1. 서론
1.1 연구배경 및 목적
1.2 연구동향
2. GCP 공법의 기본설계개념
2.1 등가원주(Unit Cell)개념
2.2 응력분담비
3. GCP 복합지반 분석을 위한 수치해석 및 설계정수
3.1 수치해석 조건
3.2 수치해석에 사용된 설계정수
4. GCP 복합지반의 응력거동
4.1 하중 재하단계별 응력분담비 분석결과
4.2 하중 재하단계에 따른 치환율별 침하량 분석결과
4.3 하중 재하단계에 따른 치환율별 GCP의 수평변위량 분석결과
5. 결론
1. 서론
1.1 연구배경 및 목적
GCP(Gravel Compaction Pile, 이하 GCP)공법은 연약지반에 모래 또는 쇄석 등 조립토 재료를 사용하여 연약지반을 10∼40% 정도 치환하고 일정하게 압입하는 과정을 통해 말뚝을 조성하여 연약지반을 개량하는 공법이다. 또한 쇄석다짐말뚝으로 개량된 복합지반은 쇄석말뚝과 지반의 서로 다른 강성으로 인해 지반 상부의 하중이 상대적으로 강성이 높은 다짐말뚝으로 집중된다. 이로 인해 다짐말뚝공법은 연직집중응력에 대한 말뚝의 마찰 저항력과 점토지반의 점착력이 활동면에서 전단응력에 저항하게 된다.
그러나 GCP공법은 시공과정 중 교란으로 인해 점토지반에서 강도를 쉽게 상실하여 시공의 불확실성과 내부 파괴의 문제점을 가지고 있으며, 시공사례가 증가함에 따라 간극막힘(Clogging) 현상, 선단부 팽창파괴(Bulging Failure) 등의 피해사례가 급격히 증가하고 있다. 현재 국내 GCP공법은 정량적인 설계법이 제시되어 있지 않아 경험적인 방법에 의해 설계 및 시공되고 있어 팽창파괴, 전단파괴 등 다양한 형태의 파괴가 빈번히 발생하고 있으나 명확한 원인 규명과 파괴 예방 대책 수립이 어려운 실정이다. 또한 국내와 시공 장비, 재료 특성 등이 다름에도 불구하고 해외의 지반에 적용하는 공법을 그대로 국내에 적용하고 있어 지지력, 침하량 등이 실측값과 큰 차이를 나타내고 있다.
기존에 Na et al.(2017)에 의해 연구되었던 2D-축대칭을 이용한 GCP 복합지반의 거동특성 분석은 복합지반의 일부 평면을 축대칭 함으로써 전체 복합지반의 특성으로 일반화하여 분석한 결과이므로 지중응력을 고려하기에 한계가 있다. 또한, GCP로 개량된 복합지반은 GCP 중심으로 수평방향 및 수직방향으로 3차원적 배수가 발생한다. 따라서 이와 같은 3차원적 배수와 지중응력의 변화를 고려하기 적합한 3차원으로 모델링하여 GCP 거동특성 분석의 정확성을 높이고자 하였다. 이를 위해 ABAQUS를 이용하여 복합지반의 침하량과 침하감소율, 응력분담비, GCP의 최대 수평변위량 및 발생 예상위치를 분석하고자 하였다.
1.2 연구동향
조립토 다짐말뚝공법은 1830년대에 이미 무기고의 기초를 건설하는데 임의의 심도에서 지반의 다짐이 가능한 실용적인 장비와 기법이 개발되어 사용되었다. 이 GCP는 Vibro flotation 기술이 개발되기 전인 1930년대까지는 거의 사용되지 않았으며(Hughes and Withers, 1974), 1960년대 이후 GCP에 대한 연구가 본격적으로 시작되었다.
국내에서는 1980년대에 일본에서 개발된 GCP공법을 국내에 최초로 설계 및 시공하였고, 1990년대 이후 시험시공 및 연구결과들이 발표되었다. 그러나 일본 실정에 맞는 설계기준 및 시공법을 그대로 적용하여 국내에서의 시공 시 경험적인 방법에 의존하므로 파괴원인 및 예측이 어려울 뿐만 아니라 정확한 GCP의 거동에 대한 예측이 어려워 잘못된 설계로 인해 2차 손실을 초래한다.
1.2.1 침하량에 관한 연구
설계와 시공단계에서 침하량을 예측하는 것은 시공성, 안정성, 경제성을 확보하는데 가장 큰 영향을 미친다고 할 수 있으며, 복합지반의 침하량에 관한 거동특성분석의 정확성을 높이는 것이 중요하다고 할 수 있다. 침하량에 관한 선행연구를 정리하면 다음과 같다.
