 0.133 | 0.154 | 0.186 | 0.235 | 0.323 |
6.2 현장 지반특성을 고려한 압밀도-시간계수의 적정성 평가
Terzaghi가 제안한 압밀도-시간계수와 현장 압밀특성을 고려한 침하량 및 간극수압에 따른 압밀도-시간계수에 대한 시간-침하량 곡선 비교를 통해 적정성을 검증한 결과, Terzaghi가 제안한 압밀도-시간계수는 송산그린시티 현장의 압밀특성과 무관하게 동일한 압밀도-시간계수를 사용하기 때문에 성토기간에는 현장에서 실제 발생된 침하경향과 달리 침하가 빠르게 발생하고, 성토완료 이후에는 침하속도가 현저하게 느려지는 것으로 나타났다. 그리고 간극수압에 의한 압밀도-시간3계수는 성토완료 직후에 발생된 최대 과잉간극수압을 이용하여 점진적으로 소산되는 과잉간극수압의 크기에 따라 압밀도를 산정하므로, 성토기간 중 소산된 과잉간극수압이 고려되지 못하기 때문에 설계시의 침하속도가 송산그린시티 현장의 자료에서 확인한 바와 같이 실제 침하경향보다 침하속도가 느려지는 것으로 나타났다.
반면 침하량에 의한 압밀도-시간계수는 송산그린시티에서 발생한 침하경향과 유사한 침하속도를 보이는 것으로 나타났으며, 성토 높이별로도 실제 계측결과와 유사한 경향을 보였다. 따라서 침하량에 의한 압밀도-시간계수가 Terzaghi나 간극수압에 의한 압밀도-시간계수보다 실제 현장에서 발생할 수 있는 침하량을 예측하는데 적정한 것으로 검토되었으며, 향후 송산그린시티 서측지구와 같은 현장의 경우 1차원 압밀해석을 통해 침하량 및 침하시간을 예측할 경우에는 본 연구에서 제안한 침하량에 의한 압밀도-시간계수를 적용하는 것이 현장에서 연약지반 종료시기를 결정하는데 적정할 것으로 판단된다.
7. 결 론
본 연구는 실제 연약지반 현장에서 발생된 침하량 및 침하기간을 이용하여 신뢰성 있는 다양한 예측 방법을 제시하여 설계 및 시공에 활용하고자 하였으며 연구를 통해 얻은 결과는 다음과 같다.
1. 송산그린시티 현장에서 발생된 침하시간보다 설계시 예측한 침하시간이 느리게 평가된 이유 중 하나는 설계시 침하시간 계산에 지반특성에 관계없이 일률적으로 사용되고 있는 Terzaghi의 압밀도-시간계수가 본 현장에 부적합하기 때문으로 판단된다.
2. 송산그린시티 현장의 합리적인 압밀도-시간계수의 결정을 위해 현장에서 계측된 침하량을 통해 역해석으로 지반 물성치를 산정하고 이를 통해 침하량에 의한 압밀도-시간계수와 간극수압에 의한 압밀도-시간계수를 결정하였으며 1차원 압밀해석과 달리 수치해석에 의한 침하시간은 현장의 압밀특성이 반영되어 실제 현장에서 발생되고 있는 침하시간과 유사한 침하시간 경향을 보이는 것으로 나타났다.
3. 설계 예측 침하량 및 침하시간의 신뢰성을 높이기 위해서는 1차원 압밀해석보다는 수치해석을 사용하여야 하며, 송산그린시티 현장의 경우 현장의 지반특성을 고려한 압밀도-시간계수 곡선을 제안하였다.
본 연구는 실제 현장(송산그린시티)에서 측정된 시간-침하량 계측결과를 기초자료로 연구되었으나 1개 지역에서 실시된 4가지 성토조건에 의해 측정된 결과이므로 보다 신뢰도를 높이기 위해서는 보다 많은 계측자료의 분석을 통해 송산그린시티 지역의 압밀도-시간계수에 대한 정의가 필요하며 향후 지속적인 연구를 통해 본 연구의 성과를 보완할 필요가 있다.









