1. 서 론
2. 사면안정 해석이론
2.1 뿌리 보강모형
2.2 무한사면 안정해석 이론
3. 해석 결과 및 분석
3.1 지역 특징
3.1.1 토질 특성
3.1.2 대표수종 및 수관밀도
3.1.3 수관밀도를 고려한 뿌리점착력
3.2 결과 및 분석
3.2.1 경사도 및 안전율 해석결과 분석
3.2.2 수관밀도를 고려한 뿌리점착력의 안전율 증가 효과
4. 결 론
1. 서 론
우리나라와 같이 산지의 토심이 얕고, 강우로 인한 산사태가 주로 표층에서 발생하는 지역(Ma & Jeong., 2007; Park et al., 2010)에서는 수목의 뿌리가 사면안정에 큰 영향을 미친다(Roering et al., 2003). 수목의 뿌리는 상부토사를 지지함과 동시에 양분과 수분을 흡수하는 기능을 하고 있으며 역학적으로 토양의 침식이나 사면 붕괴를 방지하는 역할을 하고 있는 것으로 알려져 있다(Abe & Ziemer, 1991; Gray & Sotir, 1996). 수목의 뿌리에 의한 사면 보강효과는 토질의 전단저항력에 뿌리의 인장저항력이 결합되어 사면의 전단저항이 커지는 것을 말하며, 뿌리에 의해 증가된 전단저항력은 일반적으로 토질이 가지고 있는 점착력과 구분하여 뿌리 점착력이라고 한다(Waldron and Dakessian,1981; Abe and Ziemer, 1991; Abernethy and Rutherfurd,2001; Simon and Collison, 2002; Tosi, 2007; De Baets et al., 2008; Bischetti et al., 2009).
기존 연구에 의하면 뿌리에 의한 사면보강 효과는 식생의 종류에 따라 다른 것으로 알려져 있으며, 이는 종에 따라 뿌리의 공간적 분포와 뿌리가 가지고 있는 고유의 저항력의 다르기 때문인 것으로 알려져 있다(Cha & Ji, 2003). 현재까지 인장 강도 등 비교적 측정이 용이한 역학적 변수를 이용하여 뿌리 보강 효과를 간접적으로 추정하는 연구가 국내·외에서 많이 진행되어 왔으며 본 연구에서는 사면 안전율의 계산을 좀 더 지역특성에 맞게 계산하기 위하여 연구대상 지역의 수관밀도를 고려한 뿌리 점착력을 계산하여 안전율 산정에 적용하였으며, 사면 안전율의 변화를 분석했다.
2. 사면안정 해석이론
2.1 뿌리 보강모형
뿌리 보강효과를 정량적으로 평가하기는 현실적으로 쉬운 일이 아니다. 그 이유는 같은 수종임에도 불구하고 기후, 토양 등의 환경에 따라 그 분포가 달라지고, 공학적 물성치가 다르기 때문이다(Pollen & Simon, 2005; Schwarz et al., 2010). 이에 따라 뿌리의 공학적 특성을 측정이 용이한 역학변수를 이용하여 뿌리보강 효과를 간접적으로 추정하는 연구가 활발히 진행되어 왔으며, 본 연구에서는 가장 많이 알려진 Wu(1976)의 이론을 사용하였다. Wu(1976)의 뿌리보강 이론은 수목의 뿌리가 토양의 전단면에 대하여 수직으로 위치하는 것으로 가정하여 뿌리보강 효과를 추정하며, 지반이 외부의 힘에 의해 전단파괴 될 때, 지층 내부에 존재하는 뿌리에 의해 발생하는 인장력으로 인해 점착력이 증가되는 것으로 나타냈다. Wu(1976)의 뿌리보강 이론에 의한 점착력의 증가식은 아래 식 (1)과 같다.
(1)
여기서,
: 뿌리 점착력
: 뿌리의 평균 인장강도 (
)
: 뿌리 단면적 비율
: 전단면속에 포함되어 있는 뿌리의 전체면적
: 전단면의 면적
: 흙의 내부마찰각
: 전단 비틀림각 (=
)
: 뿌리 변형거리
: 전단영역
위의 식 (1)의 점착력 증가는 뿌리의 인장력과 면적비 그리고 흙의 내부마찰각에 의존하는 것으로 나타난다.