Hughes et al.(1975)는 방사선기법을 이용하여 다짐말뚝공법의 주요파괴형태는 팽창파괴의 형태라고 제안하였고, 지지력 산정방법에 대해 제시하였다. Hughes and Withers (1974)은 현장재하시험을 통하여 GCP가 조성된 지반을 증분하여 응력-변형률의 관계를 분석하여 지층별 침하를 분석하고 그 값의 총합으로 침하량 산정법을 제안하여 기존 이론지지력 식을 증명하였다. 또한 Chun et al.(2000)은 실내모형시험을 통하여 GCP공법을 적용한 지반의 최종 침하량은 SCP(Sand Compaction Pile, 이하 SCP)공법을 적용한 지반보다 침하량이 약 20% 크게 발생하는 것을 확인하였다.
Shin et al.(2005)은 단위셀(Unit-Cell) 시험과 대형 토조시험을 통하여 차이를 분석하였다. GCP로 개량된 복합지반의 침하특성을 분석하여 지반 압축특성으로 응력분담비(Stress Concentration Ratio)를 제안하는 식을 제시하였으며, 기존의 침하량 예측기법에 대해 적용성을 검토하고 변형률과 압축지수 개념을 이용한 새로운 침하량 예측기법을 제안하였다.
Bae et al.(2007)은 침하특성을 분석하기 위하여 현장재하시험과 수치해석을 실시하였으며, 이후 비교를 위하여 현장원형시험도 실시하였다. 분석결과, 강성기초보다 연성기초가 경계면조건에 더 크게 영향을 받았으며, 자유변형률로 인하여 침하는 다짐말뚝에서는 감소하고 점토지반은 증가함을 보였다.
Zahmatkesh and Choobbasti(2010)은 유한요소해석인 Plaxis Software를 이용하여 스톤컬럼(Stone Column)으로 개량된 연약지반의 침하해석을 수행하여 침하저감비(Settlement Reduction Ratio, SRR)를 산출하고 기존의 이론들과 비교하였다. 침하저감비는 재하성토 조건에서의 계산을 통해 산정된 침하량과 동일한 재하조건에서 수치해석으로 산정된 침하량의 비로 산정된다. 분석결과, 치환율이 증가할수록 마찰재의 사용으로 인하여 침하가 상당히 감소되며, 본 연구에서 얻은 SRR의 값은 실제 SRR의 값과 유사하게 나타나는 것을 확인하였다.
Moon et al.(2012)은 단일말뚝을 저치환율로 개량된 지반에 대하여 1g 모형시험을 실시한 결과, 압밀압력이 증가할수록 침하량은 증가 하였으나, 침하량 증가폭은 점차 감소하는 경향을 보였다. 증가폭은 SCP로 개량된 복합지반보다 GCP로 개량된 복합지반에서 현저하게 감소한 것으로 확인하였다. 즉, 동일한 조건으로 시험한 결과, GCP로 개량된 복합지반에서 침하저감 효과가 큰 것으로 확인하였다.
Mohamed and Basuony(2016)은 PLAXIS를 사용하여 GCP로 개량된 복합지반에서 말뚝 간 거리, 말뚝 직경, 말뚝 길이 등의 변화에 따라 말뚝의 지지력, 침하저감효과, 말뚝의 휨 모멘트에 미치는 요인들에 대한 영향을 분석하였다. 분석 결과, 치환율, 말뚝 길이의 증가와 말뚝 간격 비율의 감소에 따라 지지력과 침하저감 효과는 크게 나타났으며 말뚝 길이 비가 0.75의 말뚝을 이용하는 것이 지지력과 침하저감효과 개선과 경제성 측면에서 효과적이라 판단하였다.
현재 기존의 이론적 침하해석을 국내 지반요건에 적용하기 위해 다양한 연구가 진행되고 있다. 침하량은 치환율, 말뚝의 직경, 말뚝의 거리, 지반강도 등의 요인에 의해 각각 침하 저감 효과의 차이가 나타나고 있으며, 이러한 침하해석은 GCP공법의 설계 및 시공에 가장 큰 영향을 미치는 요소이다.
1.2.2 응력분담비에 관한 연구
응력분담비는 GCP 설계 및 시공에서 가장 중요한 부분이다. GCP가 받는 응력과 지반이 받는 응력의 비로 표현되는 응력분담비는 선행연구 중 가장 많이 수행되어지고 있다.
Goughnour and Bayuk(1979)는 조립토 단일말뚝을 등가원주(Unit-Cell) 개념을 적용하여 수치해석을 수행하였다. 수치해석 결과를 토대로 조립토 다짐말뚝과 주변 점토지반의 강성차이에 따른 응력분담비를 제안하였으며, 이 응력분담비는 현재 설계와 시공과정에 적용되고 있다. 또한, Hong et al.(2003)은 모형실험과 유한요소해석을 통하여 치환율에 따른 다짐말뚝의 수직응력을 비교・분석한 결과, 점토지반의 응력이 SCP로 전이되는 현상이 발생하였으며, 이로 인해 응력분담비는 깊이가 깊어질수록 증가함을 보였다.