Gray & Leiser(1982)의 실험값에 의하면 전단비틀림각(
)은 40∼70°에서 대부분 발생하였고, 흙의 내부마찰각(
)이 25∼40°와 전단비틀림각(
)이 40∼90°일 때
의 값이 1.0에서 1.3사이에 분포하며 전단비틀림각(
)과 내부마찰각(
)의 변화에 대해서는 비교적 둔감하게 나타나는 것으로 분석됐다. Wu(1979)는
를 평균값 1.2로 제안하여 간단히 하였으나 Lee et al(1991)은 휨에 의한 파괴된 경우도 고려했을 때 목질화 된 굵은 뿌리에서 인장력만으로 계산된 값은 휨에 의한 파괴 저항력 값보다 상당히 과대평가 되고 있다고 밝혔다. 따라서 자연사면에서는 흙의 전단파괴시 뿌리의 인장응력은 전체 인장강도의 40∼50%정도인 0.6으로 적용할 것을 제안하였다.
2.2 무한사면 안정해석 이론
무한사면 안정해석은 식 (2)과 같이 표현된다. 안전율(
)은 비탈면의 전단응력에 대한 전단강도 비로 나타낸다.
(2)
기존식 (2)에 뿌리보강효과를 반영하여 수정된 식은 다음과 같다.
(3)
여기서,
: 흙의 내부마찰각
: 지하수의 단위중량
: 흙의 단위중량
: 흙의 점착력
: 흙의 점착력(
)+뿌리점착력(
)
사면 붕괴는 안전율
일 때 일어나게 되며 안정성은
일 때 유지된다.
3. 해석 결과 및 분석
사면안정성 분석을 위해 Iverson(2000)에 의해 제시된 방법을 사용하여 미국지질연구소(USGS)에서 개발된 TRIGRS(A Fortran Program for Rainfall Infiltration and Grid--Based Regional Slope-Stability Analysis)을 사용하였다.
TRIGRS는 균질하고 등방성인 매체에 대한 침투 모델을 사용하며, 강우의 시작부터 시간이 경과함에 따라 안전율의 변화를 분석할 수 있으며(Kim, et al., 2014; Baum et al., 2002), 강우에 의한 표층 사면파괴 발생가능성을 사면의 안전율로 계산한다. 또한 토양 내 압력수두 및 지하수 변화를 적용할 수 있다.
3.1 지역 특징
본 연구는 세종특별자치시 반곡동 괴화산 일대를 대상으로 한다. 이 지역의 연평균 기온은 약 13.0℃이고, 1981년부터 측정된 연강수량의 30년 평년값은 1,458mm이다. 괴화산은 주봉이 해발 약 201.2m 정도로 완만한 산세를 형성하고 있다.
3.1.1 토질 특성
본 연구대상 지역의 토질 특성을 적용하기 위하여 GIS를 이용한 기초 지형 분석(표고 및 경사도) 결과를 이용하여, 경사가 급한 10개소 지점에 대한 현장시료 채취 및 토질시험을 수행하였으며 토질시험결과는 Table 1과 같다.
3.1.2 대표수종 및 수관밀도
Fig. 2(a)는 산림청의 산림입지도(1:25,000)를 참고하여 나타낸 괴화산의 식생분포이다. 수관밀도는 대표수목 2종에 대하여 약 100m×100m 지역으로 나누어 Fig. 2(b)의 위치에서 조사하였으며, 산림청 국립산림과학원의 제6차 국가산림자원조사 및 산림의 건강·활력도 조사 현지조사 지침서(Kim, et al., 2011))에 따른 Fig. 1의 기준을 바탕으로 수관밀도를 현장 및 위성사진을 활용하여 조사한 결과 Fig. 2(c)와 같이 분포하고 있으며, 괴화산 일대의 대표수종 2종에 대한 수관밀도는 전체적으로 0∼70%의 범위로 분포하고 있는 것으로 조사되었다. 본 연구에서는 수관밀도를 10%, 30%, 50%, 70%의 대표영역으로 나누어 적용하였으며 Fig. 3은 괴화산 일대에서 조사된 대표 수관밀도를 나타낸 그림이다.