Lee(2004)는 직경 0.7m의 GCP를 현장에 시공하여 저치환율에 대한 현장재하시험을 수행하여 단일말뚝의 응력분담비가 삼각형 배치의 응력분담비보다 1.6∼2.1배, 사각형 배치의 응력분담비 보다 1.4∼1.8배 정도 크게 나타나는 것을 확인하였다.
Lee et al.(2005)은 PENTAGON 3D 프로그램을 이용하여 치환율 20∼70%에 대하여 재하하중 별로 GCP으로 개량된 복합지반을 모델링하여 수치해석을 수행하여 재하하중이 클수록, 치환율이 낮을수록 GCP의 횡방향 변위는 증가함을 확인하였으며, 하중단계 별 응력분담비는 3.6∼3.85의 값으로 산정하였다.
Bae et al.(2007)은 GCP가 조성된 연약점토지반에서의 침하거동특성과 하중분담비에 관한 이론을 정립하고자 GCP과 지반의 치환율, 형상계수 및 상재하중 등을 고려한 GCP의 설계정수 산정을 위하여 현장재하시험과 수치해석을 수행하고 해석결과를 비교・검증하기 위하여 현장원형시험을 진행하였다.
Kim et al.(2013)은 저치환율 SCP과 GCP의 거동특성을 비교하고자 치환율 10~30%에 따라 단일말뚝으로 1g 모형시험을 수행하였다. 실험결과, SCP로 개량된 복합지반의 경우 응력분담비의 범위가 1.4∼3.8로 나타나고, GCP로 개량된 복합지반의 경우 응력분담비의 범위가 1.2∼3.3의 범위가 나타남을 확인하였다.
이처럼 많은 연구자들이 GCP공법을 다양하게 연구하였으나 현장재하시험, 실내모형실험, 수치해석 등을 통해 제시된 응력분담비는 연구자마다 상이한 결과가 나타나고, 이러한 연구결과는 실제 설계에 반영되지 못하고 있는 실정이다.
1.2.3 유한요소해석에 관한 연구
선행연구를 수행한 결과, 다양한 설계요소에 대하여 가장 많이 수행되고 있는 연구방법이며, 현재 국내에서 주로 수행되고 있다. 또한 많은 양의 데이터를 체계적으로 정리하여 분석할 수 있는 연구방법이다. 수치해석에 관한 선행연구는 다음과 같다.
Balaam and Poulos(1978)은 유한요소해석을 이용하여 GCP의 침하량을 산정하였고, 등가원주 개념을 적용한 탄소성 해석과 GCP-CLAY의 인터페이스에 마찰과 부착을 고려한 유한요소해석 결과, 현장에서 측정된 값과 유사하게 나타나는 것을 확인하였다.
Hong et al.(2003)은 실내실험과 유한요소해석을 실시하여 각각의 치환율에 따른 이론을 적용하여 SCP의 수직응력을 비교하였다. 그 결과, 점토의 응력이 모래말뚝으로 전이되는 현상이 발생하여 응력분담은 하부로 갈수록 증가하는 것을 확인하였다.
Hwang et al.(2005)은 2.4×2.4×1.8m로 굴착하고 GCP를 군말뚝 형태로 설치하여 현장재하시험을 실시하였고, 현장모습과 유사하게 3차원으로 모델링하여 수치해석을 수행하였다. 수치해석 결과, 사용한 모델 중 Modified Cam-Clay 모델은 침하량 및 거동특성이 매우 유사한 결과를 보였으며, Mohr-Coulomb 모델은 지반의 거동 특성을 과소평가 할 수 있다고 판단하였다.
Lee et al.(2005)은 PENTAGON 3D를 이용한 유한요소해석 기법을 이용하여 치환율에 따른 지반의 응력분담비 및 복합지반의 거동을 분석하였다. 그 결과, 응력분담비는 치환율이 증가할수록 높아지고 지반과 말뚝의 상대침하량의 차이는 감소한다고 하였으며, 치환율 70%이상의 경우 말뚝과 지반의 침하량 차이는 거의 없다고 하였다.
Yoo et al.(2007)은 ABAQUS를 이용하여 점토지반은 Modified Cam-Clay모델을 적용하고 지오그리드는 멤브레인 요소로 모델링하여 유한요소해석을 수행하였다. 분석결과, 단위셀 모델링에서 과잉간극수압이 미소하게 발생하는 것은 단위셀의 좌・우 측면에 배수경계조건을 적용하기 때문에 GCP를 통하여 즉시 배수되었기 때문이라고 하였다. 또한 시공단계별 모델링을 통해 연약지반의 배수특성 모델링이 가능하고 Modified Cam-Clay모델을 사용하였을 경우 복합지반의 압밀침하특성을 잘 반영할 수 있다고 하였다.
Na et al.(2016; 2017), Na(2017)는 ABAQUS를 GCP의 쇄석과 모래의 배합비에 따라 응력분담비를 분석하여 배합비 70:30(쇄석:모래)를 최적배합비로 산정하였고 GCP로 개량된 복합지반의 관통률에 따른 응력분담비를 2차원 축대칭으로 분석하였으며 응력분담비는 관통률보다 치환율에 더 큰 영향을 받는 것을 확인하였다. 또한 치환율과 지반강도에 따른 응력에 대한 분석결과, 상부에서의 응력관련계수는 응력감소계수와 응력증가계수가 유사하게 감소하는 경향이 나타났지만, 두 값의 감소폭이 상이하여 오히려 응력분담비는 감소하는 결과가 나타나 응력분담비 산정 시 주의가 필요하다고 하였다.
GCP로 개량된 연약지반은 GCP와 점토지반의 응력거동 변화에 따라 응력분담현상이 나타나고 침하량 및 수평방향 변위의 변화가 나타난다. 또한 기존의 2차원-축대칭을 이용한 GCP공법의 유한요소해석은 복합지반의 일부 평면을 축대칭 함으로써 전체적인 특성으로 일반화하여 분석한 결과이므로 지반의 지중응력을 고려한 세밀한 분석을 수행하기에 한계가 있다.
2. GCP 공법의 기본설계개념
2.1 등가원주(Unit Cell)개념
GCP공법은 지반의 지지력 증가, 침하량 감소, 압밀촉진, 지반의 액상화 방지 등의 연약지반 보강 목적으로 사용하며 등가원주개념은 GCP 복합지반을 평가하는 설계기법과 침하거동특성을 분석하기 위해 개발되었다. 또한 정삼각형 또는 정삼각형 배열로 설치된 GCP에서 영향을 미치는 주변지반의 범위는 규칙적인 육각형 형태 또는 등가원으로 표현이 가능하다.
등가원주개념의 기본 가정 사항을 정리하면 다음과 같다.
① 원지반과 쇄석기둥은 같이 침하한다.
② 원주 측면의 수평변위는 구속되어 있다.
③ 변위는 연직방향으로만 발생한다.
④ 원주의 저면은 강성지반에 정착되어 있다.
GCP 등가원의 유효직경은 다음 식 (1), 식 (2)과 같다.
삼각형 배열 : De = 1.05s (1)
사각형 배열 : De = 1.13s (2)
여기서, s : GCP의 간격이며, 치환율(Area Replacement Ratio, as)은 식 (3)과 같이 GCP 복합지반에서 전체면적에 대한 GCP 면적의 비로 나타낼 수 있다.
(3)
여기서, As : GCP의 면적
Ac : 주변 점토지반의 면적
2.2 응력분담비
GCP공법으로 개량한 복합지반은 GCP와 주변 점토지반으로 구성된 복합지반(Composite Soil)을 형성한다. 복합지반에 하중 재하 시 GCP와 점토지반은 강성과 변형특성에 의해 말뚝과 지반은 서로 다른 응력을 분담하게 되며, 점토의 압밀과 같이 시간을 가진 하중전이는 주변지반 침하감소에서 GCP와 연약지반의 강성차이에 의한 추가적인 부마찰력으로 인하여 원지반에서 GCP에 응력이 집중된다. 이처럼 GCP와 점토지반에 작용하는 응력의 비를 응력분담비(Stress concentration Ratio, m)라고 하며, 식 (4)과 같이 나타낼 수 있다.
GCP의 강성이 주변 흙에 비해 상대적으로 크기 때문에 작용된 하중의 큰 부분이 쇄석으로 전이되며, 점토의 압밀처럼 시간을 가진 하중전이는 주변지반 침하감소에서 추가적인 부마찰력 결과로 인하여 자연 상태의 흙으로부터 GCP로 전이된다(Ministry of Oceans and Fisheries, 2001).
복합지반은 Fig. 1과 같이 복합지반 위에 평균응력 σ가 재하될 때 지반반력으로 말뚝에 σs, 점성토에 σc의 응력이 발생하게 된다.
등가원주 개념을 적용하여 등가원주 내부의 수직응력 분포는 응력분담비로 다음 식 (4)와 같다.
(4)
여기서, σs : GCP에 전달되는 응력
σs : 점토지반에 전달되는 응력
3. GCP 복합지반 분석을 위한 수치해석 및 설계정수
3.1 수치해석 조건
선행연구에서 2D-축대칭을 이용한 GCP 복합지반의 거동특성 분석은 복합지반의 일부 평면을 축대칭 함으로써 전체 복합지반의 특성으로 일반화하여 분석한 결과이므로 지중응력을 고려하기에 한계가 있다. GCP로 개량된 복합지반은 GCP 중심으로 수평방향 및 수직방향으로 3차원적 배수가 발생되며, 이와 같은 3차원적 배수와 지중응력의 변화를 고려하기 적합한 3차원으로 모델링하여 GCP 거동특성 분석의 정확성을 높이고자 하였다.