3.1.3 수관밀도를 고려한 뿌리점착력
연구대상지역의 대표 수종은 잣나무와 일본잎갈나무이다(Korea Forest Service, 2016). 뿌리의 공간분포를 고려한 Kim et al(2011)의 연구에 따르면 일본잎갈나무의 뿌리 점착력은 1.49kPa∼8.41kPa, 잣나무의 뿌리 점착력은 7.53kPa∼28.03kPa로 분석되었다. 본 연구에서는 연구대상지역의 수목종류를 반영하기 위하여 Kim et al(2011)의 연구를 통해 분석된 뿌리 점착력 값에 Wu et al(1979)에 의해 제안된 식의 상수 1.2를 Lee et al(1991)등이 제안한 상수 0.6을 연구대상지역에서 조사된 수관밀도 고려하여 아래와 같은 식 (4)와 같이 뿌리 점착력 계산에 적용하였다. Table 2는 식 (4)를 적용하여 계산된 뿌리점착력 값이다.
×수관밀도 (4)
3.2 결과 및 분석
3.2.1 경사도 및 안전율 해석결과 분석
Fig. 4는 GIS를 이용한 괴화산의 표고 분석 결과와 경사 분석 결과이다. 해발 201.2m의 완만한 산세를 가진 것으로 나타나며, 대부분 낮은 경사로 이루어져 있으나 괴화산 남쪽에는 급경사지가 다수 존재하고 있는 것으로 해석됐다.
연구대상지역을 정밀하게 분석하기 위하여 5×5셀로 나누어 총 54,971개의 Point에서 안전율을 해석했으며, 뿌리점착력의 효과를 분석하기 위하여 같은 위치에서 같은 수의 Point로 해석을 수행하였다.
강우강도는 부산 APEC 기후센터(APCC)자료를 참고하였으며 연구대상지역과 가장 인접한 기상청(대전)자료를 활용하여 확률강우량(강우강도)를 산정하고 면적환산계수를 적용하여 세종시 괴화산의 위치에 맞는 확률강우량(강우강도) 값을 산정하였다. 강우시나리오 모델은 huff 4분위 모델을 적용하였으며, 재현기간 100년 빈도에, 지속시간 24시간 강우시나리오 모델을 해석에 적용하였다.
해석결과는 Fig. 5(a)와 같으며, 수관밀도를 고려한 뿌리점착력이 사면의 안전율에 미치는 영향을 분석하기 위하여 안전율 1미만을 위험지역(Dangerous areas)으로, 안전율 1이상 2미만을 위험관리 지역(Risk management areas)으로, 안전율 2이상을 안전 지역(Safe areas)으로 나누어 Table 3에 정리 하였다.
연구대상지역의 해석결과 뿌리점착력을 적용하지 않은 곳과 적용한 곳 모두 안전율이 1≤SF<2의 범위에 밀집되어 있으며, SF<1의 범위에 속하는 위치는 2.4%내에 존재하는 것으로 나타났다.
연구대상지역에 뿌리점착력을 적용하지 않은 안전율을 분석해보면 안전율 2이상이 45.4%, 1이상 2미만의 안전율이 52.2%, 1미만의 안전율이 2.4%로 나타났다.
뿌리점착력을 적용한 안전율을 분석한 결과 안전율 2이상이 47.0%, 1이상 2미만의 안전율이 51.3%, 1미만의 안전율이 1.7%로 분포되어 있는 것으로 나타났다.
Fig. 5(b)는 뿌리점착력으로 인한 안전율의 변화량을 경사별로 정리한 그래프이다. 연구대상지역에 뿌리점착력을 적용하여 안전율을 경사별로 분석한 결과 전체적으로 안전율이 증가하는 경향이 나타났다. 하지만 경사가 완만한 곳일수록 뿌리점착력으로 인한 안전율의 증가량이 큰 것으로 분석되며, 위험 지역(1<SF) 구간에서는 0.05%∼11.1%의 증가를, 위험관리 지역(1≤SF<2)에서는 0%∼19.2%증가를, 안전 지역(2≤SF)에서는 0%∼72.9%의 증가를 보였다.