따라서 본 연구에서는 ABAQUS를 이용하여 해석단면 Fig. 2와 같이 단일 GCP로 개량된 복합지반을 3D 모델링으로 분석하였다. Fig. 2(a)에서 보이는 바와 같이 단일말뚝에 대한 거동분석을 위해 등가원주 형태로 모델링하였다. 또한, 점토지반과 GCP는 깊이 10m, Sand mat 길이는 0.5m, GCP의 직경을 0.7m로 모델링하였으며, 점토지반의 크기를 다르게 하여 치환율(10∼40%)에 맞게 변화시켜 모델링하였다. 현장 시공 여건상 말뚝의 직경을 변화시키기는 어려워 GCP의 직경을 고정하고 지반의 크기를 조절하여 치환율을 변화시켰고, 치환율 50% 이상의 고치환율의 적용은 현장 여건 상 어려움이 많아 40%까지만 적용하였다.
GCP을 개량한 복합지반을 Fig. 2(c)와 같이 3차원 유한요소망을 사용하였으며, 복합지반의 측면은 수평방향(X, Y)변위를 구속, 하단면은 선단지지층까지 GCP가 관입되었음을 가정하고 수평방향(X, Y), 연직방향(Z) 변위를 구속하였다. 또한 재하하중에 의한 과잉간극수압은 점토층 상부에서의 간극수압이 ‘0’으로 소산되도록 하였으며, 해석의 편의상 쇄석다짐말뚝은 점토지반에 매입된 상태로 가정하였다.
현장 시공과정 모델링을 위해 재하하중 기간은 1일로 지정하고 압밀기간을 100일로 지정하여 과잉간극수압이 완전히 소산될 수 있도록 하였다. 요소는 응력-간극수압 연계요소 CAX4P(4-node biquadratic displacement, bilinear pore pressure element), 4절점을 사용하였으며, 요소의 크기는 0.21×0.21m로 하여 모델을 분석하였다.
Fig. 3(a)는 유한요소해석 분석 시 응력분담비 및 침하량의 측정 위치를 나타낸 것이며, Fig. 3(b)는 GCP의 수평변위량의 측정 위치를 나타낸 것이다. 팽창범위를 더욱 명확하게 확인하기 위해 측정위치를 세분화하여 약 2배 이상 증가시켰고, 측정위치(z/H)는 깊이/전체길이로 표현하였다.
3.2 수치해석에 사용된 설계정수
비선형 유한요소해석에서는 적합한 구성모델과 매개변수의 결정이 가장 중요한 요소이다. 본 연구에서는 점토지반의 거동을 잘 표현할 수 있는 Cam-clay 탄・소성 모델을 적용하고, GCP는 Mohr-coulomb, 상부기초는 탄성모델로 적용하였다.
Table 1, 2와 같이 설계정수는 실제 현장에 사용되었던 데이터로 점토지반 1은 부산 신항만 지역의 SCP 복합지반 설계 시 적용된 값을 사용하였으며(Busan New Port Corp, 1999), 점토지반 2는 해상에 호안을 설치하고 준설매립하여 조성된 지반에서 매립 후 1~2년의 시간이 경과된 후 지반개량이 실시되었던 지반을 사용하였다(Han et al. 2013). 점토지반 3은 광양항 컨테이너 부두 조성공사 부지로써 실제 연약지반 개량이 실시되었던 점토지반의 값을 사용하였으며(Seong, 2003), 점토지반 4는 연약 해성 점성토층인 전남 율촌산업단지의 인근 해성점토에 대한 일반적인 값을 사용하였다(Kim, 2003). 또한 GCP의 물성치는 쇄석에 의한 거동 분석을 위해 GCP현장에서 가장 많이 적용되는 입경에 해당하는 약 25∼40mm직경의 쇄석을을 사용하여 대형직접전단시험을 통하여 구한 물성치를 사용하였다(Na et al., 2016). GCP의 점착력은 실내실험결과 0으로 나타났으나 본 연구에서 사용된 ABAQUS 프로그램에서 점착력을 0으로 입력하게 되면 해석오류가 발생하기 때문에 0에 가까운 값, 0.1로 고정하여 해석을 수행하였다(Table 1 참조).
점토지반의 지반강도를 일축압축강도를 통한 점토분류(Korean Geotechnical Society, 1997)로부터 근거하여 25kPa, 50kPa, 75kPa로 변화시켜 적용하였다.
Table 1. Design parameter of GCP and sand mat for finite element analysis
Table 2. Design parameter of clay for finite element analysis
4. GCP 복합지반의 응력거동
4.1 하중 재하단계별 응력분담비 분석결과
일반적으로 상재하중 증가에 따른 응력분담비의 분포는 동일양상으로 나타난다고 단정 짓기는 힘들며 실내, 현장시험 및 수치해석 조건에 따라 증가 또는 감소하는 양상이 다르게 나타날 수 있다(Ko, 2000).
GCP공법으로 복합지반을 조성하는 경우 실제 시공을 설계할 때는 성토단계를 설정하게 된다. 이 때 성토하중의 단계에 따라 복합지반의 총 침하량에 미치는 영향을 분석하기 위해 성토 1단계를 50kPa로 설정하고 총 5단계까지 재하하여 치환율과 지반강도에 응력분담비를 분석하였다. 나승주(2017)는 성토단계가 진행될수록 복합지반 내에서의 응력분담비는 전반적으로 증가하는 경향을 나타내고 산정 위치에 따라 증가폭과 감소하는 폭이 다르다 하였다. 본 연구에서도 다소 차이는 있지만 이러한 연구결과가 유사한 거동을 나타내었다.
Fig. 4는 하중 재하단계별 지반강도 별 응력분담비를 분석한 그림이다. 상부하중의 단계별로 증가할수록 복합지반에서의 응력분담비가 평균적으로 증가하는 경향으로 나타났다. 이는 점토지반에 비해 상대적으로 강성이 큰 GCP의 연직유효응력이 상재하중에 의해 증가하는 폭이 점토지반보다 더 높아 응력분담비가 증가한 것으로 판단된다. 또한 Fig. 6에서 보이는 바와 같이 점토강도 75kPa 이상인 지반인 경우, 상재하중의 단계가 증가할수록 복합지반 상부에서의 응력분담비가 감소하는 경향이 나타났다. 이는 단단할수록 점토지반의 유효응력이 증가하여 말뚝의 유효응력으로부터 저항력이 증가되므로 말뚝 내 상부에서의 응력이 하부로 전이되는 응력이 증가하기 때문인 것으로 판단된다. 또한 Fig. 4∼Fig. 6에서 나타난 바와 같이 치환율에 따라 감소하는 응력분담비의 폭보다 지반강도에 의해 감소하는 응력분담비의 폭이 더 큰 것을 확인할 수 있으며, 치환율이 복합지반의 응력분담비에 미치는 영향보다 단계별 상재하중의 영향이 더 큰 것을 확인할 수 있다.
4.2 하중 재하단계에 따른 치환율별 침하량 분석결과
하중 재하단계에 따른 치환율과 지반강도 별 침하량을 분석한 결과, Fig. 7과 같이 성토단계가 진행될수록 침하량이 증가하였고, 치환율과 지반강도가 증가할수록 침하량이 큰 것으로 나타났고, 지반강도가 증가함에 따라 최종침하량이 감소하는 것으로 나타났다.
Fig. 8에서 보이는 바와 같이 점토지반 1에서 침하 감소율이 가장 크게 나타나는 연약한 지반인 25kPa인 경우, 치환율 10%에서 치환율 40%로 증가함에 따라 평균 최종침하량이 218.33mm에서 42.64mm로 약 80.46% 감소하였고, 지반강도 50kPa에서는 치환율 10%에서 치환율 40%로 증가함에 따라 평균 최종침하량이 139.36mm에서 37.67mm로 약 73% 감소하였으며 단단한 지반인 75kPa에서는 약 64%가 감소하였다.
이는 치환율이 커지면 GCP가 적용된 복합지반에서 원지반보다 상대적으로 강성이 큰 GCP가 차지하는 비율이 커지고, 지반강도가 단단해질수록 압밀에 대한 저항성이 증가하여 침하량은 감소하는 것으로 판단된다. Hwang (2004)은 치환율의 감소에 따라 침하량이 증가하는 결과를 보였으며, 그 변화의 폭도 상대적으로 크게 나타나 원지반의 강도가 감소할수록 치환율 변화에 따른 침하량 변화 또한 큰 것을 확인하였다. 본 연구에서도 다소 차이는 있으나 유사한 거동을 나타내었다.
Fig. 7은 GCP로 개량된 점토지반 1의 하중 재하단계에 따른 침하량을 분석한 것이다.