뿌리점착력의 적용 유무에 따른 전체적인 안전율 분포를 보면 괴화산 일대 대부분이 안전율 1이상(뿌리점착력 미적용시 97.6%, 뿌리점착력 적용시 98.3%)으로 나타나지만 일부는 안전율 1미만(뿌리점착력 미적용시 2.4%, 뿌리점착력 적용시 1.7%)인 곳이 존재하는 것으로 분석되었으며, 앞선 표고 경사해석 결과와 유사한 결과를 얻을 수 있었다.
3.2.2 수관밀도를 고려한 뿌리점착력의 안전율 증가 효과 분석
연구대상지역의 안전율 증가량을 분석한 결과는 Fig. 6과 같다. 안전율 2이상인 지점의 90%가 0%∼12.5%의 안전율 증가를 보이고 있으며, 50%에 해당하는 평균 증가량은 2.0%로 분석된다. 안전율이 1이상 2미만인 지점의 90%는 0%∼11%의 안전율 증가를 보이고 있으며 50%에 해당하는 평균 증가량은 2.3%로 분석된다. 안전율 1미만인 지점의 90%는 0%∼7%의 안전율 증가를 보이고 있으며, 50%에 해당하는 평균증가량은 4%로 분석됐다.
수관밀도를 고려한 뿌리점착력을 적용한 절대적인 안전율의 증가량은 안전율이 2이상인 지역(본 연구지역에서는 0°∼17°의 사면경사를 이루고 있는 지역)에서는 크게 증가하는 것으로 분석되었지만 평균적인 안전율의 증가량은 안전율이 1미만인 지역(본 연구지역에서는 33.3°∼49.6°의 사면경사를 이루고 있는 지역)에서 크게 증가하는 것으로 분석된다.
Fig. 7은 연구대상지역중 위험지로 분석되는 곳 중 계곡부로 토사가 유입되어 하류부에 인명 및 재산 피해가 클 것으로 예상되는 여섯 지역이며, 이 여섯 곳에 대하여 상세분석을 하였다.
1) Site 1
Site 1지역 해석결과는 Fig. 8과 같다. Site 1지역의 안전율은 뿌리점착력의 적용시가 미적용시 보다 증가된 것으로 해석된다. 하지만 같은 비율로 증가하지 않는 것으로 나타났다.
Site 1지역의 안전율 변화량 분포 분석결과는 Fig. 9과 같다. 위험지역(Fig. 9(a) Dangerous areas)인 SF<1구간에서 뿌리점착력으로 인한 안전율은 3.0%∼5.9%증가하는 경향을 보이고 있으며 평균 4.2% 증가율을 보이는 것으로 분석됐다. 위험관리지역(Fig. 9(b) Risk management areas)인 1≤SF<2 구간에서 뿌리점착력으로 인한 안전율은 2.4%∼10.7%증가하는 경향을 보이고 있으며 평균 5.2% 증가율을 보이는 것으로 분석됐다. 안전지역(Fig. 9(c) Safe areas)인 2≤SF 구간에서 뿌리점착력으로 인한 안전율은 0.0%∼38.7%증가하는 경향을 보이고 있으며 평균 8.9% 증가율을 보이는 것으로 분석됐다.2) Site 2
Site 2지역 해석결과는 Fig. 10과 같다. Site 2지역의 안전율은 뿌리점착력의 적용시가 미적용시 보다 증가된 것으로 해석됐다. 하지만 같은 비율로 증가하지 않는 것으로 나타났다.
Site 2지역의 안전율 변화량 분포 분석결과는 Fig. 11과 같다. 위험지역(Fig. 11(a) Dangerous areas)인 SF<1구간에서 뿌리점착력으로 인한 안전율은 1.4%∼6.2%증가하는 경향을 보이고 있으며 평균 3.4% 증가율을 보이는 것으로 분석됐다. 위험관리지역(Fig. 11(b) Risk management areas)인 1≤SF<2 구간에서 뿌리점착력으로 인한 안전율은 1.3%∼12.8%증가하는 경향을 보이고 있으며 평균 3.5% 증가율을 보이는 것으로 분석됐다. 안전지역(Fig. 11(c) Safe areas)인 2≤SF 구간에서 뿌리점착력으로 인한 안전율은 0.0%∼26.9%증가하는 경향을 보이고 있으며 평균 4.0% 증가율을 보이는 것으로 분석됐다.