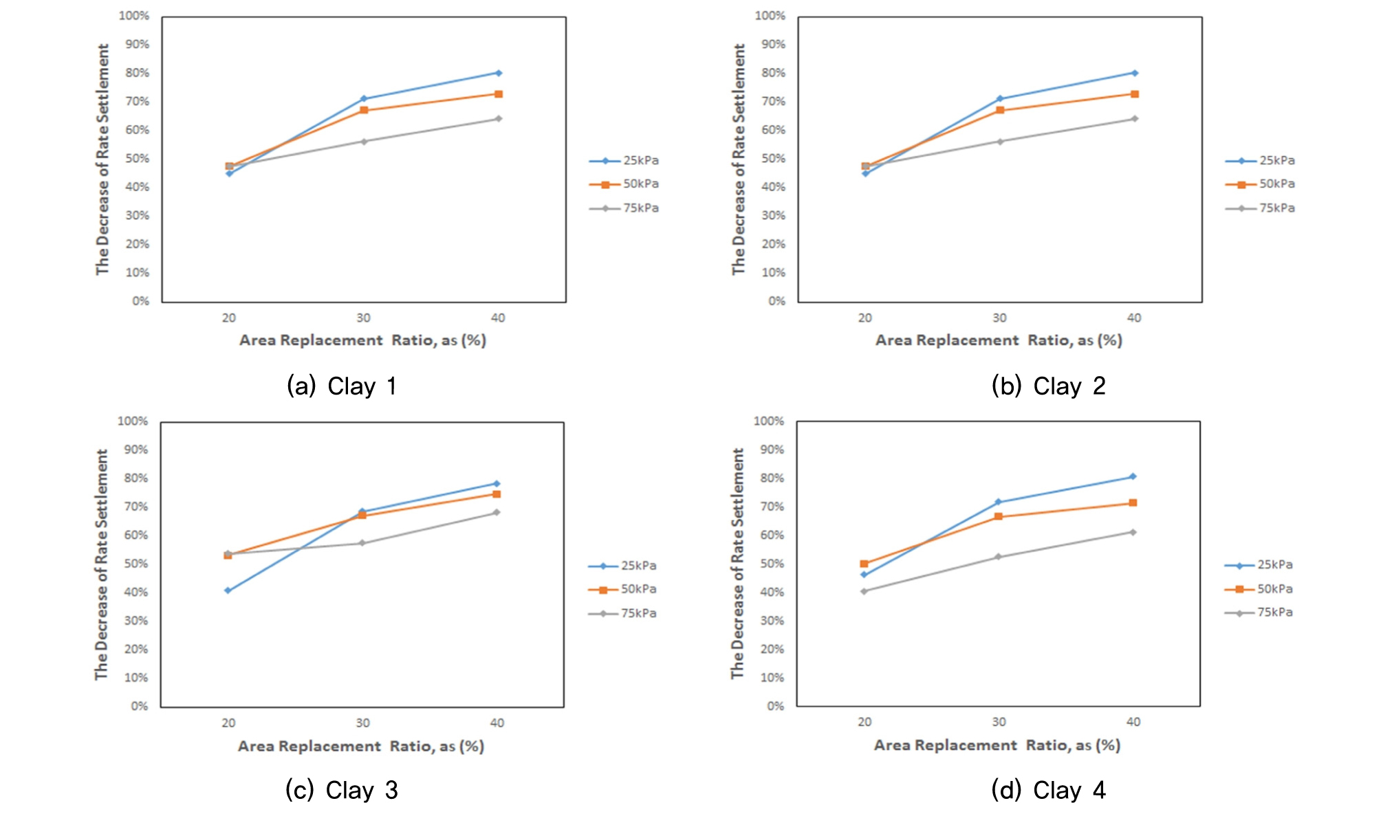
Fig. 8은 GCP가 적용된 점토지반 1, 2, 3, 4의 치환율에 따른 지반강도 별 침하감소율(Rate of Settlement Decrease)을 분석한 그림이다. 침하감소율은 가장 침하량이 높게 발생한 치환율 10%의 연약한 지반인 지반강도 25kPa를 기준으로 치환율과 지반강도에 따른 성토단계별 침하량 감소 비율을 나타낸다. 또한, 점토지반의 조건에 따라 복합적인 특성이 침하거동 특성이 발생할 수 있으나 치환율과 지반강도에 대한 분석을 위해 각 점토지반의 침하감소율에 대한 그래프를 작성하였다. 대체적으로 치환율 10% 대비, 치환율이 증가할수록 침하감소율은 증가하였으며, 치환율이 30%일 때 침하감소율의 기울기가 가장 높게 나타났다.
침하감소율이 가장 높은 치환율 40%에서는 연약지반에서 최대 평균 81% 감소율을 나타내고 치환율 20%에서는 최대 평균 44%의 감소율을 나타내었다. GCP공법 설계 시 침하량은 중요한 설계요소이기 때문에 향후 추가적인 점토지반에 대한 연구를 수행하고, 실내시험 및 현장시험의 검증을 통해 침하량 예측에 대한 정량적인 설계법 도입이 가능할 것으로 판단된다.
Table 3은 치환율 10∼40%에서 지반강도에 따른 침하량과 침하감소율을 나타낸 것이다. 가장 침하량이 높게 발생한 치환율 10%의 연약한 지반인 지반강도 25kPa를 기준으로 치환율과 지반강도에 따른 성토단계별 침하량과 침하감소율을 나타내었다.