3) Site 3
Site 3지역 해석결과는 Fig. 12와 같다. Site 3지역의 안전율은 뿌리점착력의 적용시가 미적용시 보다 증가된 것으로 해석됐다. 하지만 같은 비율로 증가하지 않는 것으로 나타났다.
Site 3지역의 안전율 변화량 분포 분석결과는 Fig. 13과 같다. 위험지역(Fig. 13(a) Dangerous areas)인 SF<1구간에서 뿌리점착력으로 인한 안전율은 0.9%∼8.4%증가하는 경향을 보이고 있으며 평균 5.4% 증가율을 보이는 것으로 분석됐다. 위험관리지역(Fig. 13(b) Risk management areas)인 1≤SF<2 구간에서 뿌리점착력으로 인한 안전율은 0.6%∼10.3%증가하는 경향을 보이고 있으며 평균 4.5% 증가율을 보이는 것으로 분석됐다. 안전지역(Fig. 13(c) Safe areas)인 2≤SF 구간에서 뿌리점착력으로 인한 안전율은 0.0%∼10.8%증가하는 경향을 보이고 있으며 평균 5.6% 증가율을 보이는 것으로 분석됐다.
4) Site 4
Site 4지역 해석결과는 Fig. 14와 같다. Site 4지역의 안전율은 뿌리점착력의 적용시가 미적용시 보다 증가된 것으로 해석됐다. 하지만 같은 비율로 증가하지 않는 것으로 나타났다.
Site 4지역의 안전율 변화량 분포 분석결과는 Fig. 15와 같다. 위험지역(Fig. 15(a) Dangerous areas)인 SF<1구간에서 뿌리점착력으로 인한 안전율은 0.7%∼3.6%증가하는 경향을 보이고 있으며 평균 1.9% 증가율을 보이는 것으로 분석됐다. 위험관리지역(Fig. 15(b) Risk management areas)인 1≤SF<2 구간에서 뿌리점착력으로 인한 안전율은 0.4%∼5.2%증가하는 경향을 보이고 있으며 평균 3.2% 증가율을 보이는 것으로 분석됐다. 안전지역(Fig. 15(c) Safe areas)인 2≤SF 구간에서 뿌리점착력으로 인한 안전율은 0.0%∼5.6%증가하는 경향을 보이고 있으며 평균 3.4% 증가율을 보이는 것으로 분석됐다.
5) Site 5
Site 5지역 해석결과는 Fig. 16과 같다. Site 5지역의 안전율은 뿌리점착력의 적용시가 미적용시 보다 증가된 것으로 해석됐다. 하지만 같은 비율로 증가하지 않는 것으로 나타났다.
Site 5지역의 안전율 변화량 분포 분석결과는 Fig. 17과 같다. 위험지역(Fig. 17(a) Dangerous areas)인 SF<1구간에서 뿌리점착력으로 인한 안전율은 1.5%∼8.1%증가하는 경향을 보이고 있으며 평균 5.3% 증가율을 보이는 것으로 분석됐다. 위험관리지역(Fig. 17(b) Risk management areas)인 1≤SF<2구간에서 뿌리점착력으로 인한 안전율은 0.9%∼13.8%증가하는 경향을 보이고 있으며 평균 5.6% 증가율을 보이는 것으로 분석됐다. 안전지역(Fig. 17(c) Safe areas)인 2≤SF 구간에서 뿌리점착력으로 인한 안전율은 2.4%∼46.5%증가하는 경향을 보이고 있으며 평균 15.1% 증가율을 보이는 것으로 분석됐다.
6) Site 6
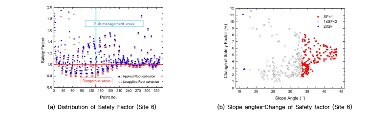
Site 6지역 해석결과는 Fig. 18과 같다. Site 6지역의 안전율은 뿌리점착력의 적용시가 미적용시 보다 증가된 것으로 해석됐다. 하지만 같은 비율로 증가하지 않는 것으로 나타났다.
Site 6지역의 안전율 변화량 분포 분석결과는 Fig. 19와 같다. 위험지역(Fig. 19(a) Dangerous areas)인 SF<1구간에서 뿌리점착력으로 인한 안전율은 1.7%∼8.1%증가하는 경향을 보이고 있으며 평균 4.4% 증가율을 보이는 것으로 분석됐다. 위험관리지역(Fig. 19(b) Risk management areas)인 1≤SF<2 구간에서 뿌리점착력으로 인한 안전율은 1.0%∼12.3%증가하는 경향을 보이고 있으며 평균 3.1% 증가율을 보이는 것으로 분석됐다. 안전지역(Fig. 19(c) Safe areas)인 2≤SF 구간에서 뿌리점착력으로 인한 안전율은 2.8%∼30.1%증가하는 경향을 보이고 있으며 평균 15.0% 증가율을 보이는 것으로 분석됐다.
전체적으로 뿌리점착력 적용시 안전율이 증가하는 것으로 분석됐다. 위험지역(Dangerous areas)인 SF<1구간에서 평균 안전율의 증가량은 1.9%∼5.4%이며, 위험관리지역(Risk management areas)인 1≤SF<2 구간에서 평균 안전율의 증가량은 3.1%∼5.6%이다. 또한 안전지역(Safe areas)인 2≤SF 구간에서 평균 증가량은 3.4%∼15.1%로 분석됐다. 본 연구결과 안전율의 증가량은 위치별로 다른 것으로 분석되었는데 이는 기존 해석되는 방법에 위치별 지역 특징인 수관밀도와 뿌리점착력을 고려한 해석 때문인 것으로 판단된다. 하지만 전체적인 해석결과를 분석해보면 상대적으로 경사가 완만한 지역일수록 뿌리점착력에 의한 안전율의 증가효과가 큰 경향을 보이는 것으로 나타났다.
사면안정에 영향을 주는 다양한 요소를 고려하여 연구한다면 보다 합리적인 안전율을 계산할 수 있을 것으로 판단된다.
4. 결 론
본 연구는 수관밀도를 고려한 수목의 뿌리점착력이 무한사면의 안전율에 미치는 영향에 대해 분석하였으며, 다음과 같은 결론을 얻었다.
(1)본 연구지역의 안전율 분석결과 뿌리점착력을 적용하지 않은 안전율은 안전율 2이상이 45.4%, 안전율 1이상 2미만은 52.2%, 안전율 1미만은 2.4%로 나타났다. 반면 수관밀도를 고려하여 뿌리점착력을 적용한 안전율은 안전율 2이상이 47.0%, 안전율 1이상 2미만의 안전율은 51.3%, 안전율 1미만의 안전율은 1.7%로 분포되어 있는 것으로 나타났다.
(2)연구대상지역의 안전율 증가량의 분포를 분석결과, 뿌리점착력 적용시 경사가 낮을수록(본 연구지역에서는 0°∼17°의 완만한 사면경사를 이루고 있는 지역) 안전율의 증가량은 상대적으로 크게 산정되는 결과를 보인다.
(3)위험지역 여섯 곳을 선정하여 분석한 결과 뿌리점착력 적용시 여섯 곳 모두 안전율이 증가하는 것으로 분석되었으나, 같은 비율로 증가하지는 않는 것으로 나타났다. 이는 기존 해석되는 방법에 위치별 특징인 수관밀도와 뿌리점착력을 고려한 영향 때문인 것으로 판단되며 본 위험지역 여섯 곳의 뿌리점착력의 영향은 평균적으로 1.9%∼15.1%의 안전율 증가로 나타난다.
(4)추후 사면안전율에 영향을 주는 다양한 요소를 고려하여 연구한다면 지역 특성을 고려한 합리적인 사면안전율을 계산할 수 있을 것으로 판단된다.






)
)
