Table 3. Settlement Reduction Ratio with Area Replacement Ratio and Shear Strength
4.3 하중 재하단계에 따른 치환율별 GCP의 수평변위량 분석결과
Barksdale and Bachus(1983)은 다짐말뚝 길이가 다짐말뚝 직경의 2∼3배 이상의 길이를 가진 GCP에서는 팽창파괴가 발생한다하였고, 점토지반인 경우 지반의 전단응력이 최소가 되는 지점에서 팽창파괴가 발생한다고 하였다. 따라서 GCP가 적용된 복합지반의 측방이동과 다짐말뚝의 팽창파괴의 양상을 파악할 수 있는 GCP의 최대 수평변위량을 말뚝의 깊이(z/H)별로 파악하고자 하였다.
하중 재하단계에 따른 치환율과 지반강도 별 GCP의 수평변위량을 분석한 결과, 재하단계가 진행될수록 수평변위량은 증가하였고, 치환율과 지반강도가 증가할수록 수평변위량은 확연하게 감소하였다.
Fig. 9, Fig. 10은 치환율 10%와 치환율 40%의 비교・분석을 위해 지반강도 별 측정위치에 따른 GCP의 수평변위량을 각 성토단계가 끝난 시점에서 나타낸 것이다. GCP의 최대수평변위량은 Fig. 9에서 보이는 바와 같이 전반적으로 GCP의 직경(D) 0.7m의 2.6배(2.6D)인 깊이 약 1.8m (z/H=0.18)에서 발생하였다. 이는 Barksdale and Bachus (1983)이 균질한 지반에서 단일 GCP의 파괴거동이 일어날 때는 2D∼3D 사이에서 발생한다는 연구 결과와 유사한 경향을 확인하였다.
연약한 지반인 지반강도 25kPa의 경우, 깊이 2.6D에서 뿐만 아니라 GCP 중간부 위치에서도 수평변위가 다소 발생하는 것으로 나타났다. 이는 상부하중이 진행됨에 따라 GCP 내 응력이 하부 지반으로 전이되는 과정에서 변위가 발생하는 것으로 판단되며, 단단한 지반 또는 치환율이 높은 40% 이상에서의 지반에서는 GCP의 팽창이 다소 미미한 것으로 파악하였다.
치환율 별 측정위치에 따라 GCP의 수평변위량을 분석한 결과, 치환율이 증가함에 따라 수평변위량이 확연히 감소하였고, 성토단계가 증가할수록 수평변위량은 증가하였다. 치환율이 증가하여 GCP의 면적 비율이 증가할수록 성토에 따른 지반에서의 유효면적이 감소하였고, 이에 따라 점토지반의 유효응력이 증가하게 되어 GCP의 측방유동을 억제하는 것으로 판단된다.
5. 결론
본 연구에서는 GCP공법의 거동에 대한 유한요소해석에 대한 정확성을 높이고자 3차원 모델링을 사용하였으며, 하중 재하단계 별 지반강도 및 치환율 변화에 따라 GCP 복합지반의 거동을 분석한 결과는 다음과 같다.
(1) 하중 단계 별 응력분담비 분석결과, 하중단계가 증가할수록 GCP 복합지반의 응력분담비는 증가하는 경향이 나타났으나 지반강도 75kPa인 단단한 지반의 상부에서는 오히려 감소하는 경향이 나타났다. 이는 단단한 지반일수록 원지반의 유효응력이 증가하여 말뚝의 유효응력으로부터 저항력이 증가하며 이에 따라 GCP 내에서 상부에서 하부로 전이되는 응력이 증가하는 것으로 판단된다.
(2) 침하량 분석 결과, 지반강도는 치환율에 비해 상대적으로 침하량에 미치는 영향이 더 작은 것으로 확인되었으며, 치환율이 증가함에 따라 연약한 지반에서 최대 약 81%가 감소하였고, 단단한 지반에서는 최대 약 65%가 감소하였다. 치환율을 40%로 설계한다면 과도한 압밀침하를 예방하여 설계할 수 있을 것으로 판단된다.
(3) 깊이 별 쇄석다짐말뚝의 수평변위량은 전반적으로 말뚝 직경의 2.6배(2.6D)인 깊이 1.8m에서 최대 수평변위량이 발생하였다. 또한 치환율 40%에서는 치환율 10%에 비해 상대적으로 확연하게 감소하는 경향이 나타났고, 지반강도 25kPa인 연약한 지반에서 최대 88%의 감소율이 나타났다.
본 연구에서는 단일말뚝의 경우, 하나의 복합지반에 대해 분석한 결과로 추후 다양한 점토지반과 실제 현장에서의 거동특성에 대한 비교 및 세밀한 분석을 통해 국내 GCP공법 연약지반 개량에 적용해야 할 것으로 사료된다.












